Carotid intraplaque neovascularization for predicting ischemic cerebrovascular events in patients with hypertension
Introduction
The occurrence of ischemic cerebrovascular events (ICEs), including transient ischemic attack (TIA) or ischemic stroke, is closely related to the stability of carotid atherosclerotic plaques (1). Clinical studies have shown that the probability of carotid plaques is significantly higher among older adults with hypertension (2). Plaque progression and instability are associated with extensive intraplaque neovascularization (IPN), which increases the likelihood of plaque hemorrhage and rupture (2). Superb microvascular imaging (SMI) is a tool capable of accurately distinguishing blood flow status within tissue microvasculature. It was initially used to assess microvascular invasion in tumors to clarify tumor growth activity (3) and found to have advantages in assessing carotid plaque vulnerability. Studies have shown that SMI helps accurately reflect the low-velocity blood flow within plaques, enabling the visualization of the number and distribution of neovessels, which is beneficial for assessing plaque stability (4). Therefore, in this study, we selected patients with hypertension and carotid plaques treated in our hospital to examine the value of applying SMI in the assessment of IPN in carotid plaques and its relationship with cerebral infarction. The findings from this study may provide clinical data for supporting the prevention of cerebral infarction. We present this article in accordance with the STROBE reporting checklist (available at https://qims.amegroups.com/article/view/10.21037/qims-24-1888/rc).
Methods
Study design
We conducted a retrospective cohort study aimed to evaluate the association between IPN in carotid plaques and the occurrence of ICEs in patients with hypertension. We reviewed the clinical data and imaging results of patients with hypertension over the past 3 years, analyzing the relationship between plaque neovascularization and ischemic events.
Population
This retrospective study initially screened 478 patients with hypertension aged ≥60 years who visited Chengde Central Hospital between June 1, 2021 and May 31, 2023. The inclusion criteria were the following: (I) confirmed diagnosis of hypertension according to 2018 European Society of Cardiology (ESC) and European Society of Hypertension (ESH) guidelines (systolic blood pressure ≥140 mmHg and/or diastolic blood pressure ≥90 mmHg on at least two separate visits); (II) continuous antihypertensive therapy administered throughout the 3-year follow-up period, defined as adherence to regular oral antihypertensive medication as prescribed by a physician and documented clinic visits every 3–6 months; and (III) availability of complete clinical, imaging, and follow-up data. Meanwhile, the exclusion criteria were as follows: (I) severe cardiovascular or cerebrovascular diseases, including but not limited to recent (<6 months) myocardial infarction, congestive heart failure [New York Hear Association (NYHA) class III–IV], severe valvular heart disease, known cardiomyopathy, ischemic stroke, or intracerebral hemorrhage; (II) a history of carotid endarterectomy or stenting within the past year; or (III) missing or poor-quality carotid ultrasound data that precluded IPN grading. The study protocol was approved by the Institutional Ethics Committee of the Medical Ethics Committee of Chengde Central Hospital (approval No. CDCHLL2023-469) and was conducted in accordance with the Declaration of Helsinki and its subsequent amendments. All participants provided written informed consent prior to enrollment.
SMI examination
In this study, unstable plaques were defined according to the imaging characteristics observed on high-resolution ultrasound, including (I) an irregular or ulcerated plaque surface; (II) the presence of intraplaque hemorrhage; and (III) a high degree of IPN (grade 2 or 3). ICEs, such as TIA or acute ischemic stroke, were recorded as clinical outcomes and not used to define plaque instability. For the examination, a color Doppler ultrasound diagnostic device (HERA W10, Samsung, Korea) with a probe frequency of 9–14 MHz was used, with the patient positioned supine with the head turned to the contralateral side to fully expose the carotid artery. Initially, the conventional mode was employed to identify the target plaque location. After the largest plaque was determined, the examination parameters are adjusted to the SMI mode. The carotid artery, artery bifurcation, and carotid bulb were then scanned in transverse and longitudinal sections. The thickest part of the target plaque in the longitudinal section was selected, and the gray-scale mode was engaged for scanning. The scanning depth was set to 3 cm, with a duration of 60 seconds, for observation of the blood flow signals within the target plaque. SMI blood flow grading was classified into four levels (5): grade 0, no blood flow signal within the plaque; grade 1, one or several punctate blood flow enhancement signals within the plaque; grade 2, punctate or 1–3 linear blood flow enhancement signals within the plaque; and grade 3, multiple linear enhancement signals within the plaque, some traversing the entire plaque (Figure 1). In this experimental study, the measurements and recordings during the SMI examination were performed by a single physician with over 3 years of experience in vascular ultrasound examinations according to standardized operating procedures.
