Cortical morphological alterations and structural covariant network topology changes in children with acute lymphoblastic leukemia
Introduction
Acute lymphoblastic leukemia (ALL) is the most common childhood malignancy (1). Following the optimization and enhancement of treatment regimens, its 5-year survival rate now exceeds 90% (2), and children with ALL now represent the largest group of long-term survivors among pediatric cancer patients (3). To prevent the development of central nervous system (CNS) leukemia, children with ALL are treated with chemotherapeutic drugs via intrathecal injection. However, those undergoing chemotherapy are at risk of neurocognitive impairment. Previous studies have reported varying degrees of cognitive impairment, referred to as the cognitive delay effect (4) or chemotherapy-induced cognitive impairment (CICI), in adult ALL survivors (5).
ALL most commonly affects children between the ages of 1 and 5 years (6). Human brain development occurs rapidly before the age of 2 years (7), slowing after this period until adulthood (8). Exposure to various chemotherapeutic drugs during a critical developmental stage can cause neurocognitive impairment that can persist into adulthood (9). As the survival rate for children with ALL continues to improve (2), there has been a gradual increase in the number of survivors experiencing neurocognitive impairments such as attention deficits, working memory impairments, and processing speed difficulties (10). The incidence rates of neurocognitive impairments among ALL survivors are much higher than expected; approximately 17–54% of ALL survivors experience executive dysfunction affects, with attention deficit and task execution difficulties affecting up to 62% (11).
At present, there is no clear diagnostic method for CICI, which is primarily assessed by various cognitive scale scores. Cranial magnetic resonance imaging (MRI) can provide information on brain structure, metabolism, and function, offer a neuroimaging basis for its related mechanisms, and aid in the early diagnosis of CICI in ALL patients. However, the research conducted to date has some limitations. First, previous studies have largely focused on adult ALL survivors in Western countries. Due to racial, genetic, environmental, and cultural disparities, clinical data from Western populations may not be generalizable to Asian cohorts (12). Second, a common limitation of previous research on brain structure/function in ALL survivors is the prolonged interval between disease duration, treatment, and cognitive/functional imaging evaluation. Early post-chemotherapy brain changes in pediatric ALL patients may not be detected in the minimum 2-year chemotherapy course, and the effect of post-treatment confounders (e.g., education, economic, and family factors) cannot be excluded. Third, previous research has shown mild cognitive decline in pediatric ALL patients during chemotherapy remission (13); however, the focus on long-term survivors might have led to the optimal window for early detection/intervention of CICI being overlooked. Additionally, in brain development, cortical regions develop in coordinated trajectories, and regions with a common growth trajectory form a structural covariance network (SCN). The SCN is not only associated with the functional recognition system but also relates to the cognitive abilities of living organisms.
To address these limitations, this study sought to investigate cortical and SCN alterations during the early phase of chemotherapy in children with ALL, a period seldom explored in the previous literature. This study used surface-based morphometry (SBM) and SCN technology to identify the brain morphological characteristics of children with ALL, construct a SCN based on grey-matter (GM) volume, analyze characteristics of the topological structure based on human brain connect omics, and clarify changes in the brain SCN of children with ALL at the early stage of chemotherapy. Our findings provide an imaging monitoring approach for clinicians to detect CICI in children with ALL at an early stage, and an objective imaging basis for the early diagnosis and treatment of CICI in children with ALL. We present this article in accordance with the STROBE reporting checklist (available at https://qims.amegroups.com/article/view/10.21037/qims-24-2239/rc).
Methods
Patient population
The data of children with ALL diagnosed at Shenzhen Children’s Hospital from September 2020 to December 2022 were collected. All the children with ALL underwent two MRI examinations before chemotherapy, and achieved complete remission (CR) between days 46 and 52 of chemotherapy (a total of two times). The cranial MRI examination at post-chemotherapy days 46–52 (the induction therapy phase) was strategically timed to coincide with the CR assessment—a critical factor in deciding between consolidative therapy intensification and salvage regimens (e.g., immunotherapy regimens). The treatment regimen and drug dose were determined according to the guidelines of the Chinese Children’s Cancer Group-Acute Lymphoblastic Leukemia Multicenter Collaborative Group-2020 (CCCG-ALL-2020) (14). None of the participants received radiotherapy.
In total, 47 newly diagnosed children with ALL were enrolled in the study; eight patients were excluded under the exclusion criteria due to CNS leukemia (n=4) and abnormal signals on the baseline MRI scan (n=4). On days 46–52 of the follow-up period, 11 patients were unable to or refused to attend follow-up (e.g., severe infection and granulocytopenia). In total, 28 children with ALL were followed-up, and two children were excluded due to poor image quality. Ultimately, 26 children with ALL were included in the study (Figure 1).
Inclusion and exclusion criteria
Children were included in the study if they met the following inclusion criteria: (I) were right-handed and aged 2–12 years; (II) had been diagnosed with ALL (confirmed by bone marrow biopsy); (III) were receiving chemotherapy according to the guidelines of the Chinese Children’s Cancer Group-Acute Lymphoblastic Leukemia Multicenter Collaborative Group-2015 (CCCG-ALL-2015) or CCCG-ALL-2020 (ClinicalTrials.gov identifier: ChiCTRIPR-14005706 and ChiCTR2000035264); and (IV) were aware of and consented to this study, as did their guardians.
