Quantitative metrics of mean apparent propagator magnetic resonance imaging in the diagnosis of axillary lymph node metastasis in breast cancer
Introduction
The axilla is the primary site for regional lymph node metastasis in breast cancer patients. The presence, location, and number of metastatic axillary lymph nodes (ALNs) are not only associated with the nodal staging and treatment determination (1,2), but also serve as important predictors of locoregional recurrence and overall survival (3,4). Sentinel lymph node biopsy (SLNB) has replaced ALN dissection (ALND) to become the typical surgical procedure for axillary staging in early-stage breast carcinoma (5). In recent years, the targeted axillary dissection (TAD), specifically, resection of a previously confirmed metastatic node together with sentinel lymph node dissection, has been shown to be beneficial in patients with node-positive breast cancer who clinically responded to neoadjuvant chemotherapy to avoid the unnecessary morbidity associated with ALND (6). However, SLNB, ALND, and TAD are all invasive procedures and associated with limitations, such as delayed diagnosis, prolonged anesthesia time, and risk of postoperative complications (i.e., lymphedema, pain, reduced range and strength of upper arm) (7). Thus, a noninvasive imaging method that can be used to reliably assess the ALN status is highly desirable for optimizing the diagnostic work-up and avoiding the morbidity associated with SLNB, ALND, and TAD in breast cancer patients.
Ultrasonography and magnetic resonance imaging (MRI) are commonly used imaging modalities to assess the ALN status in patients with breast cancer (8,9). Several morphologic criteria of ultrasonography and MRI, including the shortest diameter ≥10 mm, fatty hilum loss, cortical thickening, and the long-to-short axis ratio <2, have been widely used to differentiate the metastatic and nonmetastatic ALNs (10-12). However, morphologic criteria based on either ultrasonography or MRI are insufficiently accurate to assess ALN status (8,11,13-15).
Diffusion MRI is a noninvasive technique that could be a useful tool to differentiate metastatic and nonmetastatic ALNs in patients with breast cancer (16). Apparent diffusion coefficient (ADC) derived from conventional diffusion-weighted imaging (DWI) in metastatic ALNs has also been shown to be significantly lower than that in nonmetastatic ones (17,18). However, metastatic and nonmetastatic ALNs cannot always be discriminated accurately based on ADC values, because the actual water molecular diffusion in tissues typically manifests as anisotropy and non-Gaussian distribution (19). Unlike conventional DWI, mean apparent propagator (MAP) MRI is an advanced quantitative MRI framework based on non-Gaussian diffusion, which has the potential to quantify anisotropic diffusion properties of the water molecules and quantitatively characterize the tissue microstructure at a relatively high spatial resolution (20,21). However, to our knowledge, whether the quantitative metrics derived from the MAP-MRI can be used to assess ALN status in breast cancer patients has been poorly investigated.
Our hypothesis was that the MAP-MRI might provide better metrics than conventional ADC value and MRI morphologic features to assess ALN status in breast cancer. The purpose of this study was to assess the diagnostic performance of MAP-MRI metrics in distinguishing the metastatic ALNs from nonmetastatic ones in breast cancer patients and to explore whether MAP-MRI metrics could be superior to ADC value and MRI morphologic findings. We present this article in accordance with the STARD reporting checklist (available at https://qims.amegroups.com/article/view/10.21037/qims-2025-1185/rc).
Methods
Participants and study design
The Institutional Review Board of Sun Yat-Sen Memorial Hospital of Sun Yat-Sen University approved this prospective study (SYSEC-KY-KS-2021-182). Every participant provided informed consent. This study was conducted in accordance with the Declaration of Helsinki and its subsequent amendments. We recruited 175 female participants consecutively who were suspected of having breast malignancy on initial ultrasound (US) examination at Sun Yat-Sen Memorial Hospital of Sun Yat-Sen University from December 2021 to February 2023. The inclusion criteria for participation in this study were as follows: (I) patients aged ≥18 years; (II) received US-guided breast lesion biopsy after MRI examination; and (III) suspected lymphadenopathy by US would receive US-guided ALN core-needle biopsy after MRI examination, or the absence of suspected lymphadenopathy by US would receive SLNB after MRI examination. The exclusion criteria were as follows: (I) contraindications to MRI, such as contrast allergy history, claustrophobia, or renal insufficiency; (II) pathologically confirmed other types of breast lesions except for invasive breast carcinoma; (III) ALNs detected by MRI could not be matched with ultrasonography during ALN core-needle biopsy; (IV) received neoadjuvant therapy before SLNB; (V) positive SLNB results without a strong radiological-pathological correlation of ALN; and (VI) poor MRI image quality, such as artifacts. Finally, 145 participants were enrolled, and based on the pathologic examination of US-guided ALN biopsy and SLNB, the participants were categorized into a metastatic ALN group (n=53) and a nonmetastatic ALN group (n=92). The flowchart is presented in Figure 1.
MRI protocol
All participants underwent breast MRI using a 3.0-T MR scanner (MAGNETOM Skyra; Siemens Healthcare, Erlangen, Germany) with a 16-channel breast coil before US-guided ALN biopsy or SLNB. The MRI protocol included axial T1-weighted imaging (T1WI), axial T2-weighted imaging (T2WI), axial DWI with two b-values (0 and 800 sec/mm2), axial diffusion spectrum imaging with nine b-values (0, 200, 450, 650, 900, 1,100, 1,350, 1,800, and 2,000 sec/mm2) and nine directions, axial dynamic contrast-enhanced (DCE) imaging with 50 dynamic phases and a temporal resolution of 8 seconds following intravenous administration of gadodiamide (Omniscan, GE Healthcare, Chicago, IL, USA), axial delayed enhanced T1WI, and coronal delayed enhanced T1WI sequences. Complete acquisition parameters for MRI sequences are provided in Table S1.
