Prevalence of incidental thyroid abnormalities in patients with degenerative cervical spondylosis: a retrospective cross-sectional magnetic resonance imaging study
Introduction
Degenerative cervical spondylosis (DCS) is a chronic, progressive deterioration of the osseocartilaginous components of the cervical spine (1). Surgical intervention may be indicated if there is significant neurologic dysfunction or progressive instability of the cervical spine. Cervical spine magnetic resonance imaging (MRI) is the preferred imaging technique for assessing patients for DCS because it provides information about osseous, intervertebral disc, and spinal cord structures (2).
Incidental thyroid abnormalities are defined as discrete, nonpalpable lesions radiologically distinct from the surrounding parenchyma that are found on anatomic imaging studies performed for reasons other than a planned assessment of thyroid disease (3-5). The thyroid gland is located near the lower cervical spine, and the detection of incidental thyroid abnormalities on MRI of the cervical spine has been reported (3,4). Incidental thyroid abnormalities are reported to be present on 20–67% of ultrasound (US) examinations and 16% of computed tomography (CT) scans and MRI scans of the neck (3-5). Yoon et al. (6) found at least a 9.4% prevalence of malignancy among incidental thyroid abnormalities detected on CT scans. Incidental thyroid abnormalities can be malignant; therefore, the American College of Radiology (ACR) recommends further evaluation with US for patients aged <35 years with nodules measuring ≥1 cm in the axial plane. If the patient is aged ≥35 years, the size for further evaluation is raised to 1.5 cm, and all enlarged thyroid glands should undergo further workup with dedicated US (3). However, to date, few studies have reported the prevalence of incidental thyroid abnormalities focused on MRI, and the prevalence in cervical spine MRI in the literature ranges widely, from 5.1% to 49.6% (7,8). In anterior cervical surgery, vigorous mobilization of the thyroid gland, especially the development of a goiter, may damage the recurrent laryngeal nerve (9). Previous studies also reported anterior cervical discectomy and fusion combined with thyroid gland surgery when a goiter is encountered during cervical surgery (9,10). However, the prevalence of thyroid abnormalities in patients with cervical spondylosis requiring surgery is unclear.
Therefore, the purpose of our study was to evaluate the prevalence of incidental thyroid abnormalities found on cervical spine MRI scans in patients indicated for surgery. Our purpose was also to identify how many patients needed additional workups based on the recommendations of the ACR criteria and to emphasize the clinical significance of incidental thyroid abnormalities. We present the following article in accordance with the STROBE reporting checklist (available at https://qims.amegroups.com/article/view/10.21037/qims-22-484/rc).
Methods
Participants
The study was conducted in accordance with the Declaration of Helsinki (as revised in 2013). The study was approved by the ethics board of the Affiliated Hospital of Xuzhou Medical University, and informed consent was obtained from all individual participants. The prevalence of thyroid nodules was reported to be as high as 36.9% in the normal population who underwent US from 30 provinces and regions in China (11). Since US is more sensitive to the thyroid than is MRI, we set the prevalence of incidental thyroid abnormalities found on cervical spine MRI scans at 25%. Using the proportion of 25% and with 95% confidence to control the permissible error to 10%, the calculated sample size we needed was 1,191. After taking the nonresponse rate of 10%, we determined the final sample size to be 1,310.
The retrospective cross-sectional study consisted of 1,370 patients with end-stage DCS admitted to the Affiliated Hospital of Xuzhou Medical University for cervical spine surgery from October 2014 to May 2019. All patients were diagnosed with at least 1 of the following DCSs: cervical disc herniation, ossification of the posterior longitudinal ligament (OPLL), or cervical spinal stenosis. All patients underwent X-ray and MRI scans of the cervical spine. Exclusion criteria included poor-quality MRI images, such as those with movement artifacts or incomplete images of the thyroid; a known history of thyroid disease; a history of thyroidectomy; and prior evaluation of the thyroid gland, such as a previous thyroid US study or thyroid biopsy. Finally, 1,313 participants were analyzed (Figure 1).