Children were excluded from the study if they met any of the following exclusion criteria: (I) did not achieve CR after the first induction phase; (II) had CNS leukemia (excluding the effects of ALL itself); (III) had abnormal signals on the baseline MRI scan or neurocognitive disorders (excluding those caused by other coexisting diseases); (IV) had received drugs or radiation therapy that could affect their brain structure or function; (V) had undergone MRI enhancement examinations not less than 4 times (after accounting for the potential influence of gadolinium deposition); and/or (VI) had MRI images that did not meet the experimental requirements in terms of quality.
The study was conducted in accordance with the Declaration of Helsinki and its subsequent amendments. The study was approved by the Research Ethics Committee of Shenzhen Children’s Hospital, and informed consent was obtained from all patients’ guardians.
Brain magnetic resonance (MR) protocol
Siemens MAGNETOM Skyra 3.0 Tesla MRI System was used to perform the craniocerebral scanning. Each child was positioned supine with the head fixed in an 8-channel orthogonal head and neck coil to reduce motion artifacts. All the patients and/or their guardians were informed of the main procedure of the experiment, scanning time, and precautions prior to the examination. Uncooperative patients received 10% chloral hydrate (0.5–1.0 mL/kg orally) or enema sedation 30 minutes before examination (total dose <10 mL), and were examined while sleeping. The scanning range was the entire brain, and the three-dimensional positioning method was used. Axial T1-weighted imaging (T1WI), T2-weighted imaging, T2-fluid-attenuated inversion recovery, and sagittal T1WI scans were performed. Sagittal scans were performed using T1WI three-dimensional magnetization-prepared rapid acquisition gradient echo sequences (3D-MPRAGE), with the scanning parameters as follows: pulse repetition time/echo time =14 ms/2.26 ms, field of view = 256 mm × 256 mm, flipping angle =25°, thickness =1 mm, layer spacing =0 mm, matrix =256×192, and acquisition time: 3 minutes and 48 seconds.
MRI data processing
MATLAB2018b software was used to process the 3D-MPRAGE data using the Computational Anatomy Toolbox 12 (CAT12) toolkit in the Statistical Parametric Mapping 12 software. The statistical parametric mapping processing steps included: (I) manual correction of the anterior commissure and posterior commissure; (II) spatial normalization using differential anatomical registration through exponentiated lie algebra (based on the Montreal Neurological Institute 152 template); (III) brain tissue segmentation using the Automated Anatomical Labeling 90 (AAL90) template, whereby each image was automatically segmented into GM, white matter (WM), and cerebrospinal fluid based on the Gaussian mixture model and the naive Bayes formula. The standard brain template was developed by the team of Professor Yong He (15) of the Laboratory of Cognitive Neuroscience and Learning of Beijing Normal University (https://www.nitrc.org/projects/chn-pd), and children with grade C or below segmentation quality were excluded; (IV) extraction of cortical morphology, including four cortical morphological indicators: cortical thickness, sulcus depth, gyrification index, and fractal dimension (i.e. cortical complexity); (V) resampling and smoothing in which the cortical morphological indicators were smoothed following segmentation. The cortical thickness was smoothed by 15 full widths at half maxima (FWHM), and the sulcus depth, gyrification index, and fractal dimension were smoothed by 20 FWHM [as recommended by the Computational Anatomy Toolbox-CAT12 Manual (16)]; and (VI) definition of 90 cortical and subcortical regions based on the AAL90 template. These regions were set as voxel-based morphometry regions of interest (ROIs). The GM volume and the total intracranial volume (TIV) of the 90 ROIs in the children with ALL were extracted before and after chemotherapy.
For the SCN construction, the graph analysis software Graph Analysis Toolbox (GAT) (17) was used to calculate the Pearson’s correlation coefficients between the volumes of the 90 ROIs defined by the AAL90 template to construct a 90×90 correlation matrix, and TIV was included as a covariate to account for inherent differences in brain parenchyma volume across individuals via linear regression. The minimum edge density was set to 0.1, and the maximum edge density was set to 0.5 [as an edge with a density greater than 0.5 was considered abiotic (17)]. The SCN binary matrix threshold was set within this density range (0.1–0.5, interval: 0.02).
Statistical analysis
Comparisons between the two groups were performed using the basic statistics models of the built-in SBM statistical analysis toolkit in CAT12. The paired t-test was used to compare differences in cortical thickness, sulcus depth, cortical folds, and fractal dimension. A voxel-wise threshold of P<0.001 (uncorrected) was applied, followed by cluster-level family-wise error (FWE) correction via permutation testing (cluster size ≥50 voxels, and P<0.05). This approach was employed to balance false-positive control and sensitivity to spatially extended effects. A difference between two groups was considered statistically significant when the cluster size was ≥50 and the P value was <0.05 (FWE corrected). The network metrics of the children with ALL before chemotherapy and after they achieved CR on days 46–52 of chemotherapy were compared and analyzed using the GAT toolkit. A permutation test (re-randomly ordered 1,000 times) was used to generate a virtual distribution to compare the differences in global and local network attributes between the two groups of children with ALL before and after chemotherapy. A P value <0.05 indicated a statistically significant difference. When calculating the local network attributes, the false discovery rate multiple comparison was used for correction (18).