US-guided ALN core-needle biopsy
The ALN with the most suspicious US morphologic features among ipsilateral ALNs was selected as the target node for biopsy in each participant according to at least one of the following findings: the shortest diameter ≥10 mm, round or irregular shape, unclear boundary of the margin, focal cortical mass or/and thickening, diffuse thickening of the cortex, or absence of fatty hilum (22). The US-guided ALN core-needle biopsy was conducted by an ultrasonic radiologist (Q.J., with 12 years of experience in breast disease diagnosis and 5 years of experience in US-guided ALN biopsy) using a 22-mm throw (Bard MaxCore; Bard Biopsy Systems, Tempe, AZ, USA) 14-gauge core-needle to biopsy the target ALN. Before the biopsy, all the MRI images were available for the ultrasonic radiologist. In addition, a three-dimensional (3D) ALN map was reconstructed from the coronal delayed enhanced T1WI sequence to help the ultrasonic radiologist identify the number, location, and size of ALNs. The target ALN was identified by the ultrasonic radiologist and another radiologist (X.Z., with 11 years of experience in breast MRI diagnosis) in consensus based on the size, location, and shape to ensure precise nodal matching on MRI and US. Then, the target ALN matched on the US and MRI was recorded on the 12th phase DCE-MRI images for further analysis. Each node was histologically diagnosed as benign or metastatic independently by two pathologists (Y.L. and Q.L., with 9 and 4 years of experience in pathologic breast tumor diagnosis, respectively). Any disagreement was solved by consensus of the two pathologists.
SLNB
Participants undergoing SLNB lie in the supine position with the bilateral arms abducted and fixed at 90º during surgery. SLNB was performed by using the blue dye method. Methylene blue was injected around the mammary areola at a dose of 2 mL, followed by mammary areola massage for 5 minutes. Then, an arc incision of 3 cm (with a longer incision if needed) was performed at 1 cm above the anterior axillary fold. All blue-stained lymph nodes were deemed to be SLNs and sent for further pathologic examination. Each node was classified as either benign or metastatic. Among these participants who underwent SLNB, we selected the largest lymph node as the target ALN for subsequent image analysis.
Diffusion MRI metrics measurement
Eight quantitative parametric maps of MAP-MRI, mean squared diffusion (MSD), non-Gaussianity (NG), axial non-Gaussianity (NGAx), radial non-Gaussianity (NGRad), q-space inverse variance (QIV), return-to-origin probability (RTOP), return-to-axis probability (RTAP), and return-to-plane probability (RTPP), were derived from diffusion spectrum imaging data. These maps were calculated through an in-house NeuDiLab software based on an open-access tool called Diffusion Imaging in Python (https://dipy.org/). The details of these maps are shown in Table S2. According to the target ALN that was recorded on the DCE-MRI images, the region-of-interest (ROI) of an ALN was delineated independently using ITK-SNAP (http://www.itksnap.org/pmwiki/pmwiki.php) by two radiologists, Y.Q. and X.H. (with 8 and 4 years of experience in breast and ALN MRI assessment, respectively). The ROI was manually delineated to cover the largest cross-sectional entire node on the MSD map and then automatically copied to other MAP-MRI maps (Figures 2,3). The ADC value of each participant was measured on the ADC map in the same target ALN by using the DWI image as a reference. The mean values of MAP-MRI metrics and ADC values measured by two radiologists were calculated for further analysis.
Eight MAP-MRI metrics and ADC value of the targeted ALN. ADC, apparent diffusion coefficient; ALN, axillary lymph node; DCE, dynamic contrast-enhanced; MAP, mean apparent propagator; MRI, magnetic resonance imaging; MSD, mean squared diffusion; NG, non-Gaussianity; NGAx, axial non-Gaussianity; NGRad, radial non-Gaussianity; QIV, q-space inverse variance; RTAP, return-to-axis probability; RTOP, return-to-origin probability; RTPP, return-to-plane probability.
MRI morphologic assessment of target ALNs
MRI morphologic features of the target ALNs were independently assessed by two radiologists (Z.Y. and J.H., with 13 and 6 years of experience in breast MRI diagnosis, respectively). Discrepancies between the two radiologists were resolved by consensus. During the assessment, the radiologists were aware of the breast cancer diagnosis, yet unaware of the pathologic results of ALN and MAP-MRI quantitative metrics. A metastatic ALN was determined if it fulfilled one or more of the following criteria: (I) short axis diameter ≥10 mm; (II) a long-to-short axis ratio <2; (III) loss of the fatty hilum; (IV) cortical thickening >3 mm (12,14,22,23). A nonmetastatic ALN was identified in the absence of these criteria. An example of MRI morphologic features of nonmetastatic and metastatic ALNs is shown in Figure 4.
Statistical analysis
Means ± standard deviations (SD) were used to express continuous variables. To evaluate the inter-rater reliability of MAP-MRI metrics and ADC values measurement, the intraclass correlation coefficient (ICC) was calculated. The Mann-Whitney U test was utilized to compare continuous variables between two groups. Categorical variables were compared using either Pearson’s χ2 test or Fisher’s exact test when appropriate. The area under the receiver operating characteristic curve (AUC), Youden index, sensitivity, specificity, and accuracy were calculated to evaluate the diagnostic performances. The DeLong test was used to compare the AUCs between different metrics. The sensitivity, specificity, and accuracy of different metrics were compared by the McNemar test. These statistical analyses were performed by R software (version 3.3.3; R Foundation for Statistical Computing, Vienna, Austria). A two-tailed P<0.05 indicated a significant difference.
