The capacity of subtraction CT iodine maps to improve the differentiation of solitary pulmonary nodules
Introduction
Solitary pulmonary nodules (SPNs) are defined as isolated, round, or oval areas of increased opacity less than or equal to 3 cm in diameter surrounded by lung parenchyma and should not be associated with atelectasis, pulmonary hilar enlargement, or pleural effusion (1). Early characterization of incidental nodules could be an opportunity to reduce negative biopsies and start treatment earlier, as well as increase survival (2-4), but the diagnosis and management of SPNs are a common and costly challenge in clinical daily routine (5-7). Conventional computed tomography (CT) plays an important role in capturing the morphological and enhancement features of SPNs. However, currently, the differentiation of SPNs is still challenging due to atypical imaging characteristics, small size, and so on (8). In addition to morphological features, enhancement of SPNs after contrast medium injection is also considered for differentiation. Clinicians roughly calculate CT value variations between different phases to diagnose SPNs, which might lead to equivocal diagnoses (8,9).
With the development of CT technologies, both dual-energy CT (DECT) and subtraction CT (SCT) can be used to evaluate iodine deposition, which is more stable and accurate for quantifying contrast enhancement in soft tissue (10-12). SCT involves the subtraction of an unenhanced pre-injection CT image from an enhanced post-injection CT image to obtain an iodine distribution map (13). The advanced deformable registration algorithm of SCT could compensate for respiratory and cardiac motion with a median residual error below 1 mm, which is smaller than the voxel size (14). Several studies have indicated that iodine maps created with SCT are similar to those created with DECT, but that SCT shows a higher contrast-to-noise ratio (CNR) than DECT and a lower radiation dose, and can avoid partial lung volume effects and beam-hardening artefacts (15,16). Grob et al. investigated the diagnostic performance of SCT in pulmonary embolism (PE) patients and showed sensitivity (70%, 91%) and specificity (95%, 100%) with acceptable 95% confidence intervals (13). Additionally, SCT has been shown to better depict iodine enhancement in pulmonary nodules compared with DECT (17). Grob et al. found that mean nodule enhancement was significantly higher at SCT and offered better visualization of nodules than DECT (17). Nevertheless, no study has yet investigated subtraction iodine mapping for SPN differentiation; therefore, our aim was to evaluate differential diagnostic performance using quantitative values from the SCT iodine map for SPNs with pathological results. We present this article in accordance with the STARD reporting checklist (available at https://qims.amegroups.com/article/view/10.21037/qims-2025-1083/rc).
Methods
Patients
The study was conducted in accordance with the Declaration of Helsinki and its subsequent amendments. The study was approved by the Institutional Review Board of Renji Hospital (No. LY2023-036-B) and informed consent was provided by all individual participants. Patients who were suspected of having SPNs and underwent SCT scans from June 2023 to October 2024 were considered for further enrolment. Patients who met the following criteria were included: (I) age ≥18 years; (II) the presence of solid SPNs with diameters between 4 and 30 mm (diameter was defined as the maximum diameter on the conventional thin-section CT scan with a lung window setting); (III) pathological confirmation of tumor characteristics; (IV) no contraindications to the administration of iodinated contrast material; (V) the ability to participate in breathing control cooperatively; and (VI) successful subtraction of images. The exclusion criteria included number of nodules >1, a history of advanced malignancy, and missing data. A detailed flow chart of recruitment is shown in Figure 1.
SCT protocols
All patients underwent a dedicated chest SCT enhanced scan protocol, including the non-contrast-enhanced phase (NC), arterial enhanced phase (AP), and venous enhanced phase (VP), for further subtraction postprocessing. Patients were scanned on a 320-row detector CT system (Aquilion ONE VISION Edition, Canon Medical Systems, Tokyo, Japan). Both NC and enhanced scans (AP and VP) are acquired during a shallow breath-hold. The region of interest (ROI) was placed on the descending aorta, approximately 1 cm below the carina. After reaching the threshold of 180 Hounsfield units (HU), there was a 5-second scan delay for AP scanning, and then VP scanning was performed 60 seconds after contrast medium injection. Nonionic contrast media (ioversol 370 mgI/mL, GE Healthcare, Chicago, IL, USA) at a dose of 1 mL/kg was injected by using a pressure injector at a rate of 3.0 mL/s via antecubital venous injection, followed by 20 mL of saline at the same rate. The scanning parameters were as follows: tube voltage of 100 kVp, automatic exposure control (index 28) for tube current, scan with 80 mm × 0.5 mm collimation, pitch 0.8, and rotation time 0.275 seconds. The slice thickness was 1 mm with 0.8 mm increments, and the scan range was from the apex to the base of the lung.