Imaging technique and assessment
All MRI scans were performed in a 1.5-Tesla (1.5-T) scanner (Magnetom Symphony 1.5 T, Siemens Healthineers, Erlangen, Germany). Images covering a vertical area ranging from the orbit to the T1 vertebra and a horizontal area ranging from the maxilla to the occiput were obtained. The MRI protocol consisted of the following sequences: T1-weighted turbo spin-echo imaging [repetition time (TR)/time to echo (TE) 620/9, matrix 320×224, field of view (FOV) 20 cm × 18 cm, parallel imaging factor 1.5, section thickness 4 mm with a 1-mm intersection gap, and acquisition time 36 sections for 2 minutes], T2-weighted turbo spin-echo imaging (TR/TE 4,102/90, matrix 320×224; section thickness 4 mm with a 1-mm intersection gap, and acquisition time 36 sections for 3 minutes), and diffusion-weighted single-shot turbo spin-echo echo-planar imaging (TR/TE 4,968/72, parallel imaging factor 1.8, b factors 0 and 1,000 s/mm2, FOV 40 cm ×28 cm, image matrix 160×128 reconstruction, section thickness 4 mm with a 1-mm intersection gap, and acquisition time 36 sections for 2 minutes).
The T1- and T2-weighted sagittal and axial cervical spine images were retrospectively evaluated by 2 board-certified radiologists specializing in the spine. All thyroid abnormalities in cervical MRI were retrospectively evaluated by 2 consultant head and neck radiologists, both of consultant and radiologists were blinded to the patients’ medical histories. Disagreement was resolved by consensus. Patient characteristics of age, sex, body mass index (BMI), and smoking history, and nodular characteristics, such as nodule size, nodule laterality, and morphologic features (diffuse, focal, or multifocal), were recorded. The laterality of the thyroid nodule was divided into the right lobe, isthmus, and left lobe. The study population was divided into 2 groups according to the combination of thyroid abnormalities.
For thyroid abnormalities in patients found on MRI scans, the diagnosis was clarified by reviewing the relevant US scans, pathologic results, blood chemistry, and other relevant workups. For patients without a relevant workup, 2 consultant head-and-neck radiologists diagnosed thyroid nodules or goiters based on MRI features.
Data analysis
Patients were divided into 2 groups according to whether they had thyroid abnormalities. Group A consisted of patients with DCS and without thyroid abnormalities, while group B consisted of patients with DCS and with thyroid abnormalities. For quantitative data, continuous variables with a normal distribution are expressed as the mean ± standard deviation (SD) and were compared using the Mann-Whitney test between the 2 groups. The chi-squared test was used to find associations between different sets of categorical data. All statistical tests were completed using SPSS 25.0 (IBM Corp, Armonk, NY, USA). A P value less than 0.05 was considered statistically significant.
Results
A total of 1,313 patients (666 males and 647 females) who met the inclusion criteria and had a mean age of 55.5 years (range, 28–93 years) were surveyed. There were no significant differences in BMI or smoking history between groups A and B (Table 1).
Table 1
| Patient characteristics | Group A (n=1,215) | Group B (n=98) | P value |
|---|---|---|---|
| Age, mean (SD), years | 55.4 (11.3) | 58.4 (11.5) | 0.018* |
| Women, n (%) | 571 (47.0) | 76 (77.6) | 0.007* |
| BMI, mean (SD), kg/m² | 24.4 (3.2) | 24.9 (3.6) | 0.619 |
| Smokers, n (%) | 13 (1.1) | 6 (0.6) | 0.199 |
*, P<0.05. BMI, body mass index; SD, standard deviation.
Of the 1,313 patients, 98 patients (7.5%) had incidental thyroid abnormalities on cervical spine MRI scans. Of the thyroid abnormalities, 76 patients (77.6%) were female and 22 patients (22.4%) were male, showing a female predominance in the incidence of thyroid abnormalities. Compared to group A, group B showed a significantly higher proportion of females (P=0.007). The most common thyroid abnormality was thyroid nodules (69/1,313, 5.3%), followed by goiters (18/1,313, 1.4%), Hashimoto thyroiditis (5/1,313, 0.4%), and thyroid cancer (6/1,313, 0.5%; Figure 2).
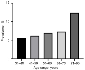
Regarding age, results showed that the prevalence of incidental thyroid abnormalities was the highest in patients in the 71- to 80-year age group (12.4%, 17/137), followed by those in the 61- to 70-year age group (7.3%, 24/328), those in the 51- to 60-year age group (7.1%, 34/479), those in the 41- to 50-year age group (6.2%, 16/259), and those in the 31- to 40-year age group (5.6%, 5/90). One case of incidental thyroid abnormalities was found in the 21- to 30-year age group. The prevalence of incidental thyroid abnormalities increased with age. The distribution of incidental thyroid abnormalities stratified by age is shown in Figure 3.