Results
Demographic and clinicopathologic characteristics of participants
In total, 145 participants [mean age, 49 years ±10 (SD)] with 145 target ALNs (one target ALN for each participant) confirmed by pathologic examination after US-guided ALN biopsy or SLNB were enrolled. We excluded 6 participants due to a mismatch between on US and MRI because of several clumped ALNs with the same size and shape, 13 participants because of other types of breast lesions except for invasive breast carcinoma, 6 participants because of received neoadjuvant therapy before SLNB, 3 participants because of positive SLNB results, and 5 participants as a result of MRI image artifacts. Based on the pathologic examination of US-guided ALN biopsy or SLNB, the participants were categorized into the metastatic ALN group (n=53) and the nonmetastatic ALN group (n=92). The clinicopathologic characteristics of participants are listed in Table 1. A significant difference was found in MRI-determined ALN short axis diameter (13.45±5.08 vs. 7.80±2.86 mm, P<0.001), cortical thickening (6.87±2.91 vs. 3.43±1.38 mm, P<0.001), and clinical T stage (P=0.01) between the metastatic ALN group and the nonmetastatic ALN group. No evidence of a difference was found in age, family history, estrogen receptor (ER) status, progesterone receptor (PR) status, human epidermal growth factor receptor 2 (HER2) status, and Ki-67 between the two groups (P=0.14 to 0.97).
Table 1
| Clinicopathologic characteristics | Metastatic ALN group (n=53) | Nonmetastatic ALN group (n=92) | P |
|---|---|---|---|
| Age, years | 48±11 | 50±10 | 0.25† |
| MRI-determined ALN short axis diameter, mm | 13.45±5.08 | 7.80±2.86 | <0.001† |
| MRI-determined ALN cortical thickening, mm | 6.87±2.91 | 3.43±1.38 | <0.001† |
| Family history of breast cancer | 0.49‡ | ||
| No | 47 [89] | 86 [93] | |
| Yes | 6 [11] | 6 [7] | |
| Clinical T stage | 0.01‡ | ||
| T1 | 4 [7] | 30 [33] | |
| T2 | 38 [72] | 48 [52] | |
| T3 | 10 [19] | 12 [13] | |
| T4 | 1 [2] | 2 [2] | |
| ER status | 0.97§ | ||
| Negative | 14 [32] | 24 [26] | |
| Positive | 39 [68] | 68 [74] | |
| PR status | 0.47§ | ||
| Negative | 17 [31] | 35 [38] | |
| Positive | 36 [69] | 57 [62] | |
| HER2 status | 0.14§ | ||
| Negative | 28 [53] | 37 [40] | |
| Positive | 25 [47] | 55 [60] | |
| Ki-67 status | 0.39§ | ||
| Negative (<14%) | 1 [2] | 6 [7] | |
| Positive (≥14%) | 52 [98] | 86 [93] |
Data are presented as number [%] or mean ± SD. †, continuous variables were compared by the Mann-Whitney U test; ‡, categorical variables were compared by the Fisher’s exact test; §, categorical variables were compared by Pearson’s χ2 test. ALN, axillary lymph node; ER, estrogen receptor; HER2, human epidermal growth factor receptor 2; MRI, magnetic resonance imaging; PR, progesterone receptor; SD, standard deviation; T, tumors.
Comparison of diffusion MRI metrics between metastatic and nonmetastatic ALNs
The ICCs for the MAP-MRI metrics and ADC values measurement of two radiologists ranged from 0.875 [95% confidence interval (CI): 0.817–0.915] to 0.981 (95% CI: 0.972–0.988), indicating excellent agreement. Thus, the average values of these diffusion MRI metrics measured by two radiologists were calculated for subsequent analysis. The MAP-MRI metrics and ADC values between metastatic and nonmetastatic ALN groups were compared based on the node-by-node analysis (Table 2). Based on the node-by-node analysis, the MAP_NG, MAP_NGAx, MAP_ NGRad, MAP_RTOP, MAP_RTAP, MAP_RTPP, and ADC values were significantly lower in the metastatic ALN group than those in the nonmetastatic ALN group (P=0.03 to P<0.001), whereas the MAP_MSD and MAP_QIV were significantly higher in the metastatic ALN group than those in the nonmetastatic ALN group (P=0.01 and P<0.001, respectively).