Follow-up study
Clinical data were collected retrospectively from the hospital’s electronic medical records. The follow-up period was 3 years. ICEs, including stroke and TIA, were documented through regular telephone interviews. All follow-up data were verified through patient contact. The clinical endpoints of the study were cerebrovascular events in the target carotid artery region or ipsilateral transient monocular blindness, including stroke or TIA. This study only evaluated events related to the target artery and continued follow-up after nonfatal events. Clinical endpoint symptoms were confirmed every 3 months through telephone interviews and verified via hospital records. Patients with a history of ischemic events were assessed by a radiologist (X.J.), and suspected cases were promptly examined by a neurologist. Stroke was considered ischemic after intracerebral hemorrhage was ruled out through neuroimaging. TIA was defined as a new onset of focal neurological dysfunction lasting less than 24 hours.
Statistical analysis
Statistical analysis was performed with SPSS software version 22.0 (IBM Corp., Armonk, NY, USA). Descriptive statistics were used to summarize the demographic and clinical characteristics of the study participants. Categorical variables are expressed as frequencies and percentages, and continuous variables are expressed as the mean ± standard deviation (SD). The chi-squared test was used for the comparison of categorical variables between groups, and the t-test or analysis of variance (ANOVA) was used to compare continuous variables between different groups. The association between IPN grading and the occurrence of ICEs was evaluated via logistic regression analysis. Odds ratios (ORs) and 95% confidence intervals (CIs) were calculated to assess the strength and direction of the association. Multivariate logistic regression analysis was performed to adjust for potential confounding factors such as age, gender, and other cardiovascular risk factors, including smoking, diabetes, and hyperlipidemia. A P value of less than 0.05 was considered statistically significant. All statistical tests were two-tailed.
Results
Characteristics of the study population
A total of 478 patients with hypertension aged 60 years or older who received treatment at Chengde Central Hospital between June 1, 2022 and May 31, 2024, were initially screened for eligibility. After predefined inclusion and exclusion criteria were applied, 40 patients were excluded due to a history of cerebrovascular disease, carotid surgery, severe systemic illness, or incomplete data. Ultimately, 438 patients were included in the final analysis, with 52% being male and 48% female, and the mean age was 67.4±8.3 years. The baseline characteristics of the study population are summarized in Table 1. The majority of participants had a history of hypertension for more than 5 years (75%) and were on antihypertensive medication during the study period. In terms of comorbidities, 40% had diabetes mellitus, 25% had hyperlipidemia, and 15% had a history of stroke or TIA (Table 1). During the follow-up period, 113 patients developed ICEs, while 201 patients did not (Figure 2).
Table 1
| Baseline characteristic | No event (n=201) | With event (n=113) | P value |
|---|---|---|---|
| Age (years) | 74.90 (8.22) | 75.13 (7.70) | 0.804 |
| Gender | 0.598 | ||
| Male | 109 (54.2) | 57 (50.4) | |
| Female | 92 (45.8) | 56 (49.6) | |
| Hypertension grade | 0.021 | ||
| Grade 1 | 60 (29.9) | 24 (21.2) | |
| Grade 2 | 62 (30.8) | 36 (31.9) | |
| Grade 3 | 79 (39.3) | 53 (46.9) | |
| IPN grade | 0.009 | ||
| Grade 0 | 84 (41.8) | 15 (13.3) | |
| Grade 1 | 51 (25.4) | 30 (26.5) | |
| Grade 2 | 45 (22.4) | 46 (40.7) | |
| Grade 3 | 21 (10.4) | 22 (19.5) | |
| Plaque features | 0.264 | ||
| Homogeneous echo | 23 (11.4) | 11 (9.7) | |
| Heterogeneous echo | 31 (15.4) | 10 (8.8) | |
| Low echo | 41 (20.4) | 18 (15.9) | |
| Isoechoic | 48 (23.9) | 29 (25.7) | |
| Mixed echo | 28 (13.9) | 19 (16.8) | |
| High echo | 18 (9.0) | 12 (10.6) | |
| Strong echo | 12 (6.0) | 14 (12.4) | |
| Plaque length (mm) | 20.63 (5.54) | 23.10 (5.98) | 0.051 |