Single incidental thyroid abnormalities were detected in 73 patients (74.5%), and the remaining 25 patients (25.5%) had multiple thyroid nodules. The average size of the largest thyroid nodules was 9 mm (SD 4.2 mm; range, 3–32 mm). The longest diameter of the dominant nodule was ≤10 mm in 58 (59.2%) patients, and 40 (40.8%) patients had lesions larger than 10 mm. The internal structure of the dominant nodules is shown in Table 2. In addition, a review of the surgical records, specifically the description of the operation time and procedure, indicated that no apparent surgical difficulties due to thyroid disease were encountered.
Table 2
| Nodule characteristic | Value |
|---|---|
| Diameter, n (%) | |
| <5 mm | 24 (24.5) |
| 5–10 mm | 34 (34.7) |
| >10 mm | 40 (40.8) |
| Maximum diameter of the largest nodule, mean (SD), mm | 9.0 (4.2) |
| Multiple nodules, n (%) | 26 (26.5) |
| Nodule laterality, n (%) | |
| Unilateral abnormality | 73 (74.5) |
| Bilateral abnormality | 25 (25.5) |
| Lesion features, n (%) | |
| Diffuse | 19 (19.4) |
| Focal | 60 (61.2) |
| Multifocal | 19 (19.4) |
SD, standard deviation.
Among patients younger than 35 years old, 2 patients had incidental thyroid abnormalities larger than 10 mm. Of the patients older than 35 years old, 20 patients had thyroid nodules larger than 15 mm. In addition to the 18 patients with goiters. Forty patients older than 35 years were recommended to undergo further US examination based on the ACR criteria (Table 3). Of the 98 patients with thyroid abnormalities, US was performed in 27 patients. Among these 27 patients, 22 met the ACR criteria, and 5 did not meet the ACR criteria but still completed the US examination. In addition, 5 patients were diagnosed with Hashimoto thyroiditis by US and hematologic indices. The other 6 cases of thyroid cancers were diagnosed with postoperative pathology. None of the patients had suspicious features found in the thyroid region.
Table 3
| Thyroid abnormality | Age (years) | Size (mm) | Number (n=40) | US (n=22) | FNAC (n=2) | Surgery (n=6) | Final diagnosis [number] |
|---|---|---|---|---|---|---|---|
| Thyroid nodule | <35 | ≥1 mm | 2 | 1 | 0 | 1 | Thyroid cancer [1]; thyroid nodule [1] |
| ≥35 | ≥1.5 mm | 20 | 16 | 2 | 4 | Hashimoto’s thyroiditis [4]; thyroid cancer [4]; thyroid nodule [12] | |
| Goiter | – | – | 18 | 5 | 0 | 1 | Multinodular goiter [1]; goiter [17] |
ACR, American College of Radiology; US, ultrasound; FNAC, fine needle aspiration cytology.
Discussion
This study quantitatively assessed the prevalence of incidental thyroid abnormalities on cervical MRI in a DCS population indicated for surgical intervention. In our study, 98 patients (7.5%) were observed to have incidental thyroid abnormalities as shown by cervical spine MRI. Both adenomatous goiters and papillary thyroid cancer were also found in our study population. Most patients with these incidental thyroid abnormalities did not undergo further evaluation. According to the ACR guidelines, 59.2% of incidental thyroid abnormalities (n=58) have a small size and a low risk of malignancy. These findings underscore the need to pay special attention to incidental thyroid abnormalities on cervical MRI scans in patients with DCS.
The most frequently observed incidental extraspinal pathologies on cervical spinal MRI scans are thyroid nodules, which might be an anatomical risk factor for traction injury during anterior cervical surgery (3,12). Surgical intervention may be required for persistent or progressive symptoms of DCS. Nevertheless, Gulsen et al. (9) reported that it is extremely difficult to expose the prevertebral region when localized lesions or anatomical variants, such as enlarged thyroid tissue, are encountered. Forceful medial retraction of the enlarged thyroid to reach the anterior part of the vertebrae and intervertebral discs can lead to injuries to the anterior neck structures and recurrent laryngeal nerve injury. Patients who undergo repeated cervical operations, those with an enlarged thyroid, or those who have undergone thyroid surgery have a higher risk of recurrent laryngeal nerve injury (13,14).