Table 2
| Metrics | Metastatic ALN group | Nonmetastatic ALN group | P |
|---|---|---|---|
| MAP_MSD (10−5 mm2) | 24.63±6.93 | 21.75±7.46 | 0.01 |
| MAP_NG | 0.26±0.04 | 0.35±0.06 | <0.001 |
| MAP_NGAx | 0.21±0.03 | 0.27±0.05 | <0.001 |
| MAP_NGRad | 0.15±0.03 | 0.20±0.05 | <0.001 |
| MAP_QIV (10−10 mm5) | 97.29±57.23 | 54.14±34.81 | <0.001 |
| MAP_RTOP (105 mm−3) | 2.18±0.83 | 4.26±3.43 | <0.001 |
| MAP_RTAP (103 mm−2) | 3.61±0.93 | 5.59±2.65 | <0.001 |
| MAP_RTPP (10 mm−1) | 4.86±0.71 | 5.25±1.13 | 0.03 |
| ADC (10−3 mm2/s) | 1,090.23±177.86 | 1,302.78±246.32 | <0.001 |
The continuous variables are expressed as mean ± standard deviation. The P value was obtained by the Mann-Whitney U test. ADC, apparent diffusion coefficient; ALN, axillary lymph node; MAP, mean apparent propagator; MRI, magnetic resonance imaging; MSD, mean squared diffusion; NG, non-Gaussianity; NGAx, axial non-Gussianity; NGRad, radial non-Gaussianity; QIV, q-space inverse variance; RTOP, return-to-origin probability; RTAP, return-to-axis probability; RTPP, return-to-plane probability.
Diagnostic performance of MAP-MRI metrics, ADC value, and MRI morphologic findings
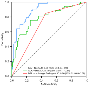
The eight MAP-MRI metrics had AUCs ranging from 0.61 (95% CI: 0.51–0.70) to 0.89 (95% CI: 0.84–0.94), sensitivity from 57% to 100%, specificity from 46% to 83%, and accuracy from 57% to 79% (Table 3). Among these MAP-MRI metrics, MAP_NG yielded the highest diagnostic performance with an AUC of 0.89 (Figure 5), sensitivity of 89%, specificity of 74%, and accuracy of 79%. The AUC, sensitivity, specificity, and accuracy were 0.79 (95% CI: 0.71–0.87), 75%, 75%, and 75%, respectively, for ADC value, and 0.70 (95% CI: 0.63–0.77), 85%, 54%, and 63%, respectively, for MRI morphologic findings in differentiating metastatic from nonmetastatic ALNs.
Table 3
| Metrics | AUC (95% CI) | Sensitivity [%] | Specificity [%] | Accuracy [%] | PPV [%] | NPV [%] |
|---|---|---|---|---|---|---|
| MAP_MSD | 0.63 (0.54–0.72) | 30/53 [57] | 61/92 [66] | 91/145 [63] | 30/61 [49] | 61/84 [73] |
| MAP_NG | 0.89 (0.84–0.94) | 47/53 [89] | 68/92 [74] | 115/145 [79] | 47/71 [66] | 68/74 [92] |
| MAP_NGAx | 0.86 (0.81–0.92) | 53/53 [100] | 55/92 [60] | 108/145 [74] | 53/90 [59] | 55/55 [100] |
| MAP_NGRad | 0.83 (0.77–0.90) | 38/53 [72] | 76/92 [83] | 114/145 [79] | 38/54 [70] | 76/91 [84] |
| MAP_QIV | 0.78 (0.71–0.85) | 41/53 [77] | 65/92 [71] | 106/145 [73] | 41/68 [60] | 65/77 [84] |
| MAP_RTOP | 0.77 (0.69–0.84) | 45/53 [85] | 53/92 [58] | 98/145 [68] | 45/84 [54] | 53/61 [87] |
| MAP_RTAP | 0.78 (0.70–0.85) | 50/53 [95] | 46/92 [50] | 96/145 [66] | 50/96 [52] | 46/49 [94] |
| MAP_RTPP | 0.61 (0.51–0.70) | 41/53 [77] | 42/92 [46] | 83/145 [57] | 41/91 [45] | 42/54 [78] |
| ADC | 0.79 (0.71–0.87) | 40/53 [75] | 69/92 [75] | 109/145 [75] | 40/63 [63] | 69/82 [84] |
| MRI morphologic criteria | 0.70 (0.63–0.77) | 45/53 [85] | 50/92 [54] | 95/145 [63] | 45/87 [52] | 50/58 [86] |
Data in parentheses are the numerator/denominator of participants included for each metric unless otherwise indicated. ADC, apparent diffusion coefficient; ALN, axillary lymph node; AUC, area under the receiver operating characteristic curve; CI, confidence interval; MAP, mean apparent propagator; MRI, magnetic resonance imaging; MSD, mean squared diffusion; NG, non-Gaussianity; NGAx, axial non-Gussianity; NGRad, radial non-Gaussianity; NPV, negative predictive value; PPV, positive predictive value; QIV, q-space inverse variance; RTAP, return-to-axis probability; RTOP, return-to-origin probability; RTPP, return-to-plane probability.
Compared with the ADC value, the MAP_NG yielded a higher AUC (0.89 vs. 0.79, P=0.04), whereas no significant difference was found in sensitivity (89% vs. 75%, P=0.14), specificity (74% vs. 75%, P>0.99), and accuracy (79% vs. 75%, P=0.31) in discriminating between the metastatic and nonmetastatic ALNs. Compared with MRI morphologic findings, the MAP_NG yielded a higher AUC (0.89 vs. 0.70, P<0.001), specificity (74% vs. 54%, P=0.005), and accuracy (79% vs. 63%, P=0.03), with no significant difference in sensitivity (89% vs. 85%, P=0.30) between them in distinguishing the metastatic ALNs from the nonmetastatic ALNs. The ADC value yielded a higher specificity (75% vs. 54%, P=0.003) and accuracy (75% vs. 63%, P=0.001) than MRI morphologic findings, whereas no significant difference was found in AUC (0.79 vs. 0.70, P=0.08) and sensitivity (75% vs. 85%, P=0.77) in discriminating between the metastatic and nonmetastatic ALNs. The comparison of different MRI metrics in discriminating ALNs status is listed in Table 4.