Image quantitative analysis
Both AP or VP images and NC images were exported into SURESubtraction Lung software (Canon Medical Systems) to generate the subtraction iodine map of AP (SubA) and subtraction iodine map of VP (SubV) automatically. The CT values derived from the SubA and SubV images were used to quantify iodine concentration, employing a precise deformable registration algorithm (14). Two radiologists (Z.Z.G. and S.Q.) with 5 years of experience in chest CT, who were blind to the pathological findings of nodules, evaluated and measured five serial images independently (NC, AP, VP, SubA, and SubV). Interobserver agreement for quantitative variables was assessed from the two independent reads using a two-way random-effects, absolute-agreement intraclass correlation coefficient (ICC). For downstream analyses, quantitative variables were averaged across readers. A circular ROI that avoided cavity, calcification, and blood vessels was placed on the slice with maximum cross-sectional area of the lung nodules, covering 80% of this area across the five serial images. ROIs were copied and pasted on the five serial images. The mean CT value and standard deviation (SD) of the ROIs on the five images measured by the two radiologists were recorded for further statistical analysis. In routine clinical practice, radiologists apply CT value variation between two phases, for example, to diagnose nodule type using the CT value differences between AP images and the CT value of nodules on VP images (9). Hence, to mimic the routine clinical assessment of SPNs, CT value shifts between different phases were directly calculated by subtracting the CT value in one phase from that in the other phase; specifically, VP-AP, AP-NC, VP-NC, and SubV-SubA corresponded to the CT value of nodules on venous images minus the value on artery images, the CT value on artery images minus the value on NC images, the CT value on venous images minus the value on NC images, and the CT value on SubV images minus the value on SubA images, respectively. Therefore, in total, there were nine metrics (NC, AP, VP, SubA, SubV, VP-AP, AP-NC, VP-NC, SubV-SubA) of CT values of SPNs for further statistical analysis.
Image qualitative analysis
Two seasoned radiologists, each with 7 years of expertise in chest imaging (W.D.Q. and T.X.S.) who were blind to the pathological findings of nodules, collaboratively analyzed the CT scans using a Picture Archiving and Communication System (PACS) workstation (Vue PACS, Carestream, Rochester, NY, USA). Any discrepancies were addressed through discussion until a mutual agreement was achieved. CT images were reviewed on lung (window width 1,400 HU; window level −400 HU) and mediastinal (window width 400 HU; window level 40 HU) windows. For each nodule, the following were recorded: (I) border definition (well-defined vs. ill-defined, i.e., partially or completely blurred); (II) margin features—lobulation (classified as deep when the ratio of chord height to chord length at the most pronounced curvature was ≥2/5, otherwise shallow) and spiculation (present/absent); (III) internal features—air-space (round/oval intranodular air attenuation), air bronchogram (branching or tubular intranodular air), and bronchial truncation at the nodule edge; and (IV) external features—pleural tag sign; pleural attachment (abutting pleura with the pleural interface obscured); perifocal fibrosis (lesion-related or pre-existing); satellite lesions (within ≤3 cm of the index nodule); halo sign (ill-defined perinodular ground-glass opacity); and vascular convergence (vessels converging toward the nodule).
Statistical analysis
The software R 4.4.1 (R Foundation for Statistical Computing, Vienna, Austria) was used to analyze the nine CT metrics. Continuous variables were tested for normality (Kolmogorov-Smirnov test) and reported as mean ± SD or median [interquartile range (IQR)]; categorical variables were reported as counts and percentages. The ICC was used to evaluate interobserver reliability. One-way analysis of variance (ANOVA) or the Kruskal-Wallis test as appropriate were used to analyze the significant differences in the nine metrics among the different types of SPNs. Post-hoc pairwise comparisons adjusted by the Bonferroni method were used to analyze the significant differences in each two groups. Receiver operating characteristic (ROC) curve analysis was performed to determine the diagnostic effectiveness on morphological characteristics only, SCT metrics only, and combined models of morphological characteristics and SCT metrics. DeLong method was used to test the statistical difference between the ROC of morphological characteristics and that of the combined model. Threshold values were determined by using ROC curves to optimize both the sensitivity and the specificity with Youden’s index. A P value <0.05 was considered a significant difference.