| Plaque thickness (mm) | 5.21 (3.12) | 5.83 (3.22) | 0.075 |
| BMI (kg/m2) | 23.01 (3.72) | 23.20 (3.86) | 0.669 |
| Smoking history | 116 (57.7) | 56 (49.6) | 0.202 |
| Hyperlipidemia | 148 (73.6) | 91 (80.5) | 0.026 |
| Diabetes | 114 (56.7) | 56 (49.6) | 0.27 |
| Hyperuricemia | 70 (34.8) | 49 (43.4) | 0.169 |
| Homocysteine | 52 (25.9) | 40 (35.4) | 0.099 |
| Coronary disease | 58 (28.9) | 35 (31.0) | 0.79 |
| Heart failure | 25 (12.4) | 9 (8.0) | 0.301 |
| COPD | 17 (8.5) | 10 (8.8) | 0.991 |
| Digestive ulcer | 14 (7.0) | 12 (10.6) | 0.36 |
| Blood disorder | 6 (3.0) | 7 (6.2) | 0.282 |
| Liver dysfunction | 10 (5.0) | 6 (5.3) | 0.99 |
Measurement data are expressed as the mean and standard deviation; count data are expressed as the frequency and percentage. Use ANOVA for continuous measurement data; use χ2 test for categorical count data. ANOVA, analysis of variance; BMI, body mass index; COPD, chronic obstructive pulmonary disease; IPN, intraplaque neovascularization.
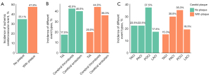
First, we compared patients with hypertension with and without carotid plaques and found that those with hypertension and carotid plaques had a significantly higher incidence of developing ICEs (47.8% vs. 35.1%; P<0.05) (Figure 3A). Although there were no significant differences in the types of ischemic events (TIA or ischemic stroke) or Oxfordshire Community Stroke Project (OCSP) classification (P>0.05) (Figure 3B,3C and Table S1). Additionally, patients with plaques had a higher probability of hyperlipidemia as compared to those without plaques (43.9% vs. 36%; P=0.018), while other baseline characteristics, including age, gender, and BMI, showed no significant differences (Table S1).
The patients with hypertension and carotid plaques were included in the study, and their baseline characteristics were analyzed (Table 1). The results showed significant differences between patients with and without ICEs in terms of hypertension grade (P=0.021), IPN grade (P=0.009), and prevalence of hyperlipidemia (77% vs. 61%; P=0.018). However, there were no significant differences in BMI, smoking history, or other comorbidities, including diabetes, hyperhomocysteinemia, hyperuricemia, coronary disease, heart failure, chronic obstructive pulmonary disease (COPD), digestive ulcer, blood disorder, and liver dysfunction.
Carotid plaque characteristics of patients with hypertension
As can be seen from the baseline characteristics summarized in Table 1, there were no significant differences in plaque length, plaque thickness, or plaque features based on echo signals among the study population (all P values >0.05). To further investigate the role of IPN in plaque vulnerability, IPN grading was performed based on the results of the SMI examination. The analysis revealed that higher IPN grades were associated with a greater severity of hypertension (Figure 3A and Table S2). Notably, patients who experienced ICEs had higher carotid IPN grades as compared to those who did not experience such events (1.3±0.6 vs. 0.7±0.4; P=0.009) (Figure 3B, Table 1). These findings support the value of using IPN grade in the prediction of ICEs among patients with hypertension.
Relationship between IPN grade and risk of ICEs
Based on the findings, we next examined the association between IPN and ICEs. Among the 314 patients with hypertension and carotid plaques included in the study, 15 patients had an IPN grade 0 group, accounting for 15.2% of the patients. The OR for this group was 0.57, indicating a negative correlation between IPN grade 0 and ICEs and suggesting that IPN grade 0 may serve as a protective factor. For patients with IPN grades 1, 2, and 3, the proportions of those who experienced ICEs were 30 (37.3%), 46 (50.5%), and 22 (51.2%), respectively. The corresponding OR values were 1.65, 3.73, and 5.14, all with P values <0.05. These results suggest that the presence of IPN (IPN >0) significantly increases the risk of ICEs. Moreover, a more extensive IPN (higher IPN grade) is associated with a greater risk of these events (Table 2 and Figure 4).