Table 4
| Metrics | AUC | Sensitivity | Specificity | Accuracy |
|---|---|---|---|---|
| MAP_NG vs. ADC value | 0.02 | 0.14 | >0.99 | 0.31 |
| MAP_NG vs. MRI morphologic criteria | <0.001 | 0.30 | 0.005 | 0.03 |
| ADC value vs. MRI morphologic criteria | 0.08 | 0.77 | 0.003 | 0.001 |
Data are P values. DeLong test was used for the comparison of the difference of the area under the receiver operating characteristic curve; McNemar test is for comparison of the difference of sensitivity, specificity, and accuracy. ADC, apparent diffusion coefficient; ALN, axillary lymph node; AUC, area under the receiver operating characteristic curve; MAP, mean apparent propagator; MRI, magnetic resonance imaging; NG, non-Gaussianity.
Discussion
Developing a reliable and noninvasive approach to detect metastatic ALN is essential for tailoring treatment and evaluating prognosis for breast cancer patients. In this study, we found that one of the MAP-MRI quantitative metrics, namely MAP_NG, had superior diagnostic performance to the ADC value derived from traditional DWI (AUC, 0.89 vs. 0.79) and MRI morphologic findings (AUC, 0.89 vs. 0.70) in discriminating between the metastatic and nonmetastatic ALNs, indicating that the MAP-MRI could be a better tool to assess ALN status in patients with breast cancer.
Clinically, ALN status is typically evaluated based on size or morphologic criteria of ultrasonography or MRI. The commonly used morphologic criteria on ultrasonography and MRI to distinguish metastatic and nonmetastatic ALNs include a short axis diameter ≥10 mm, a long-to-short axis ratio <2, the absence of fatty hilum, and cortical thickening >3 mm (10-12,23). However, the detection of metastatic ALNs using ultrasonography morphologic criteria had a reported sensitivity ranging from 26% to 76% and a specificity ranging from 88% to 98% (22). MRI morphologic features, including the short axis diameter and the long-to-short axis ratio <2, were not significantly different between metastatic and nonmetastatic ALNs, and the absence of fatty hilum had a sensitivity of 35% and a specificity of 70%, and cortical thickening >3 mm had a sensitivity of 88% and a specificity of 32% for distinguishing the metastatic ALNs from the nonmetastatic ALNs (12). In our study, the composite application of the morphological criteria (the short axis diameter ≥10 mm, a long-to-short axis ratio <2, the absence of fatty hilum, and cortical thickening >3 mm; positivity defined by meeting any single criterion) yielded an AUC value of 0.70 for diagnosing ALN metastasis, with a high sensitivity of 89% but low specificity of 53%, which might be attributed to the inclusive nature of our multi-criteria approach. These results highlight the limited diagnostic accuracy of relying solely on MRI morphological criteria. Although the 89% sensitivity demonstrates effective identification of truly metastatic ALNs, the 53% specificity indicates that nearly half of the non-metastatic nodes were misclassified as positive, underscoring the need for complementary diagnostic methods to reduce unnecessary invasive procedures for ALNs.
Diffusion MRI is a functional technique that could be a useful tool to noninvasively detect the Brownian motion of water molecules in human tissues. Generally, the ADC values of metastatic ALNs were lower than those in nonmetastatic ALNs, which may be attributed to the possible mechanisms, such as increasing cellularity and decreasing the extracellular and intracellular spaces caused by tumor cell proliferation, resulting in the limited diffusion of water molecules and decreased ADC values in metastatic ALNs (16,24). Several studies have demonstrated that the ADC value could serve as a noninvasive tool to differentiate metastatic ALNs from nonmetastatic ALNs of breast cancer, with reported AUCs, sensitivity, specificity, and accuracy ranging from 0.82 to 0.91, 54% to 95%, 77% to 92%, and 75% to 93%, respectively (16,18,24-28). In our study, the AUC, sensitivity, specificity, and accuracy of ADC value were 0.79, 75%, 75%, and 75%, respectively, which were similar to those previously reported (16,18,24-28).