Results
Patients
In total, 91 patients (age: mean 56±8.8 years, range from 36 to 78 years; 30 male, 61 female) with 91 SPNs (mean diameter 15.23±8.04 mm) underwent dedicated contrast-enhanced SCT scan and tracheal-bronchial biopsy (transbronchial or percutaneous) or nodule resection by video-assisted thoracic surgery or follow-up CT to confirm the SPN classification (Table 1). For all nodules, final diagnoses were subsequently confirmed by video-assisted thoracoscopic surgery (n=31) and CT-guided percutaneous or transbronchial biopsy (n=52). If a nodule demonstrates a stable size for more than 2 years when compared with prior radiographs, it has a high likelihood of being benign, and no further assessment is recommended (18). In this study, eight nodules demonstrated a stable size for more than 2 years compared with prior CT scans (n=8). There were three groups of SPNs included in this study: the malignant group (n=44, mean diameter 15.82±9.41 mm, range from 7 to 30 mm), which is composed of adenocarcinoma (n=39), squamous cell carcinoma (n=3), microinvasive adenocarcinoma (n=2); the benign group (n=25, mean diameter 17.58±7.26 mm, range from 10 to 28 mm), which included hamartoma (n=6), granuloma (n=6), sclerosing hemangioma (n=2), carcinoid (n=1), and fibroma (n=2), with eight patients regarded as benign for demonstrating a stable size for more than 2 years in comparison with prior radiographs; and the pulmonary inflammatory group (n=22, mean diameter 9.14±6.33 mm), which is defined as SPNs that disappear after anti-inflammatory therapy (n=15), with seven patients confirmed as having this type via histological examination. The morphological features of SPNs were systematically evaluated. A well-defined border was observed in the majority of lesions (68/91, 75%), whereas 23 lesions (25%) exhibited ill-defined margins. Regarding lesion margin, lobulation was present in 28 nodules (31%), and spiculation was observed in 22 (24%). Internal characteristics included air-space presence in 7 nodules (8%), air bronchograms in 12 (13%), and bronchial truncation in 3 (3%). External morphological signs were also assessed: pleural tag sign was detected in 23 nodules (25%), pleural attachment in 6 (7%), perifocal fibrosis in 8 (9%), and satellite lesions in 3 (3%). Additionally, halo sign was present in 32 nodules (35%), and vascular convergence sign was noted in 17 cases (19%) (Table 1).
Table 1
| Characteristics | Data |
|---|---|
| Total | 91 |
| Gender | |
| Male | 30 |
| Female | 61 |
| Age (years) | 56±8.8 |
| Nodules (mm) | |
| Total | 91 (15.23±8.04) |
| Malignant nodule | 44 (15.82±9.41) |
| Benign nodule | 25 (17.58±7.26) |
| Inflammatory nodule | 22 (9.14±6.33) |
| Pathways to confirm pathological findings | |
| Confirmed by a video-assisted thoracic surgery | 31 |
| Confirmed by CT-guided percutaneous or transbronchial biopsy | 52 |
| Confirmed by follow-up CT | 8 |
| Border definition | |
| Well-defined | 68 [75] |
| Ill-defined | 23 [25] |
| Margin | |
| Lobulation | 28 [31] |
| Spiculation | 22 [24] |
| Internal characteristics | |
| Air-space | 7 [8] |
| Air bronchogram | 12 [13] |
| Bronchial truncation | 3 [3] |
| External characteristics | |
| Pleural tag sign | 23 [25] |
| Pleural attachment | 6 [7] |
| Perifocal fibrosis | 8 [9] |
| Satellite lesions | 3 [3] |
| Halo sign | 32 [35] |
| Vascular convergence sign | 17 [19] |
Data are presented as n, mean ± SD, n (mean ± SD), or n [%]. CT, computed tomography; SD, standard deviation.
Radiation dose
For the radiation dose, the mean dose-length product (DLP) was 145 mGy∙cm for the three phases, with a mean DLP of 35 mGy∙cm for the unenhanced scan and of 121 mGy∙cm for the two enhanced scans. The mean effective dose was 2.1 mSv, which was calculated from the total mean DLP multiplied by 0.0146 mSv (mGy∙cm).
ICC
The ICCs of nine CT value metrics (NC, AP, VP, SubA, SubV, VP-AP, AP-NC, VP-NC, SubV-SubA) were 0.89, 0.93, 0.943, 0.975, 0.912, 0.411, 0.536, 0.383, and 0.915, respectively (all P<0.05). The agreement between the two observers for NC, AP, VP, SubA, SubV, and SubV-SubA was higher (all ICCs ≥0.89) than the agreement between conventional CT value metrics for VP-AP, AP-NC, and VP-NC (all ICCs ≤0.536) (Table 2).