Results
In total, 26 children with ALL were enrolled in the study. The children had an average age of 7.07±3.09 years. Of the children, 15 were male and 11 were female, and all were ethnic Chinese. All therapeutic regimens were administered according to the CCCG-ALL-2015 or the CCCG-ALL-2020 guidelines from the Chinese Children’s Cancer Group.
Cortical morphometry
Cortical thickness
The bilateral cerebral multiple cortical thickness of the patients was thinner before chemotherapy than on days 46–52 of chemotherapy. The regions with reduced cortical thickness in the left cerebral hemisphere included the superior frontal, medial orbitofrontal, paracentral, rostral middle frontal, pars opercularis, pars triangularis, caudal middle cingulate, precentral, superior parietal, supramarginal, middle temporal, inferior temporal, lateral occipital, and fusiform areas. The regions with reduced cortical thickness in the right cerebral hemisphere included the superior frontal, middle frontal rostral, paracentral, postcentral, superior parietal, supramarginal, cuneus, lateral occipital, medial orbitofrontal, anterior rostral cingulate, anterior caudal cingulate, posterior cingulate, lingual, precuneus, cuneus, and pericalcarine areas (cluster size ≥50, P<0.05, FWE corrected; Figure 2A). A line chart of the changes in the cerebral cortex in the children with ALL is detailed in Figure S1.
Sulcus depth
Compared to the depths before chemotherapy, the depths of the sulcus of the left superior frontal, caudal anterior cingulate, and rostral anterior cingulate, the right postcentral, superior parietal, supramarginal, inferior parietal, lateral occipital, precuneus, insula, and transverse temporal areas were shallower in the children with ALL who achieved CR on days 46–52 of chemotherapy (cluster size ≥50, P<0.05, FWE corrected; Figure 2B).
Gyrification index
Compared to that before chemotherapy, the gyrification index of the left superior frontal, rostral anterior cingulate, caudal anterior cingulate, postcentral, superior parietal, right supramarginal, insula, middle rostral frontal, orbitofrontal, pars triangularis areas was lower in the children with ALL who achieved CR on days 46–52 of chemotherapy (cluster size ≥50, P<0.05, FWE corrected; Figure 2C).
Fractal dimension
Compared to that before chemotherapy, the fractal dimension of the left rostral middle frontal area was smaller in the children with ALL who achieved CR on days 46–52 of chemotherapy (cluster size ≥50, P<0.05, FWE corrected; Figure 2D).
Global SCN connectivity
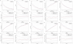
The SCN binary matrix was based on the GM volume before and after chemotherapy in the children with ALL (Figure S2). All the children conformed to the small world network attributes before and after chemotherapy; that is, γ (gamma) >1, λ (lambda) ≈1, σ (sigma) >1 (19). In the density range (0.1:0.02:0.5), the overall distributions of the γ, λ, and σ parameters of the children with ALL after chemotherapy were slightly lower than those before chemotherapy, but there were no statistically significant differences between the γ (P=0.655), λ (P=0.660), and σ (P=0.773) parameters (Figure 3A-3F). The overall distribution of the global attribute metrics clustering coefficient (Cp), local efficiency (Eloc), and modularity after chemotherapy were also lower than those before chemotherapy, and the coordination distribution was more irregular after chemotherapy than before chemotherapy. However, there were no statistically significant differences between other parameters, including the Cp (P=0.159), Eloc (P=0.325), characteristic path length (P=0.522), global efficiency (Eg; P=0.702), assortativity (P=0.956), transitivity (P=0.753), and modularity (P=0.628). Distribution maps and difference maps between the groups in terms of global network parameters are shown in Figure 3G-3T.
Local connectivity and hubs
Degree (Deg) and betweenness (Bet)
Compared with the values before chemotherapy, the Deg in the left supplementary motor area (LSMA; P=0.029) increased, and the Bet in the left precuneus (LPCUN) decreased (P=0.034) in the children with ALL on days 46–52 of chemotherapy (Figure 4). The Deg distribution of the children with ALL before chemotherapy showed peak values of 33 and 49. On days 46–52 of chemotherapy, the Deg distribution of children with ALL showed peak values of 49 and 65 (Figure S3).
Hubs
The Hubs of the children with ALL before and after chemotherapy were constructed based on the Deg and Bet, respectively. In relation to the Deg, 16 core nodes were identified before and after chemotherapy, respectively, which constituted distinct sets. In relation to the Bet, there were 13 and 15 core nodes before and after chemotherapy, respectively. The specific nodes are shown in Table 1 and Figure 5.