Unlike morphologic assessment or traditional ADC value, MAP-MRI, as an innovative model for diffusion MRI, quantifies the non-Gaussian character of water molecule diffusion within tissues and has distinct advantages in revealing the complexity of microstructural tissue (21,29,30). In breast cancer, MAP-MRI has been used to portray the complexity and inhomogeneity of the tumor microenvironment with several quantitative metrics (31,32). In our study, for the first time, we used MAP-MRI metrics to assess ALN status in breast cancer. The MAP_NG, MAP_NGAx, MAP_NGRad, MAP_RTOP, MAP_RTAP, and MAP_RTPP were lower, whereas the MAP_MSD and MAP_QIV were higher in metastatic ALNs compared with nonmetastatic ALNs. MAP_NG, which measures deviations from Gaussian diffusion, can reflect structural complexity and heterogeneity within tissues (30). MAP_NGAx and MAP_NGRad represent the derivative of MAP_NG for diffusion in the axial and radial direction, respectively, which can also indirectly reflect the degree of change in NG (20,30). Thus, lower MAP_NG, MAP_NGAx, and MAP_NGRad may indicate a lower degree of structural complexity and heterogeneity in metastatic ALNs than in nonmetastatic ones. The MAP_RTOP is the probability of spin starting at the origin, hitting a barrier, and returning, which is sensitive to the size of the intracellular compartment, so a higher MAP_RTOP means a smaller compartment (30,33). MAP_RTAP and MAP_RTPP measure the return probability within the plane perpendicular to the principal diffusion axis and along this principal axis, respectively (20). Thus, lower MAP_RTOP, MAP_RTAP, and MAP_RTPP may indicate a less obvious restriction of water molecules resulting from less microstructural complexity and diffusion barriers in metastatic ALNs than in nonmetastatic ones (32). MAP_MSD is used to measure how far protons can diffuse (be restricted/blocked) and is closely related to the classical mean diffusivity metric (30), so a higher MAP_MSD in the metastatic ALNs may be associated with tumor infiltration that disrupts the organized lymphoid structure, reducing barriers to water diffusion. QIV is defined as the inverse variance of the signal geometric mean (30), so a higher QIV in the metastatic ALNs may be associated with a more remarkable slow diffusion component as a result of higher cellularity in the metastatic ALNs. We speculated that it was a result of a normal lymph node having a complex structure (i.e., a cortex with lymphoid follicles, a paracortical zone with different types of lymphocytes, a medulla composed of medullary cords and sinuses, along with various immune cells such as B cells, T cells, macrophages) (34,35) and that the normal immune cells such as B cells and T cells were smaller than the cancer cells, whereas the cancer cells gradually replaced the diverse components within the normal lymph node after nodal metastasis. Therefore, the structural complexity was less prominent and there were fewer diffusion barriers in the metastatic ALNs than in the nonmetastatic ALNs. Among these MAP_MRI metrics, the MAP_NG had the highest diagnostic performance and yielded higher discriminating capability than the ADC value in identifying the metastatic ALNs. These results might result from the ADC value being calculated on the basis of a Gaussian distribution model and could not comprehensively reflect the true diffusion of water molecules. In addition, MAP_NG can be considered an alternative index to the mean kurtosis in diffusion kurtosis imaging, and it could be more sensitive to indicate additional information such as exchange or multiple diffusing compartments (30,33). Therefore, in our study, the MAP_NG had a superior diagnostic performance to the ADC value derived from traditional DWI in distinguishing the metastatic and nonmetastatic ALNs (AUC, 0.89 vs. 0.79, P=0.02). Additionally, in our study, we found that MAP_NG yielded a higher AUC (0.89 vs. 0.70, P<0.001) and specificity (74% vs. 54%, P=0.005) with a comparable sensitivity (79% vs. 63%, P=0.03) compared to the MRI morphologic criterion. These findings indicated that the MAP_NG had a highly desirable diagnostic performance, which could be used to reduce unnecessary ALN biopsy (higher specificity) but without a loss of detective capability for metastatic ALNs (comparable sensitivity).
Our study had some limitations. First, this study was a single-center, prospective study with a relatively small sample size. In the future, a multicenter study with a larger sample size is warranted to validate the diagnostic value of MAP-MRI in distinguishing the metastatic and nonmetastatic ALNs. Second, potential selection bias might have been introduced by excluding participants with positive SLNB results (n=3 in our study). This exclusion criterion was necessitated by the challenge of achieving a precise imaging-pathologic match in SLNB-positive cases. Third, according to the currently prevalent diffusion metrics calculation, diffusion metrics such as ADC and intravoxel incoherent motion are more affected by T2 than they are by true diffusion (36,37). This point was not fully considered in our study and might limit the ability of diffusion metrics to reflect the real status of ALN metastasis. Fourth, our study demonstrated that one of the MAP-MRI metrics, namely MAP_NG, yielded a superior diagnostic performance to that of conventional ADC value (AUC 0.89 vs. 0.79). However, MAP-MRI often requires specialized scanner hardware, entails prolonged acquisition time, and involves more complex and time-consuming image post-processing compared with traditional DWI, which potentially limits the usage of MAP-MRI in clinical practice. These drawbacks might be overcome by advanced imaging acquisition techniques, such as simultaneous multi-slice or compressed sensing and image post-processing methods assisted by artificial intelligence to facilitate MAP-MRI for real-world applications in the future.
Conclusions
Our study demonstrated that the MAP-MRI may serve as a better approach than conventional ADC value and morphologic findings in preoperatively differentiating metastatic from nonmetastatic ALNs. The MAP-MRI metrics could be used to reduce unnecessary ALN biopsies in breast cancer patients.
Acknowledgments
Our special thanks go to Yingying Zhu, for her kind help in the consultation for statistical methods.
Footnote
Reporting Checklist: The authors have completed the STARD reporting checklist. Available at https://qims.amegroups.com/article/view/10.21037/qims-2025-1185/rc
Data Sharing Statement: Available at https://qims.amegroups.com/article/view/10.21037/qims-2025-1185/dss
Funding: This work was supported by
Conflicts of Interest: All authors have completed the ICMJE uniform disclosure form (available at https://qims.amegroups.com/article/view/10.21037/qims-2025-1185/coif). M.W. and X.Y. are employees of Siemens Healthineers. The other authors have no conflicts of interest to declare.
Ethical Statement: The authors are accountable for all aspects of the work in ensuring that questions related to the accuracy or integrity of any part of the work are appropriately investigated and resolved. The institutional review board of Sun Yat-Sen Memorial Hospital of Sun Yat-Sen University approved this prospective study (SYSEC-KY-KS-2021-182). Every participant provided informed consent. This study was conducted in accordance with the Declaration of Helsinki and its subsequent amendments.