Table 2
| CT metrics | ICC | P value |
|---|---|---|
| AP | 0.93 | <0.0001 |
| SubA | 0.975 | <0.0001 |
| VP | 0.943 | <0.0001 |
| SubV | 0.912 | <0.0001 |
| NC | 0.890 | <0.0001 |
| AP-NC | 0.536 | <0.0001 |
| VP-NC | 0.383 | 0.012 |
| VP-AP | 0.411 | 0.006 |
| SubV-SubA | 0.915 | <0.0001 |
AP, arterial enhanced phase; CT, computed tomography; ICC, intraclass correlation coefficient; NC, non-contrast-enhanced phase; SubA, subtraction iodine map of AP; SubV, subtraction iodine map of VP; VP, venous enhanced phase.
CT values and SD differences for different SPNs types
The mean CT value of nine metrics and the SD value of five derived metrics were calculated for the malignant, benign, and inflammatory groups to assess potential differences. Subsequent pairwise comparisons were performed to determine the statistical significance of these differences (Figure 2).
Significant differences were observed between the malignant and benign groups for several key metrics. Specifically, the mean values of NC, AP, SubA, and SubV in the malignant group were found to be statistically different from those in the benign group (−134.5±197.4 vs. 17.6±25.8 HU; −131.1±204.5 vs. 11.3±39.8 HU; 34.5±16.6 vs. 21.18±11.1 HU; 45.4±15.5 vs. 30.5±24.5 HU, respectively; all P<0.05).
When comparing the benign group with the inflammatory group, the mean values of NC, AP, SubA, and SubV in the inflammatory group were also found to be statistically different from those in the benign group (−123.1±180.2 vs. 17.6±25.8 HU; −103.9±157.2 vs. 11.3±39.8 HU; 43.9±10.7 vs. 21.2±11.1 HU; 50.1±15.1 vs. 30.5±24.5 HU, respectively; all P<0.05).
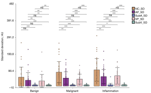
Furthermore, most metrics did not show significant differences when comparing the malignant group with the inflammatory group. However, the SubA metric demonstrated a statistically significant difference between these two groups (34.5±16.6 vs. 43.9±10.7 HU, P<0.05). Notably, although the mean of SubA showed a trend towards difference among the benign group, malignant group, and inflammatory group (21.2±11.1 vs. 34.5±16.6 vs. 43.9±10.7 HU, respectively; all P<0.05). The analysis of manual metrics (e.g., AP-NC, VP-NC, VP-AP, SubV-SubA) showed no statistically significant difference among the three groups (all P>0.05) (Figure 3).
In the SD difference analysis of five parameters on three types of nodules, SubA and SubV exhibited the lowest SD values among the three types, suggesting that SCT images are more stable (Figure 4).
Diagnostic performance for SPN differentiation
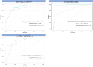
For differentiation of inflammatory nodules from malignant nodules, the CT value of SubA showed the highest diagnostic efficacy, with a sensitivity of 60%, specificity of 84%, positive predictive value (PPV) of 88%, negative predictive value (NPV) of 53%, accuracy of 68%, area under the curve (AUC) of 0.69, and cut-off of 38.05 HU. For the differentiation of malignant and benign nodules, the CT value of SubA had the highest diagnostic efficiency, with a sensitivity of 51%, specificity of 95%, PPV of 96%, and NPV of 44%; the accuracy was 64%, the AUC was 0.77, and the cut-off was 34.68 HU. The best performance of SubA was observed when differentiating benign nodules from inflammatory nodules, with a sensitivity of 88%, specificity of 95%, PPV of 96%, NPV of 86%, accuracy of 91%, AUC of 0.95, and cut-off of 35.03 HU with 80% ROI measurement (Table 3, Figure 5).