Table 1
| Variables | Before chemotherapy | After chemotherapy | |||
|---|---|---|---|---|---|
| Abbreviation | Hubs | Abbreviation | Hubs | ||
| Based on degree | lROL | Left Rolandic operculum | lROL | Left Rolandic operculum | |
| rACC | Right anterior cingulate & paracingulate gyri | rACC | Right anterior cingulate & paracingulate gyri | ||
| rINS | Right insula | rINS | Right insula | ||
| lACC | Left anterior cingulate & paracingulate gyri | lACC | Left anterior cingulate & paracingulate gyri | ||
| lMCC | Left middle cingulate & paracingulate gyri | lMCC | Left middle cingulate & paracingulate gyri | ||
| rMCC | Right middle cingulate & paracingulate gyri | rMCC | Right middle cingulate & paracingulate gyri | ||
| lPCUN | Left Precuneus | lPCUN | Left precuneus | ||
| rPCUN | Right Precuneus | rPCUN | Right precuneus | ||
| lMTG | Left middle temporal gyrus | lMTG | Left middle temporal gyrus | ||
| rMTG | Right middle temporal gyrus | rMTG | Right middle temporal gyrus | ||
| rITG | Right inferior temporal gyrus | rITG | Right inferior temporal gyrus | ||
| rSTG | Right superior temporal gyrus | rSTG | Right superior temporal gyrus | ||
| lMFG | Left middle frontal gyrus | lREC | Left gyrus rectus | ||
| lINS | Left insula | rIOG | Right inferior occipital gyrus | ||
| lSMG | Left supra marginal gyrus | rPUT | Right lenticular nucleus-putamen | ||
| lPreCG | Left precentral gyrus | lIFGoperc | Left inferior frontal gyrus-opercular part | ||
| Based on betweenness | lROL | Left Rolandic operculum | lROL | Left Rolandic operculum | |
| rINS | Right insula | rINS | Right insula | ||
| rACC | Right anterior cingulate & paracingulate gyri | rACC | Right anterior cingulate & paracingulate gyri | ||
| rMCC | Right middle cingulate & paracingulate gyri | rMCC | Right middle cingulate & paracingulate gyri | ||
| lPCUN | Left precuneus | lPCUN | Left precuneus | ||
| rPCUN | Right precuneus | rPCUN | Right precuneus | ||
| rPAL | Right lenticular nucleus-pallidum | rPAL | Right lenticular nucleus-pallidum | ||
| lMTG | Left middle temporal gyrus | lMTG | Left middle temporal gyrus | ||
| rMTG | Right middle temporal gyrus | rMTG | Right middle temporal gyrus | ||
| rITG | Right inferior temporal gyrus | rITG | Right inferior temporal gyrus | ||
| lMCC | Left middle cingulate & paracingulate gyri | rOLF | Right olfactory cortex | ||
| lINS | Left insula | rSFGmedial | Right superior frontal gyrus-medial | ||
| rSTG | Right superior temporal gyrus | lREC | Left gyrus rectus | ||
| rREC | Right gyrus rectus | ||||
| rPCC | Right posterior cingulate gyrus | ||||
Discussion
During CR on days 46–52 of chemotherapy, the children with ALL exhibited morphological changes in the cerebral cortex, characterized by the widespread thinning of the bilateral cortex. The bilateral frontoparietal lobes were the most susceptible brain regions for CICI among children with ALL. In the structural network of local network properties, the children with ALL showed an increased Deg in the LSMA, and decreased Bet in the LPCUN, along with an altered distribution and number of Hubs, indicating concurrent changes in cortical morphology and topological properties on days 46–52 of chemotherapy.
The potential mechanism of CICI in children with ALL has not been fully clarified. Possible pathophysiological mechanisms include inflammation (4,20), oxidative stress (21-23), neuronal excitatory toxicity (24), and metabolic disorder of the folate pathway (20). In this study, the bilateral frontal lobe was more easily involved in the gyrification index of children with ALL. The decrease in the gyrification index suggests that the neuronal microstructure in these areas of the brain had been damaged when CR was achieved in the early stage of chemotherapy, and the local connectivity between the cortices had changed. Due to the late development of the frontal lobe, the highly metabolic frontal lobe may be more vulnerable to damage by chemotherapeutic drugs. Further, the frontal lobe is closely related to executive function, which may explain why the frontal lobe and executive function are among the most vulnerable brain regions and cognitive functions, respectively (25). In this study, cortical morphological changes were observed in multiple brain regions comprising the medial prefrontal cortex. The medial prefrontal cortex has been shown to be crucial in cognitive processes, emotional regulation, motivation, and social ability, and has been found to be impaired in a variety of diseases such as depression, anxiety, heroin addiction, and schizophrenia (26).
The children with ALL displayed the characteristics of a small world network, and no statistically significant differences in the γ, λ and σ parameters were observed before and after chemotherapy. Although there were no statistically significant differences between the parameters of the global network attributes, in terms of the overall distribution curve of the parameters, the curve distribution of Cp, Eloc, and modularization was lower after than before chemotherapy, and the overall distribution characterizing functional integration was more irregular after than before chemotherapy, which may explain why the children with ALL only showed mild cognitive impairment (13). However, by comparing 31 ALL survivors and 39 matched control subjects, Kesler et al. showed that the small world parameters and the Cp of the ALL survivors were lower (27), and the patients receiving chemotherapy exhibited potential reductions in regional connectivity and SCN efficiency (28). Zou et al. (29) also reported that the small world parameters and Cp of children with ALL were significantly lower, and the cognitive impairment of children with ALL with network damage was more serious. If the connection of brain regions cannot be effectively or fully used, it is more difficult to have a complex, highly isolated, and intensively integrated structural network. Thus, chemotherapy may lead to an imbalance in the functional integration and functional separation of the brain network in ALL survivors. No statistically significant differences were found among the parameters of the global network attributes in the early stage of chemotherapy in the children with ALL; however, this may be due to the short follow-up interval, small sample size, or threshold effect. Thus, future studies should increase the sample size and follow-up time to further monitor dynamic changes in children with ALL.