MRI is widely used to assess patients for cervical diseases; therefore, the observed prevalence of incidental thyroid abnormalities has increased (15). In a survey of 30 provinces and regions in China, the prevalence of thyroid nodules was reported to be as high as 36.9% in the normal population who underwent US (11). Kim et al. (8) reported that the prevalence of incidental thyroid abnormalities on cervical spine MRI scans was 5.1% in their 389 participants. However, the population in their study included patients who underwent cervical spine MRI for any reason. In the present study, in our series of patients with DCS patients and with indications for surgery, incidental thyroid abnormalities were found in 7.5% of these patients. However, Özdemir et al. (7) reported a prevalence of 49.6% for incidental thyroid abnormalities by evaluating 512 cervical spinal MRI scans, which was much higher than the prevalence observed in our study. To understand these variations, we need to consider the large differences in several characteristics of the study population, such as age, sex, and inclusion criteria.
Despite its sensitivity in identifying malignant nodules, positron emission tomography CT (PET-CT) can only detect 8.4% of incidental thyroid nodules, compared to 10.4% of incidental thyroid nodules on MRI (11,16). Moreover, there are no features associated with incidental thyroid nodules on CT and routine MRI scans to reliably identify malignant lesions (11,16-18). Multiple studies have demonstrated that compared with clinically detected thyroid nodules, incidental thyroid abnormalities are associated with less aggressive features, reduced recurrence, and longer progression-free survival (19,20). However, there is still at least a 9.4% prevalence of malignant or potentially malignant lesions among incidental thyroid abnormalities detected on CT scans (6). Therefore, further evaluation is warranted to identify the nature of incidental thyroid lesions. The discovery of thyroid abnormalities is also a psychological and financial burden for patients. If thyroid abnormalities in patients can be detected early via completion of the relevant thyroid workup before patients undergo cervical spine surgery, a general surgeon experienced in thyroid surgery should be consulted to determine whether incidental thyroid abnormalities need surgery and to specify the relevant surgical plan if needed (e.g., anterior cervical discectomy and fusion combined with thyroid gland surgery). Consequently, reducing unnecessary testing and instead taking a more individualized and evidence-based approach would be favorable for patients and the health care system.
Different from the ACR, the American Thyroid Association recommends that US should be used to evaluate all incidental thyroid nodules (21,22). However, an ACR white paper published in 2015 provides workup recommendations for thyroid nodules incidentally detected on radiographic imaging (3). In addition to incidental thyroid nodules that are accompanied by suspicious imaging features (i.e., suspicious lymph nodes, local invasion, PET-avid nodules), regardless of nodule size or patient age, the ACR recommends that all patients with incidental thyroid nodules and suspicious features undergo US to confirm the findings, with consideration for fine needle aspiration (FNA). In otherwise healthy patients without suspicious imaging features, the ACR recommends US for nodules meeting a minimum size threshold of 1 cm in patients younger than 35 years and 1.5 cm in patients 35 years and older (3,23,24). Based on the ACR criteria, a total of 40 patients (40.8%) in our study needed further US and relevant workups. However, 1 case of thyroiditis and 1 case of thyroid cancer would have been missed by adhering to the ACR criteria. Some meaningful lesions might still have been missed because not all patients underwent thyroid US, but this omission rate is within the acceptable range.
There were several limitations in this study. First, we used a retrospective cross-sectional design to examine the MRI scans of patients with DCS. We did not evaluate the MRI features of incidental thyroid abnormalities on cervical MRI studies for possible association with malignancy. However, we analyzed patients who needed further workup according to the ACR guidelines. Second, some patients might have undergone surgical treatment for thyroid disease after MRI or US despite having cervical spondylosis requiring surgical treatment. This situation might have had an impact on the calculated prevalence. Third, DCS is an overarching term to describe various degenerative conditions of the cervical spine, including cervical spondylotic myelopathy, OPLL, and degenerative disc disease. The above-mentioned diseases are often concomitant with DCS. For example, in several patients with DCS, cervical disc herniation was usually concomitant with OPLL or cervical spinal stenosis (25). Therefore, we did not split DCS into different diagnoses, such as disc herniation or OPLL ossification. Instead, we compared the distribution of incidental thyroid nodules among groups. Fourth, our study population mainly comprised patients in the 50- to 60-year age group. Finally, due to the limitations of race, population, living habits, etc., findings from this study may not be applicable to other regions.