Table 3
| CT values | AUC | Cut-off (HU) | Specificity | Sensitive | Accuracy | NPV | PPV | P value |
|---|---|---|---|---|---|---|---|---|
| Inflammatory vs. benign | ||||||||
| NC | 0.76 | 11.30 | 0.68 | 0.76 | 0.73 | 0.68 | 0.76 | 0.003 |
| AP | 0.75 | −46.82 | 0.95 | 0.52 | 0.70 | 0.60 | 0.93 | 0.007 |
| SubA | 0.95 | 35.03 | 0.95 | 0.88 | 0.91 | 0.86 | 0.96 | 0.000 |
| VP | 0.63 | −30.23 | 0.95 | 0.40 | 0.64 | 0.55 | 0.91 | 0.159 |
| SubV | 0.81 | 32.9 | 0.63 | 0.92 | 0.80 | 0.86 | 0.77 | 0.001 |
| AP-NC | 0.60 | −11.52 | 0.79 | 0.48 | 0.61 | 0.54 | 0.75 | 0.260 |
| VP-NC | 0.52 | 18.48 | 0.74 | 0.52 | 0.61 | 0.54 | 0.72 | 0.767 |
| VP-AP | 0.64 | 4.61 | 0.53 | 0.80 | 0.68 | 0.67 | 0.69 | 0.126 |
| SubV-SubA | 0.53 | 4.875 | 0.37 | 0.84 | 0.64 | 0.64 | 0.64 | 0.740 |
| Inflammatory vs. malignant | ||||||||
| NC | 0.56 | −107.67 | 0.76 | 0.45 | 0.56 | 0.42 | 0.78 | 0.372 |
| AP | 0.56 | −131.88 | 0.76 | 0.47 | 0.57 | 0.43 | 0.79 | 0.432 |
| SubA | 0.69 | 38.05 | 0.84 | 0.60 | 0.68 | 0.53 | 0.88 | 0.007 |
| VP | 0.60 | −278.45 | 0.96 | 0.25 | 0.50 | 0.41 | 0.92 | 0.183 |
| SubV | 0.65 | 54.13 | 0.52 | 0.77 | 0.68 | 0.54 | 0.75 | 0.037 |
| AP-NC | 0.56 | 4.16 | 0.68 | 0.49 | 0.56 | 0.41 | 0.74 | 0.359 |
| VP-NC | 0.50 | −9.56 | 0.36 | 0.79 | 0.64 | 0.47 | 0.70 | 0.976 |
| VP-AP | 0.56 | 30.73 | 0.44 | 0.74 | 0.64 | 0.48 | 0.71 | 0.398 |
| SubV-SubA | 0.56 | −11.025 | 0.68 | 0.53 | 0.58 | 0.46 | 0.76 | 0.372 |
| Benign vs. malignant | ||||||||
| NC | 0.77 | −41.11 | 0.95 | 0.53 | 0.65 | 0.45 | 0.96 | 0.001 |
| AP | 0.72 | −43.15 | 0.95 | 0.55 | 0.67 | 0.46 | 0.96 | 0.005 |
| SubA | 0.77 | 34.68 | 0.95 | 0.51 | 0.64 | 0.44 | 0.96 | 0.001 |
| VP | 0.69 | −71.74 | 1 | 049 | 0.64 | 0.44 | 1 | 0.016 |
| SubV | 0.71 | 32.22 | 0.64 | 0.87 | 0.80 | 0.67 | 0.85 | 0.006 |
| AP-NC | 0.52 | −10.37 | 0.79 | 0.47 | 0.566 | 0.38 | 0.85 | 0.815 |
| VP-NC | 0.56 | 19.56 | 0.74 | 0.57 | 0.62 | 0.41 | 0.84 | 0.440 |
| VP-AP | 0.57 | 4.92 | 0.53 | 0.70 | 0.65 | 0.42 | 0.79 | 0.392 |
| SubV-SubA | 0.57 | 2.3 | 0.42 | 0.83 | 0.71 | 0.5 | 0.78 | 0.354 |
AP, arterial enhanced phase; AUC, area under the curve; CT, computed tomography; HU, Hounsfield units; NC, non-contrast-enhanced phase; NPV, negative predictive value; PPV, positive predictive value; ROC, receiver operating characteristic; SubA, subtraction iodine map of AP; SubV, subtraction iodine map of VP; VP, venous enhanced phase.
For distinguishing inflammatory from benign nodules, the model incorporating morphological features and SubA demonstrated a substantially higher AUC of 0.95 compared with 0.80 for morphological features alone. The combined model achieved high specificity (0.96), sensitivity (0.95), and overall accuracy (0.95). The improvement in diagnostic performance was statistically significant (DeLong P<0.05).
When differentiating inflammatory from malignant lesions, the combined model also showed superior performance, with an AUC of 0.88 vs. 0.83 for morphological features alone. Sensitivity improved notably from 0.78 to 0.87, with accuracy increasing from 0.79 to 0.85. The difference was statistically significant (DeLong P<0.05).
For benign vs. malignant lesions, the addition of SubA led to a marked increase in AUC from 0.82 to 0.92. The specificity improved substantially from 0.85 to 0.98, whereas the PPV increased from 0.92 to 0.97. Despite a reduction in sensitivity (from 0.77 to 0.68), the combined model maintained comparable overall accuracy (0.78). Again, this difference reached statistical significance (DeLong P<0.05) (Figure 6). Overall, integrating subtraction iodine maps into morphological assessment significantly enhanced the discrimination of inflammatory, benign, and malignant nodules, particularly by improving specificity and AUC values (Table 4).