This study found that the Deg value of the LSMA increased after chemotherapy in the children with ALL. The supplementary motor area (SMA) complex is located in the posterior part of the superior frontal gyrus, and is surrounded by the cingulate gyrus, the anterior central gyrus, and the superior frontal gyrus (30). Neuroimaging has confirmed that the most obvious symptoms of SMA damage are contralateral movement and speech defects, and that the SMA is involved in the cognitive process of working memory (31), executive function, and processing speed (32). The Deg increased in the SMA, which may reflect enhanced motor planning efficiency for sequential movements. This finding aligns with the known role of the SMA in coordinating complex motor sequences, and supports the hypothesis that task difficulty modulates motor cortical recruitment (33). Recent studies have confirmed that the LSMA is related to auditory sound integration (34) and auditory motor control (35), which suggests that children with ALL may have hearing impairment after chemotherapy. Thus, future studies should not only focus on cognitive impairment, but should also examine auditory function in children with ALL. The Bet value of the LPCUN in the children with ALL after chemotherapy was significantly reduced, indicating that the LPCUN network connection was sparser after chemotherapy, the integrity of the WM was lower, and the integration of the brain network was reduced. Thus, the communication efficiency between the LPCUN and other regions was lower, and the information transmission pathway was longer.
The Deg distribution changed after chemotherapy in the children with ALL, and the maximum value of the Deg distribution increased. This may be due to the existence of a compensatory mechanism. Because the function of brain areas was damaged by chemotherapy, higher Degs (i.e., more edges between the brain areas) were needed for compensation. For example, the Rolandic operculum is a brain area composed of a variety of cells. It is widely connected to other brain regions and is involved in many complex functions, including sensory, motor, autonomic, cognitive, and language processing (36). As shown in this study in relation to both the Deg or Bet, the left Rolandic operculum (lROL) was one of the core nodes in the children with ALL. In a structural network, high node-Bet centrality indicates high connectivity and potential involvement in numerous functional interactions (28). In the children with ALL, the number of Hubs increased during the CR stage of Bet-based chemotherapy, among which the left gyrus rectus and right gyrus rectus were new Hubs. The gyrus rectus is located on the medial ventral surface of the frontal lobe, forming the prefrontal cortex area, which belongs to the Brodmann 11 area. It is involved in cognitive function, thinking, and perceptual function, together with other prefrontal cortex functions, including memory, recall, problem solving, and emotion, which is consistent with the high incidence of executive function impairment in ALL (37,38).
Similar to the speculations in this study, other scholars have conjectured that there may be some neurological compensation or reorganization in ALL survivors (22), and that the brain areas of child survivors undergo compensation and functional remodeling after chemotherapy (39). Compared with ALL control subjects with low glucocorticoid receptor expression, ALL survivors with high glucocorticoid receptor expression showed increased mean Eg in the bilateral cerebellar-thalamic-cortical network (37). Among them, ALL survivors with executive dysfunction exhibited even higher Eg in this network, suggesting that executive dysfunction in ALL survivors may be associated with a compensatory mechanism (37). Children with elevated early-life adversity exposure exhibit an accelerated brain developmental trajectory during the preschool years (40). Upon early-life adversity exposure, the brain adapts to adverse environments by accelerating its developmental pace, a process that may increase the risk of poor cognitive and mental health outcomes (40).
Notably, the SCN, which typically calculates inter-regional connections based on correlation coefficients, can only reflect the consistency of change direction between brain regions, and thus lacks directional information. Additionally, the SCN can only reflect the structural covariance relationships between brain regions at a specific time point or period, and thus cannot capture dynamic changes in brain structure and function across a temporal dimension, and thus lacks temporal information. Besides, SCN construction assumes that patterns of brain structural changes are similar among individuals; however, in reality, interindividual variations exist, which may affect the accuracy of the SCN in reflecting inter-regional relationships.
Long-term ALL survivors receiving chemotherapy alone exhibit brain structural and functional alterations, including reduced microstructural WM integrity in frontal regions and lower brain network efficiency (29,41), as well as late lifelong neurocognitive effects. However, previous studies have primarily focused on adult ALL survivors, failed to control for post-treatment confounders (e.g., educational and economic factors), and might have missed early brain changes after chemotherapy in children with ALL, thus overlooking the early treatment window for CICI. Consistent with multiple previous studies, chemotherapy-induced damage to the GM volume and morphology was observed in children with ALL. However, prior brain network research mainly focuses on resting-state functional brain network alterations and WM fiber-based network changes. By integrating cortical morphology and the GM-based SCN, this study found early cortical damage and topological property changes in the children with ALL during chemotherapy. Therefore, future research should prioritize the early chemotherapy phase in children with ALL, potentially enabling early interventions—especially for children at high risk of CICI or those with existing neurocognitive impairment—to improve their long-term quality of life.