Table 2
| IPN grade | Cerebrovascular event, n (%) | Odds ratio | 95% CI | P value |
|---|---|---|---|---|
| IPN grade 0 | 15 (15.2) | 0.57 | 0.09–0.82 | <0.01 |
| IPN grade 1 | 30 (37.3) | 1.65 | 1.08–5.69 | 0.04 |
| IPN grade 2 | 46 (50.5) | 3.73 | 1.90–9.92 | 0.01 |
| IPN grade 3 | 22 (51.2) | 5.14 | 2.23–14.47 | 0.02 |
CI, confidence interval; IPN, intraplaque neovascularization.
IPN grade as a risk stratification tool for ICEs in patients with different hypertension grades
Given that hypertension grade is also an important risk factor for ICEs, we assessed the value of IPN grade in predicting ICEs in different hypertension grade groups. First, for the entire patient cohort, IPN grade had moderate ability in predicting ICEs, with an area under the curve (AUC) of 0.736 (Figure 5A). At a cutoff value of 0.42, the sensitivity and specificity for predicting ischemic events were 70.79% and 67.16%, respectively (Table 3).
Table 3
| Patients | AUC (95% CI) | Cutoff value | Sensitivity (%) | Specificity (%) |
|---|---|---|---|---|
| All patients | 0.736 (0.68–0.79) | 0.42 | 70.79 | 67.16 |
| Grade 1 hypertension | 0.667 (0.54–0.79) | 0.22 | 75.01 | 53.33 |
| Grade 2 hypertension | 0.782 (0.69–0.87) | 0.35 | 79.35 | 70.51 |
| Grade 3 hypertension | 0.659 (0.57–0.75) | 0.29 | 88.67 | 39.24 |
AUC, area under the curve; CI, confidence interval; IPN, intraplaque neovascularization.
Stratified by hypertension grade, patients with grade 2 hypertension demonstrated the highest AUC of 0.782, indicating good predictive performance (Figure 5B). In this group, the sensitivity and specificity were 79.35% and 70.51%, respectively. In contrast, the AUC values for patients with grade 1 and grade 3 hypertension were 0.667 and 0.659, respectively (Table 3). Grade 3 hypertension had the highest sensitivity (88.67%) but the lowest specificity (39.24%), indicating a higher false-positive rate (Table 3). Residual and predicted probability plots also indicated better performance and reliability of logistic regression models in grade 2 hypertension as compared to other grades (Figure S1). In summary, the IPN grade can be a useful predictor of ICEs, particularly in patients with grade 2 hypertension, where it provides the best balance between sensitivity and specificity.
Discussion
This study demonstrated that a high carotid IPN grade, as assessed by SMI, is significantly associated with an increased risk of ICEs in patients with hypertension. Notably, IPN grade was identified as an independent predictor of ICEs, with patients exceeding the predefined threshold of 0.42 in IPN scoring showing a markedly higher likelihood of experiencing cardiovascular events. Stratified analysis further indicated that the predictive value of the IPN grade varied according to the severity of hypertension, with the strongest predictive performance observed in patients with grade 2 hypertension. In this cohort, the IPN grade demonstrated the optimal balance between sensitivity and specificity. Collectively, these findings underscore the potential utility of carotid IPN, as assessed through SMI, as a clinically valuable tool for the risk stratification of ICEs in individuals with hypertension.
Studies have shown that carotid plaques strongly indicate the presence of plaques in other arteries, including cerebral arteries. Hollendar et al. studied the association between carotid plaques and cerebral infarction in asymptomatic older adults and demonstrated that regardless of plaque location, severe plaque increases the risk of nonlacunar infarction in anterior circulation (6). Moreover, the length, thickness, and acoustic characteristics of carotid plaques suggest the presence of cerebral artery plaques. Numerous studies have demonstrated that intima-media thickness is a significant predictor of ischemic stroke (7). Other research has found that echolucent carotid artery plaques are more frequently associated with symptoms and cerebral infarctions, suggesting they are unstable and likely to embolize (8). However, in this study, we did not find an association between the acoustic characteristics of these plaques and the outcome events. However, we did observe a higher prevalence of plaque thickness and length in patients with cerebrovascular events, which may be significant in an enlarged sample size.