Open Access Statement: This is an Open Access article distributed in accordance with the Creative Commons Attribution-NonCommercial-NoDerivs 4.0 International License (CC BY-NC-ND 4.0), which permits the non-commercial replication and distribution of the article with the strict proviso that no changes or edits are made and the original work is properly cited (including links to both the formal publication through the relevant DOI and the license). See: https://creativecommons.org/licenses/by-nc-nd/4.0/.
References
- Kaidar-Person O, Pfob A, Gentilini OD, Borisch B, Bosch A, Cardoso MJ, et al. The Lucerne Toolbox 2 to optimise axillary management for early breast cancer: a multidisciplinary expert consensus. EClinicalMedicine 2023;61:102085.
- Bromham N, Schmidt-Hansen M, Astin M, Hasler E, Reed MW. Axillary treatment for operable primary breast cancer. Cochrane Database Syst Rev 2017;1:CD004561.
- Chung HL, Le-Petross HT, Leung JWT. Imaging Updates to Breast Cancer Lymph Node Management. Radiographics 2021;41:1283-99.
- Lai BS, Tsang JY, Li JJ, Poon IK, Tse GM. Anatomical site and size of sentinel lymph node metastasis predicted additional axillary tumour burden and breast cancer survival. Histopathology 2023;82:899-911.
- Brackstone M, Baldassarre FG, Perera FE, Cil T, Chavez Mac Gregor M, Dayes IS, Engel J, Horton JK, King TA, Kornecki A, George R, SenGupta SK, Spears PA, Eisen AF. Management of the Axilla in Early-Stage Breast Cancer: Ontario Health (Cancer Care Ontario) and ASCO Guideline. J Clin Oncol 2021;39:3056-82.
- Boughey JC, Ballman KV, Le-Petross HT, McCall LM, Mittendorf EA, Ahrendt GM, Wilke LG, Taback B, Feliberti EC, Hunt KK. Identification and Resection of Clipped Node Decreases the False-negative Rate of Sentinel Lymph Node Surgery in Patients Presenting With Node-positive Breast Cancer (T0-T4, N1-N2) Who Receive Neoadjuvant Chemotherapy: Results From ACOSOG Z1071 (Alliance). Ann Surg 2016;263:802-7.
- Che Bakri NA, Kwasnicki RM, Khan N, Ghandour O, Lee A, Grant Y, Dawidziuk A, Darzi A, Ashrafian H, Leff DR. Impact of Axillary Lymph Node Dissection and Sentinel Lymph Node Biopsy on Upper Limb Morbidity in Breast Cancer Patients: A Systematic Review and Meta-Analysis. Ann Surg 2023;277:572-80.
- Li Z, Gao Y, Gong H, Feng W, Ma Q, Li J, Lu X, Wang X, Lei J. Different Imaging Modalities for the Diagnosis of Axillary Lymph Node Metastases in Breast Cancer: A Systematic Review and Network Meta-Analysis of Diagnostic Test Accuracy. J Magn Reson Imaging 2023;57:1392-1403.
- Maxwell F, de Margerie Mellon C, Bricout M, Cauderlier E, Chapelier M, Albiter M, Bourrier P, Espié M, de Kerviler E, de Bazelaire C. Diagnostic strategy for the assessment of axillary lymph node status in breast cancer. Diagn Interv Imaging 2015;96:1089-101.
- Luciani A, Pigneur F, Ghozali F, Dao TH, Cunin P, Meyblum E, De Baecque-Fontaine C, Alamdari A, Maison P, Deux JF, Lagrange JL, Lantieri L, Rahmouni A. Ex vivo MRI of axillary lymph nodes in breast cancer. Eur J Radiol 2009;69:59-66.
- Harada T, Tanigawa N, Matsuki M, Nohara T, Narabayashi I. Evaluation of lymph node metastases of breast cancer using ultrasmall superparamagnetic iron oxide-enhanced magnetic resonance imaging. Eur J Radiol 2007;63:401-7.
- Korteweg MA, Zwanenburg JJ, Hoogduin JM, van den Bosch MA, van Diest PJ, van Hillegersberg R, Eijkemans MJ, Mali WP, Luijten PR, Veldhuis WB. Dissected sentinel lymph nodes of breast cancer patients: characterization with high-spatial-resolution 7-T MR imaging. Radiology 2011;261:127-35.
- Yoshimura G, Sakurai T, Oura S, Suzuma T, Tamaki T, Umemura T, Kokawa Y, Yang Q. Evaluation of Axillary Lymph Node Status in Breast Cancer with MRI. Breast Cancer 1999;6:249-58.
- Memarsadeghi M, Riedl CC, Kaneider A, Galid A, Rudas M, Matzek W, Helbich TH. Axillary lymph node metastases in patients with breast carcinomas: assessment with nonenhanced versus uspio-enhanced MR imaging. Radiology 2006;241:367-77.
- Alvarez S, Añorbe E, Alcorta P, López F, Alonso I, Cortés J. Role of sonography in the diagnosis of axillary lymph node metastases in breast cancer: a systematic review. AJR Am J Roentgenol 2006;186:1342-8.
- Xing H, Song CL, Li WJ. Meta analysis of lymph node metastasis of breast cancer patients: Clinical value of DWI and ADC value. Eur J Radiol 2016;85:1132-7.
- Schipper RJ, Paiman ML, Beets-Tan RG, Nelemans PJ, de Vries B, Heuts EM, van de Vijver KK, Keymeulen KB, Brans B, Smidt ML, Lobbes MB. Diagnostic Performance of Dedicated Axillary T2- and Diffusion-weighted MR Imaging for Nodal Staging in Breast Cancer. Radiology 2015;275:345-55.