Limitations
Because ALL primarily affects children aged 1–5 years, the participants in this study were relatively young. Although the follow-up period in this study was short (only 46–52 days post-treatment), and brain myelination develops slowly after 2 years (42), the influence of myelination cannot be completely excluded. Future research will include dynamic follow-ups of children with ALL at multiple time points. The lack of a healthy control group and the contemporaneous cognitive ability assessment of children with ALL were also limitations of this study. Although cross-sectional studies have suggested the cognitive test results of children with ALL before chemotherapy are no different from those of their peers (13,43), this study excluded children with CNS leukemia and abnormal signals on the baseline MRI examination. However, this study could not completely exclude the influence of ALL itself on the brain.
Conclusions
In children with ALL achieving CR at chemotherapy days 46–52, the bilateral frontoparietal and right insular cortices exhibited the most pronounced thinning, accompanied by an altered structural network topology (an increased LSMA Deg, reduced LPCUN Bet, and Hub redistribution). These topological alterations, which could be driven by heightened Deg distribution and Hub reorganization, may underlie compensatory neural restructuring and serve as preclinical biomarkers for CICI. Despite a lack of contemporaneous neurocognitive data, this study highlights SCN remodeling as a potential CICI mechanism. Future longitudinal investigations with comprehensive cognitive assessments need to be conducted to validate these findings.
Acknowledgments
None.
Footnote
Reporting Checklist: The authors have completed the STROBE reporting checklist. Available at https://qims.amegroups.com/article/view/10.21037/qims-24-2239/rc
Data Sharing Statement: Available at https://qims.amegroups.com/article/view/10.21037/qims-24-2239/dss
Funding: This work was supported by
Conflicts of Interest: All authors have completed the ICMJE uniform disclosure form (available at https://qims.amegroups.com/article/view/10.21037/qims-24-2239/coif). The authors have no conflicts of interest to declare.
Ethical Statement: The authors are accountable for all aspects of the work in ensuring that questions related to the accuracy or integrity of any part of the work are appropriately investigated and resolved. The study was conducted in accordance with the Declaration of Helsinki and its subsequent amendments. The study was approved by the Research Ethics Committee of Shenzhen Children’s Hospital and informed consent was obtained from all subjects’ guardians.
Open Access Statement: This is an Open Access article distributed in accordance with the Creative Commons Attribution-NonCommercial-NoDerivs 4.0 International License (CC BY-NC-ND 4.0), which permits the non-commercial replication and distribution of the article with the strict proviso that no changes or edits are made and the original work is properly cited (including links to both the formal publication through the relevant DOI and the license). See: https://creativecommons.org/licenses/by-nc-nd/4.0/.
References
- Stoltze U, Junk SV, Byrjalsen A, Cavé H, Cazzaniga G, Elitzur S, Fronkova E, Hjalgrim LL, Kuiper RP, Lundgren L, Mescher M, Mikkelsen T, Pastorczak A, Strullu M, Trka J, Wadt K, Izraeli S, Borkhardt A, Schmiegelow K. Overt and covert genetic causes of pediatric acute lymphoblastic leukemia. Leukemia 2025;39:1031-45. [Crossref] [PubMed]
- Siegel DA, Henley SJ, Li J, Pollack LA, Van Dyne EA, White A. Rates and Trends of Pediatric Acute Lymphoblastic Leukemia - United States, 2001-2014. MMWR Morb Mortal Wkly Rep 2017;66:950-4. [Crossref] [PubMed]
- Neaga A, Jimbu L, Mesaros O, Bota M, Lazar D, Cainap S, Blag C, Zdrenghea M. Why Do Children with Acute Lymphoblastic Leukemia Fare Better Than Adults? Cancers (Basel) 2021;13:3886. [Crossref] [PubMed]
- Alexander TC, Krull KR. Effects of chemotherapy for acute lymphoblastic leukemia on cognitive function in animal models of contemporary protocols: A systematic literature review. Neurosci Biobehav Rev 2021;129:206-17. [Crossref] [PubMed]
- Cheung YT, Sabin ND, Reddick WE, Bhojwani D, Liu W, Brinkman TM, Glass JO, Hwang SN, Srivastava D, Pui CH, Robison LL, Hudson MM, Krull KR. Leukoencephalopathy and long-term neurobehavioural, neurocognitive, and brain imaging outcomes in survivors of childhood acute lymphoblastic leukaemia treated with chemotherapy: a longitudinal analysis. Lancet Haematol 2016;3:e456-66. [Crossref] [PubMed]
- Wang L, Yao X, Yang L. Global, regional, and national burden of children and adolescents with acute lymphoblastic leukemia from 1990 to 2021: a systematic analysis for the global burden of disease study 2021. Front Public Health 2025;13:1525751. [Crossref] [PubMed]
- Knickmeyer RC, Gouttard S, Kang C, Evans D, Wilber K, Smith JK, Hamer RM, Lin W, Gerig G, Gilmore JH. A structural MRI study of human brain development from birth to 2 years. J Neurosci 2008;28:12176-82. [Crossref] [PubMed]
- Hermoye L, Saint-Martin C, Cosnard G, Lee SK, Kim J, Nassogne MC, Menten R, Clapuyt P, Donohue PK, Hua K, Wakana S, Jiang H, van Zijl PC, Mori S. Pediatric diffusion tensor imaging: normal database and observation of the white matter maturation in early childhood. Neuroimage 2006;29:493-504. [Crossref] [PubMed]
- Krull KR, Brinkman TM, Li C, Armstrong GT, Ness KK, Srivastava DK, Gurney JG, Kimberg C, Krasin MJ, Pui CH, Robison LL, Hudson MM. Neurocognitive outcomes decades after treatment for childhood acute lymphoblastic leukemia: a report from the St Jude lifetime cohort study. J Clin Oncol 2013;31:4407-15. [Crossref] [PubMed]
- Al-Fahad R, Yeasin M, Glass JO, Conklin HM, Jacola LM, Reddick WE. Early Imaging Based Predictive Modeling of Cognitive Performance Following Therapy for Childhood ALL. IEEE Access 2019;7:146662-74.