In recent years, IPN has been identified as a critical factor influencing plaque stability, with significant implications for predicting the occurrence of ischemic cardiovascular and cerebrovascular events. Several studies have demonstrated the utility of IPN in forecasting such events. For example (9,10), Cui et al. demonstrated carotid IPN to be a predictive factor for future vascular events even in patients with mild-to-moderate carotid stenosis (11). Moreover, Yan et al. reported that IPN is not only associated with ischemic vascular events, but also poorer prognosis (12). These studies align well with our findings.
SMI is a novel form of clinical ultrasound detection technology that effectively compensates for the limitations of contrast-enhanced ultrasound and produces similar contrast effects. SMI is highly sensitive in imaging low-speed microvessels (tissue internal diameter >0.1 mm), offering broad application prospects (13). Studies have confirmed that the consistency of SMI in evaluating IPN in carotid plaques is comparable to that of contrast-enhanced ultrasound (14). Moreover, it has the benefits of convenience, noninvasiveness, and low cost. Therefore, in this study, we used the SMI technique for assessing IPN within carotid atherosclerotic plaques. This could facilitate the early detection and identification of vulnerable plaques, providing a basis for preventing ischemic stroke.
Strengths and limitations
This study investigated the relationship between IPN within carotid plaques and the incidence of ICEs in patients with hypertension, a subject of significant clinical importance. Notably, the study introduced the innovative application of SMI, providing a noninvasive, cost-effective method for assessing plaque stability. Our study included a robust sample size of 438 older patients with hypertension, a well-defined methodology, clear inclusion and exclusion criteria, standardized SMI examination procedures, and comprehensive follow-up protocols. The statistical analysis was rigorous, consisting of advanced techniques such as logistic regression and receiver operating characteristic (ROC) curves, which strengthened the validity of the findings. The results demonstrated that IPN score can serve as an independent predictor of ICEs in patients with hypertension, with particularly high predictive accuracy observed in patients with grade 2 hypertension. These findings have implications for clinical practice and patient management. However, this study also involved several limitations. First, as a single-center study, its findings may not be fully generalizable to other populations. Second, the nonrandomized design potentially introduced selection bias, which could affect the internal validity of the results. Although the study employed detailed exclusion criteria, unmeasured confounding factors, such as genetic influences, lifestyle factors, and adherence to hypertension management, remain a concern. The relatively short follow-up period might have also limited the ability to capture all relevant cerebrovascular events. Furthermore, while the study highlights the application of SMI, it did not directly compare this imaging technique with other established methods, which could provide valuable insight into its relative efficacy. Overall, while this study offers valuable insights into the role of IPN in predicting ICEs in patients with hypertension, future research should address these limitations to further validate and expand upon these findings.
Conclusions
A higher IPN grade is significantly associated with an increased risk of ICEs in older adult patients with hypertension and carotid plaques. The IPN grade can serve as an independent predictor of ICEs in these patients, showing particularly higher predictive ability in those with grade 2 hypertension. Carotid IPN assessed by SMI is an effective clinical tool that aids in predicting ICEs among patients with hypertension.
Acknowledgments
None.
Footnote
Reporting Checklist: The authors have completed the STROBE reporting checklist. Available at https://qims.amegroups.com/article/view/10.21037/qims-24-1888/rc
Data Sharing Statement: Available at https://qims.amegroups.com/article/view/10.21037/qims-24-1888/dss
Funding: This study was supported by
Conflicts of Interest: All authors have completed the ICMJE uniform disclosure form (available at https://qims.amegroups.com/article/view/10.21037/qims-24-1888/coif). The authors have no conflicts of interest to declare.
Ethical Statement: The authors are accountable for all aspects of the work in ensuring that questions related to the accuracy or integrity of any part of the work are appropriately investigated and resolved. The study protocol was approved by the institutional ethics committee of Medical Ethics Committee of Chengde Central Hospital (No. CDCHLL2023-469) and conducted in accordance with the Declaration of Helsinki and its subsequent amendments. All participants provided written informed consent prior to enrollment.
Open Access Statement: This is an Open Access article distributed in accordance with the Creative Commons Attribution-NonCommercial-NoDerivs 4.0 International License (CC BY-NC-ND 4.0), which permits the non-commercial replication and distribution of the article with the strict proviso that no changes or edits are made and the original work is properly cited (including links to both the formal publication through the relevant DOI and the license). See: https://creativecommons.org/licenses/by-nc-nd/4.0/.