Table 4
| Models | AUC | Specificity | Sensitive | Accuracy | NPV | PPV | P for DeLong test |
|---|---|---|---|---|---|---|---|
| Inflammatory vs. benign | <0.05 | ||||||
| Morphological features | 0.80 | 0.95 | 0.90 | 0.93 | 0.92 | 0.94 | |
| Morphological features + SubA | 0.95 | 0.96 | 0.95 | 0.95 | 0.96 | 0.95 | |
| Inflammatory vs. malignant | <0.05 | ||||||
| Morphological features | 0.83 | 0.79 | 0.78 | 0.79 | 0.66 | 0.88 | |
| Morphological features + SubA | 0.88 | 0.79 | 0.87 | 0.85 | 0.76 | 0.89 | |
| Benign vs. malignant | <0.05 | ||||||
| Morphological features | 0.82 | 0.85 | 0.77 | 0.79 | 0.60 | 0.92 | |
| Morphological features + SubA | 0.92 | 0.98 | 0.68 | 0.78 | 0.57 | 0.97 |
AP, arterial enhanced phase; AUC, area under the curve; NPV, negative predictive value; PPV, positive predictive value; ROC, receiver operating characteristic; SubA, subtraction iodine map of AP.
Discussion
This study evaluated the diagnostic performance of the quantitative value of iodine maps from lung SCT for SPNs compared with conventional routine clinical measurements. The above results indicated that the CT value metrics of SCT, especially the CT value of the SubA iodine map with the lowest deviation, showed the best performance for differentiating SPNs and incremental value for morphological assessment, which improved the diagnostic accuracy of SPNs.
Measuring the enhancement degree of pulmonary tumors, which is directly related to the vascularity and distribution of intravascular and extracellular spaces, has been shown to be helpful in distinguishing malignancy from benignity in dynamic contrast-enhanced CT due to the distinct differences in the vascularity and vasculature between benign and malignant lesions (19,20). However, previous studies have shown lower specificity or overlapping enhancement characteristics when distinguishing between malignant and benign nodules on conventional CT (21,22). Several studies have showed that iodine concentrations on iodine images are significantly different between inflammatory and malignant lung masses by DECT (23,24). SCT has been shown to have a better ability to depict iodine enhancement in pulmonary nodules than DECT (17). Moreover, the differences in iodine concentration among inflammatory, benign, and malignant tumors have not been evaluated using SCT thus far. In our study, we found that the CT values of SubA were significantly different among three groups, and the combined model showed a substantial increment in the differential diagnosis of three groups when compared to morphological models alone. This may add a new reference method to decision-making in daily clinical work.
Our study showed that the SD of SubA and SubV was significantly lower than that of other images based on registration algorithms in SCT. This demonstrated that sub-images are the absolute quantification of iodine content, which is more stable and reliable than traditional images, with less CT value shifting. The CT value metrics of manual subtraction did not show differences in terms of the characterization of SPNs, indicating that the net CT number obtained by conventional measurement methods in routine clinical practice is unreliable, even though 15 or 20 HU has been suggested as a cut-off value for differentiating benignity and malignancy. A previous study (25) noted that calcification, necrosis, and blood vessels should be avoided in ROIs during measurement by DECT, which is why we suggested that SCT was more reliable and stable, as SCT reflects true iodine density differences in the pulmonary parenchyma to eliminate high-density structures such as bones due to SCT images based on motion correction software which can compensate for respiratory and cardiac motion with a median residual error below 1 mm (12,14). However, although SCT can eliminate calcification more effectively than DECT, its ability to reliably exclude necrotic tissue is less well established and warrants further clarification. Additionally, in our present study, subtraction computations typically required a shorter duration, approximately 3 minutes. Notably, the findings indicate markedly elevated CT value of SubA values compared to traditional parameters, suggesting potential utility in pure ground-glass nodules or nodules exhibiting faint enhancement features.
Inflammatory masses usually manifest as well-circumscribed, solitary, peripheral pulmonary masses with a variable but nonspecific CT appearance, and their peak enhancement value is very similar to that of lung cancer, which makes differentiation from lung cancers by conventional CT scans quite difficult (26). In the differentiation between the inflammation group and malignant group and the benign group and inflammation group, our study indicated that the CT values of the inflammation group for SubA were significantly higher than those of the malignant group, which was consistent with a previous study (24), and because its granulomatous inflammation and organizing pneumonia are formed by the proliferation of inflammatory granulation tissue or residual acute inflammation, the rich and dilatate capillaries of masses are stimulated by inflammation gradually.