- van der Plas E, Modi AJ, Li CK, Krull KR, Cheung YT. Cognitive Impairment in Survivors of Pediatric Acute Lymphoblastic Leukemia Treated With Chemotherapy Only. J Clin Oncol 2021;39:1705-17. [Crossref] [PubMed]
- Peng L, Yam PP, Yang LS, Sato S, Li CK, Cheung YT. Neurocognitive impairment in Asian childhood cancer survivors: a systematic review. Cancer Metastasis Rev 2020;39:27-41. [Crossref] [PubMed]
- Wei K, Liang Y, Yang B, Liu L, Cao W, Li T, Wang R. An observational MRI study of methotrexate-treated children with acute lymphoblastic leukemia in remission and subtle cognitive decline. Quant Imaging Med Surg 2022;12:2474-86. [Crossref] [PubMed]
- Chinese Children’s Cancer Group. the Chinese Children’s Cancer Group-Acute Lymphoblastic Leukemia Multicenter Collaborative Group (2020); 2020. Available online: https://www.chictr.org.cn/showproj.html?proj=57512
- Zhao T, Liao X, Fonov VS, Wang Q, Men W, Wang Y, Qin S, Tan S, Gao JH, Evans A, Tao S, Dong Q, He Y. Unbiased age-specific structural brain atlases for Chinese pediatric population. Neuroimage 2019;189:55-70. [Crossref] [PubMed]
- Gaser C, Dahnke R, Thompson PM, Kurth F, Luders EThe Alzheimer’s Disease Neuroimaging Initiative. CAT: a computational anatomy toolbox for the analysis of structural MRI data. Gigascience 2024;13:giae049. [Crossref] [PubMed]
- Hosseini SM, Hoeft F, Kesler GAT SR. a graph-theoretical analysis toolbox for analyzing between-group differences in large-scale structural and functional brain networks. PLoS One 2012;7:e40709. [Crossref] [PubMed]
- Benjamini Y, Hochberg Y. Controlling the False Discovery Rate: A Practical and Powerful Approach to Multiple Testing. Journal of the Royal Statistical Society. Series B (Methodological) 2018;57:289-300.
- Rubinov M, Sporns O. Complex network measures of brain connectivity: uses and interpretations. Neuroimage 2010;52:1059-69. [Crossref] [PubMed]
- Wen J, Maxwell RR, Wolf AJ, Spira M, Gulinello ME, Cole PD. Methotrexate causes persistent deficits in memory and executive function in a juvenile animal model. Neuropharmacology 2018;139:76-84. [Crossref] [PubMed]
- Gaman AM, Uzoni A, Popa-Wagner A, Andrei A, Petcu EB. The Role of Oxidative Stress in Etiopathogenesis of Chemotherapy Induced Cognitive Impairment (CICI)-”Chemobrain Aging Dis 2016;7:307-17. [Crossref] [PubMed]
- Zhuang Y, Qian L, Wu L, Chen L, He F, Zhang S, Cheung GL, Zhou F, Gong H. Is Brain Network Efficiency Reduced in Young Survivors of Acute Lymphoblastic Leukemia?-Evidence from Individual-Based Morphological Brain Network Analysis. J Clin Med 2022;11:5362. [Crossref] [PubMed]
- Cole PD, Finkelstein Y, Stevenson KE, Blonquist TM, Vijayanathan V, Silverman LB, Neuberg DS, Sallan SE, Robaey P, Waber DP. Polymorphisms in Genes Related to Oxidative Stress Are Associated With Inferior Cognitive Function After Therapy for Childhood Acute Lymphoblastic Leukemia. J Clin Oncol 2015;33:2205-11. [Crossref] [PubMed]
- Quinn CT, Griener JC, Bottiglieri T, Hyland K, Farrow A, Kamen BA. Elevation of homocysteine and excitatory amino acid neurotransmitters in the CSF of children who receive methotrexate for the treatment of cancer. J Clin Oncol 1997;15:2800-6. [Crossref] [PubMed]
- Godoy PBG, Simionato NM, de Mello CB, Suchecki D. Assessment of Executive Functions after Treatment of Childhood Acute Lymphoid Leukemia: a Systematic Review. Neuropsychol Rev 2020;30:386-406. [Crossref] [PubMed]
- Xu P, Chen A, Li Y, Xing X, Lu H. Medial prefrontal cortex in neurological diseases. Physiol Genomics 2019;51:432-42. [Crossref] [PubMed]
- Kesler SR, Gugel M, Huston-Warren E, Watson C. Atypical Structural Connectome Organization and Cognitive Impairment in Young Survivors of Acute Lymphoblastic Leukemia. Brain Connect 2016;6:273-82. [Crossref] [PubMed]