References
- Zhang L, Jia C, Gu S, Chen J, Wu R. Intraplaque neovascularization combined with plaque elasticity for predicting ipsilateral stroke in patients with asymptomatic mild carotid stenosis. Quant Imaging Med Surg 2024;14:4815-24. [Crossref] [PubMed]
- van Lammeren GW, Reichmann BL, Moll FL, Bots ML, de Kleijn DP, de Vries JP, Pasterkamp G, de Borst GJ. Atherosclerotic plaque vulnerability as an explanation for the increased risk of stroke in elderly undergoing carotid artery stenting. Stroke 2011;42:2550-5. [Crossref] [PubMed]
- Zeng P, Zhang Q, Liang X, Zhang M, Luo D, Chen Z. Progress of Ultrasound Techniques in the Evaluation of Carotid Vulnerable Plaque Neovascularization. Cerebrovasc Dis 2024;53:479-87. [Crossref] [PubMed]
- Hou C, Xuan JQ, Zhao L, Li MX, He W, Liu H. Comparison of the diagnostic performance of contrast-enhanced ultrasound and high-resolution magnetic resonance imaging in the evaluation of histologically defined vulnerable carotid plaque: a systematic review and meta-analysis. Quant Imaging Med Surg 2024;14:5814-30. [Crossref] [PubMed]
- Zhang LW, Shen X, Wang YC, Liu HQ, Luo B, Zhang T. The value of carotid plaque SMI grade combined with serum homocysteine in predicting progressive ischemic stroke. Chinese Journal of Ultrasound in Medicine 2022;38:125-8.
- Hollander M, Bots ML, Del Sol AI, Koudstaal PJ, Witteman JC, Grobbee DE, Hofman A, Breteler MM. Carotid plaques increase the risk of stroke and subtypes of cerebral infarction in asymptomatic elderly: the Rotterdam study. Circulation 2002;105:2872-7. [Crossref] [PubMed]
- Rahman SS, Bhattacharjee M, Ahmed F, Mia E, Saiduzzaman M, Bhuiyan SI, Linckon MK, Khan PA, Hossain S. Relationship of Intima-Media Thickness of Common Carotid Artery in Acute Ischemic Stroke. Mymensingh Med J 2025;34:759-64.
- Ni T, Fu Y, Zhou W, Chen M, Shao J, Zhou W, Mao E, Chen E. Carotid plaques and neurological impairment in patients with acute cerebral infarction. PLoS One 2020;15:e0226961. [Crossref] [PubMed]
- Mantella LE, Colledanchise KN, Hétu MF, Feinstein SB, Abunassar J, Johri AM. Carotid intraplaque neovascularization predicts coronary artery disease and cardiovascular events. Eur Heart J Cardiovasc Imaging 2019;20:1239-47. [Crossref] [PubMed]
- Cui L, Xing Y, Wang L, Chen H, Chen Y. Intraplaque neovascularisation is associated with ischaemic events after carotid artery stenting: an observational prospective study. Ther Adv Neurol Disord 2023;16:17562864221141133. [Crossref] [PubMed]
- Cui L, Xing Y, Zhou Y, Wang L, Liu K, Zhang D, Chen Y. Carotid intraplaque neovascularisation as a predictive factor for future vascular events in patients with mild and moderate carotid stenosis: an observational prospective study. Ther Adv Neurol Disord 2021;14:17562864211023992. [Crossref] [PubMed]
- Yan H, Wu X, He Y, Staub D, Wen X, Luo Y. Carotid Intraplaque Neovascularization on Contrast-Enhanced Ultrasound Correlates with Cardiovascular Events and Poor Prognosis: A Systematic Review and Meta-analysis. Ultrasound Med Biol 2021;47:167-76. [Crossref] [PubMed]
- Fu Z, Zhang J, Lu Y, Wang S, Mo X, He Y, Wang C, Chen H. Clinical Applications of Superb Microvascular Imaging in the Superficial Tissues and Organs: A Systematic Review. Acad Radiol 2021;28:694-703. [Crossref] [PubMed]
- Zhu YC, Jiang XZ, Bai QK, Deng SH, Zhang Y, Zhang ZP, Jiang Q. Evaluating the Efficacy of Atorvastatin on Patients with Carotid Plaque by an Innovative Ultrasonography. J Stroke Cerebrovasc Dis 2019;28:830-7. [Crossref] [PubMed]