The CT values of SubA in the malignant group were significantly higher than those in the benign group, consistent with many studies (11,25). Angiogenesis is a fundamental process in the development of tumors, whereby the growing malignancy appropriates its blood supply from adjacent tissues. The results showing the higher enhancement of malignant tumors on CT or magnetic resonance imaging (MRI) are based on the richer angiogenesis of malignant tumors than that of benign tumors (27,28). Iodine, the main ingredient of contrast medium, directly reflects the blood flow and distribution in the intravascular and extracellular spaces, and its concentration maps are often regarded as having the potential for assessing the relative vascularity and vasculature of pulmonary nodules. Importantly, our results confirmed that the mean of SubA trended towards differences among the benign group, malignant group, and inflammatory group (21.2±11.1 vs. 34.5±16.6 vs. 43.9±10.7 HU, respectively), providing a proposed interpretive framework for SubA thresholds in clinical decision-making, with numeric ranges and diagnostic implications for benign, inflammatory, and malignant nodules. Specifically, based on our data distribution and post-hoc comparisons, a SubA value of approximately 35 HU appears to fall within the intermediate range of enhancement, typically observed in malignant nodules, which demonstrated significantly higher iodine uptake compared to benign lesions, but lower than that of inflammatory ones.
Although the CT value of SubA images has the highest diagnostic efficiency, with an AUC of 0.77, it can also provide relatively substantial results with a specificity of 95% and a PPV of 96%.
There were several limitations to this study. First, there were fewer patients with pathologically confirmed benign pulmonary nodules, which might have led to lower statistical power; for example, the CT metrics of NC, AP, and VP serial images were different for the different SPN types in this study, even though they did not show better ROC results than SCT. Second, our data indicate that malignant nodules primarily consist of lung adenocarcinoma and squamous cell carcinoma, whereas benign nodules typically include hamartoma, granuloma, and sclerosing hemangioma. These nodules exhibit distinct pathological mechanisms and CT characteristics, demonstrating some heterogeneity. Due to the limited sample size, we categorized them simply as malignant or benign without further differentiation, which might have increased intra-group variance and affected the generalizability of our findings. Thus, the current findings should be interpreted with caution. Third, the potential for misclassification biases due to reliance on the stability criteria of eight CT follow-up nodules, which may have influenced the AUC values, particularly by possibly overestimating the differentiation between benign and other nodules. There is a need for larger prospective studies with full histopathological confirmation to validate our findings. Fourth, only quantitative CT values on the largest slice of SPNs were statistically analyzed; for more solid and concrete results, the CT metrics of the whole 3D volume for the diagnosis of nodules require further study. Fifth, we only evaluated the absolute CT values of SCT and did not assess normalized values to eliminate individual factors.
Conclusions
The quantitative CT metrics obtained from the SCT lung iodine map in the AP showed better performances for SPN differentiation compared to conventional CT value variation metrics among different phases. The quantification of SPNs with SCT iodine maps shows potential value for SPN diagnosis without compromising daily clinical routines.
Acknowledgments
We would like to thank Dr. Shuai Guo and Dr. Jing Yan from the Department of Clinical Application Canon Medical Systems (China) for their helpful application suggestions and statistical advice for this manuscript.
Footnote
Reporting Checklist: The authors have completed the STARD reporting checklist. Available at https://qims.amegroups.com/article/view/10.21037/qims-2025-1083/rc
Data Sharing Statement: Available at https://qims.amegroups.com/article/view/10.21037/qims-2025-1083/dss
Funding: This work was supported by
Conflicts of Interest: All authors have completed the ICMJE uniform disclosure form (available at https://qims.amegroups.com/article/view/10.21037/qims-2025-1083/coif). All authors report that this work was supported by National Natural Science Foundation of China (Nos. 82171884 and 82471931), National Natural Science Foundation of China Youth Project (No. 82302174), Shanghai Science and Technology Innovation Action Plan, Technology Standard Project (No. 19DZ2203800), and Shanghai Science and Technology Innovation Action Plan (No. 20Y11912200). The authors have no other conflicts of interest to declare.
Ethical Statement: The authors are accountable for all aspects of the work in ensuring that questions related to the accuracy or integrity of any part of the work are appropriately investigated and resolved. The study was conducted in accordance with the Declaration of Helsinki and its subsequent amendments. The study was approved by the institutional review board of Renji Hospital (No. LY2023-036-B) and informed consent was obtained from all individual participants.
Open Access Statement: This is an Open Access article distributed in accordance with the Creative Commons Attribution-NonCommercial-NoDerivs 4.0 International License (CC BY-NC-ND 4.0), which permits the non-commercial replication and distribution of the article with the strict proviso that no changes or edits are made and the original work is properly cited (including links to both the formal publication through the relevant DOI and the license). See: https://creativecommons.org/licenses/by-nc-nd/4.0/.