- Wang L, Zou L, Chen Q, Su L, Xu J, Zhao R, Shan Y, Zhang Q, Zhai Z, Gong X, Zhao H, Tao F, Zheng S. Gray Matter Structural Network Disruptions in Survivors of Acute Lymphoblastic Leukemia with Chemotherapy Treatment. Acad Radiol 2020;27:e27-34. [Crossref] [PubMed]
- Zou L, Su L, Qi R, Bao F, Fang X, Wang L, Zhai Z, Li D, Zheng S. Abnormal topological organization in white matter structural networks in survivors of acute lymphoblastic leukaemia with chemotherapy treatment. Oncotarget 2017;8:60568-75. [Crossref] [PubMed]
- Bozkurt B, Yagmurlu K, Middlebrooks EH, Karadag A, Ovalioglu TC, Jagadeesan B, Sandhu G, Tanriover N, Grande AW. Microsurgical and Tractographic Anatomy of the Supplementary Motor Area Complex in Humans. World Neurosurg 2016;95:99-107. [Crossref] [PubMed]
- Cañas A, Juncadella M, Lau R, Gabarrós A, Hernández M. Working Memory Deficits After Lesions Involving the Supplementary Motor Area. Front Psychol 2018;9:765. [Crossref] [PubMed]
- Sjöberg RL, Stålnacke M, Andersson M, Eriksson J. The supplementary motor area syndrome and cognitive control. Neuropsychologia 2019;129:141-5. [Crossref] [PubMed]
- Bonini F, Burle B, Liégeois-Chauvel C, Régis J, Chauvel P, Vidal F. Action monitoring and medial frontal cortex: leading role of supplementary motor area. Science 2014;343:888-91. [Crossref] [PubMed]
- Dai G, Wang M, Li Y, Guo Z, Jones JA, Li T, Chang Y, Wang EQ, Chen L, Liu P, Chen X, Liu H. Continuous theta burst stimulation over left supplementary motor area facilitates auditory-vocal integration in individuals with Parkinson’s disease. Front Aging Neurosci 2022;14:948696. [Crossref] [PubMed]
- Dai G, Chen M, Chen X, Guo Z, Li T, Jones JA, Wu X, Li J, Liu P, Liu H, Liu D. A causal link between left supplementary motor area and auditory-motor control of vocal production: Evidence by continuous theta burst stimulation. Neuroimage 2022;264:119767. [Crossref] [PubMed]
- Triarhou LC. Cytoarchitectonics of the Rolandic operculum: morphofunctional ponderings. Brain Struct Funct 2021;226:941-50. [Crossref] [PubMed]
- Phillips NS, Kesler SR, Scoggins MA, Glass JO, Cheung YT, Liu W, Banerjee P, Ogg RJ, Srivastava D, Pui CH, Robison LL, Reddick WE, Hudson MM, Krull KR. Connectivity of the Cerebello-Thalamo-Cortical Pathway in Survivors of Childhood Leukemia Treated With Chemotherapy Only. JAMA Netw Open 2020;3:e2025839. [Crossref] [PubMed]
- Kesler SR, Ogg R, Reddick WE, Phillips N, Scoggins M, Glass JO, Cheung YT, Pui CH, Robison LL, Hudson MM, Krull KR. Brain Network Connectivity and Executive Function in Long-Term Survivors of Childhood Acute Lymphoblastic Leukemia. Brain Connect 2018;8:333-42. [Crossref] [PubMed]
- Zhou C, Zhuang Y, Lin X, Michelson AD, Zhang A. Changes in neurocognitive function and central nervous system structure in childhood acute lymphoblastic leukaemia survivors after treatment: a meta-analysis. Br J Haematol 2020;188:945-61. [Crossref] [PubMed]
- Chan SY, Ngoh ZM, Ong ZY, Teh AL, Kee MZL, Zhou JH, Fortier MV, Yap F, MacIsaac JL, Kobor MS, Silveira PP, Meaney MJ, Tan AP. The influence of early-life adversity on the coupling of structural and functional brain connectivity across childhood. Nature Mental Health 2024;2:52-62.
- Gandy K, Scoggins MA, Jacola LM, Litten M, Reddick WE, Krull KR. Structural and Functional Brain Imaging in Long-Term Survivors of Childhood Acute Lymphoblastic Leukemia Treated With Chemotherapy: A Systematic Review. JNCI Cancer Spectr 2021;5:pkab069. [Crossref] [PubMed]
- Goodlett CB, Fletcher PT, Gilmore JH, Gerig G. Group analysis of DTI fiber tract statistics with application to neurodevelopment. Neuroimage 2009;45:S133-42. [Crossref] [PubMed]
- Hearps S, Seal M, Anderson V, McCarthy M, Connellan M, Downie P, De Luca C. The relationship between cognitive and neuroimaging outcomes in children treated for acute lymphoblastic leukemia with chemotherapy only: A systematic review. Pediatr Blood Cancer 2017;64:225-33. [Crossref] [PubMed]