Conclusions
Incidental thyroid abnormalities identified during cervical MRI may contain clinically significant lesions and warrant follow-up evaluation when identified. In our population, 7.5% had incidental thyroid abnormalities, and a total of 40 patients (40.8%) needed further US and relevant workup based on the ACR criteria. Incidental thyroid abnormalities that are large or have suspicious imaging features may alter the patient’s treatment or affect the patient’s life. Further evaluation with a dedicated thyroid US examination should be completed before the patient is indicated for cervical spine surgery.
Acknowledgments
Funding: This work has received financial support from the National Natural Science Foundation of China (Nos. 82272523 and 81902244) and the Natural Science Foundation of Jiangsu Province (No. BK20201154).
Footnote
Reporting Checklist: The authors have completed the STROBE reporting checklist. Available at https://qims.amegroups.com/article/view/10.21037/qims-22-484/rc
Conflicts of Interest: All authors have completed the ICMJE uniform disclosure form (available at https://qims.amegroups.com/article/view/10.21037/qims-22-484/coif). The authors have no conflicts of interest to declare.
Ethical Statement:
Open Access Statement: This is an Open Access article distributed in accordance with the Creative Commons Attribution-NonCommercial-NoDerivs 4.0 International License (CC BY-NC-ND 4.0), which permits the non-commercial replication and distribution of the article with the strict proviso that no changes or edits are made and the original work is properly cited (including links to both the formal publication through the relevant DOI and the license). See: https://creativecommons.org/licenses/by-nc-nd/4.0/.
References
- Theodore N. Degenerative Cervical Spondylosis. N Engl J Med 2020;383:159-68. [Crossref] [PubMed]
- Kane SF, Abadie KV, Willson A. Degenerative Cervical Myelopathy: Recognition and Management. Am Fam Physician 2020;102:740-50. [PubMed]
- Hoang JK, Langer JE, Middleton WD, Wu CC, Hammers LW, Cronan JJ, Tessler FN, Grant EG, Berland LL. Managing incidental thyroid nodules detected on imaging: white paper of the ACR Incidental Thyroid Findings Committee. J Am Coll Radiol 2015;12:143-50. [Crossref] [PubMed]
- Traylor KS. Computed Tomography and MR Imaging of Thyroid Disease. Radiol Clin North Am 2020;58:1059-70. [Crossref] [PubMed]
- Starker LF, Prieto PA, Liles JS, Tran Cao HS, Grubbs EG, Lee JE, Perrier ND, Graham PH. Endocrine incidentalomas. Curr Probl Surg 2016;53:219-46. [Crossref] [PubMed]
- Yoon DY, Chang SK, Choi CS, Yun EJ, Seo YL, Nam ES, Cho SJ, Rho YS, Ahn HY. The prevalence and significance of incidental thyroid nodules identified on computed tomography. J Comput Assist Tomogr 2008;32:810-5. [Crossref] [PubMed]
- Özdemir M, Kavak RP. Incidentally Discovered Thyroid Nodules by Routine Magnetic Resonance Imaging of the Cervical Spine: Incidence and Clinical Significance. Curr Med Imaging 2020;16:677-81. [Crossref] [PubMed]
- Kim K, Emoto N, Mishina M, Okada S, Isu T, Yoshida D, Kobayashi S, Teramoto A. Incidental detection of thyroid nodules at magnetic resonance imaging of the cervical spine. Neurol Med Chir (Tokyo) 2013;53:77-81. [Crossref] [PubMed]
- Gulsen S. Anterior cervical discectomy in a patient with huge thyroid tissue (goiter). J Neurosci Rural Pract 2014;5:S83-5. [Crossref] [PubMed]
- Themistoklis KM, Korfias SI, Papasilekas TI, Boviatsis KA, Kokkoros AG, Spartalis ED, Mimidis GP, Sakas DE. Anterior Cervical Discectomy and Fusion combined with thyroid gland surgery, a tailored case and literature review. BMC Musculoskelet Disord 2019;20:629. [Crossref] [PubMed]