- Yamaguchi K, Schacht D, Nakazono T, Irie H, Abe H. Diffusion weighted images of metastatic as compared with nonmetastatic axillary lymph nodes in patients with newly diagnosed breast cancer. J Magn Reson Imaging 2015;42:771-8.
- Sun K, Chen X, Chai W, Fei X, Fu C, Yan X, Zhan Y, Chen K, Shen K, Yan F. Breast Cancer: Diffusion Kurtosis MR Imaging-Diagnostic Accuracy and Correlation with Clinical-Pathologic Factors. Radiology 2015;277:46-55.
- Özarslan E, Koay CG, Shepherd TM, Komlosh ME, İrfanoğlu MO, Pierpaoli C, Basser PJ. Mean apparent propagator (MAP) MRI: a novel diffusion imaging method for mapping tissue microstructure. Neuroimage 2013;78:16-32.
- Ma K, Zhang X, Zhang H, Yan X, Gao A, Song C, Wang S, Lian Y, Cheng J. Mean apparent propagator-MRI: A new diffusion model which improves temporal lobe epilepsy lateralization. Eur J Radiol 2020;126:108914.
- Chang JM, Leung JWT, Moy L, Ha SM, Moon WK. Axillary Nodal Evaluation in Breast Cancer: State of the Art. Radiology 2020;295:500-15.
- Ecanow JS, Abe H, Newstead GM, Ecanow DB, Jeske JM. Axillary staging of breast cancer: what the radiologist should know. Radiographics 2013;33:1589-612.
- De Cataldo C, Bruno F, Palumbo P, Di Sibio A, Arrigoni F, Clemente A, Bafile A, Gravina GL, Cappabianca S, Barile A, Splendiani A, Masciocchi C, Di Cesare E. Apparent diffusion coefficient magnetic resonance imaging (ADC-MRI) in the axillary breast cancer lymph node metastasis detection: a narrative review. Gland Surg 2020;9:2225-34.
- Fornasa F, Nesoti MV, Bovo C, Bonavina MG. Diffusion-weighted magnetic resonance imaging in the characterization of axillary lymph nodes in patients with breast cancer. J Magn Reson Imaging 2012;36:858-64.
- Luo N, Su D, Jin G, Liu L, Zhu X, Xie D, Liu Y. Apparent diffusion coefficient ratio between axillary lymph node with primary tumor to detect nodal metastasis in breast cancer patients. J Magn Reson Imaging 2013;38:824-8.
- Fardanesh R, Thakur SB, Sevilimedu V, Horvat JV, Gullo RL, Reiner JS, Eskreis-Winkler S, Thakur N, Pinker K. Differentiation Between Benign and Metastatic Breast Lymph Nodes Using Apparent Diffusion Coefficients. Front Oncol 2022;12:795265.
- Kamitani T, Hatakenaka M, Yabuuchi H, Matsuo Y, Fujita N, Jinnouchi M, Nagao M, Shirahane K, Tokunaga E, Honda H. Detection of axillary node metastasis using diffusion-weighted MRI in breast cancer. Clin Imaging 2013;37:56-61.
- Gao A, Zhang H, Yan X, Wang S, Chen Q, Gao E, Qi J, Bai J, Zhang Y, Cheng J. Whole-Tumor Histogram Analysis of Multiple Diffusion Metrics for Glioma Genotyping. Radiology 2022;302:652-61.
- Wang P, Weng L, Xie S, He J, Ma X, Li B, Yuan P, Wang S, Zhang H, Niu G, Wu Q, Gao Y. Primary application of mean apparent propagator-MRI diffusion model in the grading of diffuse glioma. Eur J Radiol 2021;138:109622.
- Mao C, Jiang W, Huang J, Wang M, Yan X, Yang Z, Wang D, Zhang X, Shen J. Quantitative Parameters of Diffusion Spectrum Imaging: HER2 Status Prediction in Patients With Breast Cancer. Front Oncol 2022;12:817070.
- Zhang X, Qiu Y, Jiang W, Yang Z, Wang M, Li Q, Liu Y, Yan X, Yang G, Shen J. Mean Apparent Propagator MRI: Quantitative Assessment of Tumor-Stroma Ratio in Invasive Ductal Breast Carcinoma. Radiol Imaging Cancer 2024;6:e230165.
- Avram AV, Sarlls JE, Barnett AS, Özarslan E, Thomas C, Irfanoglu MO, Hutchinson E, Pierpaoli C, Basser PJ. Clinical feasibility of using mean apparent propagator (MAP) MRI to characterize brain tissue microstructure. Neuroimage 2016;127:422-34.
- Cruz de Casas P, Knöpper K, Dey Sarkar R, Kastenmüller W. Same yet different - how lymph node heterogeneity affects immune responses. Nat Rev Immunol 2024;24:358-74.
- Willard-Mack CL. Normal structure, function, and histology of lymph nodes. Toxicol Pathol 2006;34:409-24.
- Xu FY, Xiao BH, Wáng YXJ. The rationale for proposing a magnetic resonance slow diffusion metric and its proof-of-concept testing showing spleen parenchyma and hepatocellular carcinoma have faster diffusion than liver parenchyma. Quant Imaging Med Surg 2025;15:3792-806.
- Wáng YXJ, Ma FZ. A tri-phasic relationship between T2 relaxation time and magnetic resonance imaging (MRI)-derived apparent diffusion coefficient (ADC). Quant Imaging Med Surg 2023;13:8873-80.