- Li Y, Jin C, Li J, Tong M, Wang M, Huang J, Ning Y, Ren G. Prevalence of Thyroid Nodules in China: A Health Examination Cohort-Based Study. Front Endocrinol (Lausanne) 2021;12:676144. [Crossref] [PubMed]
- Jung A, Schramm J, Lehnerdt K, Herberhold C. Recurrent laryngeal nerve palsy during anterior cervical spine surgery: a prospective study. J Neurosurg Spine 2005;2:123-7. [Crossref] [PubMed]
- Manski TJ, Wood MD, Dunsker SB. Bilateral vocal cord paralysis following anterior cervical discectomy and fusion. Case report. J Neurosurg 1998;89:839-43. [Crossref] [PubMed]
- Durante C, Costante G, Lucisano G, Bruno R, Meringolo D, Paciaroni A, Puxeddu E, Torlontano M, Tumino S, Attard M, Lamartina L, Nicolucci A, Filetti S. The natural history of benign thyroid nodules. JAMA 2015;313:926-35. [Crossref] [PubMed]
- Fisher SB, Perrier ND. The incidental thyroid nodule. CA Cancer J Clin 2018;68:97-105. [Crossref] [PubMed]
- Shie P, Cardarelli R, Sprawls K, Fulda KG, Taur A. Systematic review: prevalence of malignant incidental thyroid nodules identified on fluorine-18 fluorodeoxyglucose positron emission tomography. Nucl Med Commun 2009;30:742-8. [Crossref] [PubMed]
- Eloy JA, Brett EM, Fatterpekar GM, Kostakoglu L, Som PM, Desai SC, Genden EM. The significance and management of incidental 18Ffluorodeoxyglucose-positron-emission tomography uptake in the thyroid gland in patients with cancer. AJNR Am J Neuroradiol 2009;30:1431-4. [Crossref] [PubMed]
- Zou Y, Zheng M, Qi Z, Guo Y, Ji X, Huang L, Gong Y, Lu X, Ma G, Xia S. Dual-energy computed tomography could reliably differentiate metastatic from non-metastatic lymph nodes of less than 0.5 cm in patients with papillary thyroid carcinoma. Quant Imaging Med Surg 2021;11:1354-67. [Crossref] [PubMed]
- Evranos B, Polat SB, Cuhaci FN, Baser H, Topaloglu O, Kilicarslan A, Kilic M, Ersoy R, Cakir B. A cancer of undetermined significance: Incidental thyroid carcinoma. Diagn Cytopathol 2019;47:412-6. [Crossref] [PubMed]
- González-Sánchez-Migallón E, Flores-Pastor B, Pérez-Guarinos CV, Miguel-Perelló J, Chaves-Benito A, Illán-Gómez F, Carrillo-Alcaraz A, Aguayo-Albasini JL. Incidental versus non-incidental thyroid carcinoma: Clinical presentation, surgical management and prognosis. Endocrinol Nutr 2016;63:475-81. [PubMed]
- Hoang JK, Raduazo P, Yousem DM, Eastwood JD. What to do with incidental thyroid nodules on imaging? An approach for the radiologist. Semin Ultrasound CT MR 2012;33:150-7. [Crossref] [PubMed]
- Haugen BR, Alexander EK, Bible KC, Doherty GM, Mandel SJ, Nikiforov YE, Pacini F, Randolph GW, Sawka AM, Schlumberger M, Schuff KG, Sherman SI, Sosa JA, Steward DL, Tuttle RM, Wartofsky L. 2015 American Thyroid Association Management Guidelines for Adult Patients with Thyroid Nodules and Differentiated Thyroid Cancer: The American Thyroid Association Guidelines Task Force on Thyroid Nodules and Differentiated Thyroid Cancer. Thyroid 2016;26:1-133. [Crossref] [PubMed]
- Lehnert BE, Sandstrom CK, Gross JA, Dighe M, Linnau KF. Variability in management recommendations for incidental thyroid nodules detected on CT of the cervical spine in the emergency department. J Am Coll Radiol 2014;11:681-5. [Crossref] [PubMed]
- Tanpitukpongse TP, Grady AT, Sosa JA, Eastwood JD, Choudhury KR, Hoang JK. Incidental Thyroid Nodules on CT or MRI: Discordance Between What We Report and What Receives Workup. AJR Am J Roentgenol 2015;205:1281-7. [Crossref] [PubMed]
- Nouri A, Tetreault L, Singh A, Karadimas SK, Fehlings MG. Degenerative Cervical Myelopathy: Epidemiology, Genetics, and Pathogenesis. Spine (Phila Pa 1976) 2015;40:E675-93. [Crossref] [PubMed]