References
- Li J, Xia T, Yang X, Dong X, Liang J, Zhong N, Guan Y. Malignant solitary pulmonary nodules: assessment of mass growth rate and doubling time at follow-up CT. J Thorac Dis 2018;10:S797-806. [Crossref] [PubMed]
- Vlahos I, Stefanidis K, Sheard S, Nair A, Sayer C, Moser J. Lung cancer screening: nodule identification and characterization. Transl Lung Cancer Res 2018;7:288-303. [Crossref] [PubMed]
- Aberle DR, Adams AM, Berg CD, Black WC, Clapp JD, Fagerstrom RM, Gareen IF, Gatsonis C, Marcus PM, Sicks JD. Reduced lung-cancer mortality with low-dose computed tomographic screening. N Engl J Med 2011;365:395-409. [Crossref] [PubMed]
- Blandin Knight S, Crosbie PA, Balata H, Chudziak J, Hussell T, Dive C. Progress and prospects of early detection in lung cancer. Open Biol 2017;7:170070. [Crossref] [PubMed]
- Yi CA, Lee HY, Kim TJ, Lee KS. Management of CT Screening-detected Persistent Nonsolid Pulmonary Nodules: An Asian Perspective. Radiology 2016;280:324-6. [Crossref] [PubMed]
- Rampinelli C, Cicchetti G, Cortese G, Polverosi R, Farchione A, Iezzi R, Romei C, Valentini A, Gavelli G, Zompatori M, Bonomo L, Sverzellati N, Privitera C, Larici AR. Management of incidental pulmonary nodule in CT: a survey by the Italian College of Chest Radiology. Radiol Med 2019;124:602-12. [Crossref] [PubMed]
- Ruparel M, Quaife SL, Navani N, Wardle J, Janes SM, Baldwin DR. Pulmonary nodules and CT screening: the past, present and future. Thorax 2016;71:367-75. [Crossref] [PubMed]
- Sui X, Meinel FG, Song W, Xu X, Wang Z, Wang Y, Jin Z, Chen J, Vliegenthart R, Schoepf UJ. Detection and size measurements of pulmonary nodules in ultra-low-dose CT with iterative reconstruction compared to low dose CT. Eur J Radiol 2016;85:564-70. [Crossref] [PubMed]
- Heuvelmans MA, Walter JE, Vliegenthart R, van Ooijen PMA, De Bock GH, de Koning HJ, Oudkerk M. Disagreement of diameter and volume measurements for pulmonary nodule size estimation in CT lung cancer screening. Thorax 2018;73:779-81. [Crossref] [PubMed]
- Yanagawa M, Morii E, Hata A, Fujiwara M, Gyobu T, Ueda K, Honda O, Tomiyama N. Dual-energy dynamic CT of lung adenocarcinoma: correlation of iodine uptake with tumor gene expression. Eur J Radiol 2016;85:1407-13. [Crossref] [PubMed]
- Zhang Y, Cheng J, Hua X, Yu M, Xu C, Zhang F, Xu J, Wu H. Can Spectral CT Imaging Improve the Differentiation between Malignant and Benign Solitary Pulmonary Nodules? PLoS One 2016;11:e0147537. [Crossref] [PubMed]
- Grob D, Oostveen LJ, Prokop M, Schaefer-Prokop CM, Sechopoulos I, Brink M. Imaging of pulmonary perfusion using subtraction CT angiography is feasible in clinical practice. Eur Radiol 2019;29:1408-14. [Crossref] [PubMed]
- Grob D, Smit E, Prince J, Kist J, Stöger L, Geurts B, Snoeren MM, van Dijk R, Oostveen LJ, Prokop M, Schaefer-Prokop CM, Sechopoulos I, Brink M. Iodine Maps from Subtraction CT or Dual-Energy CT to Detect Pulmonary Emboli with CT Angiography: A Multiple-Observer Study. Radiology 2019;292:197-205. [Crossref] [PubMed]
- Grob D, Oostveen L, Rühaak J, Heldmann S, Mohr B, Michielsen K, Dorn S, Prokop M, Kachelrieß M, Brink M, Sechopoulos I. Accuracy of registration algorithms in subtraction CT of the lungs: A digital phantom study. Med Phys 2019;46:2264-74. [Crossref] [PubMed]
- Baerends E, Oostveen LJ, Smit CT, Das M, Sechopoulos I, Brink M, de Lange F, Prokop M. Comparing dual energy CT and subtraction CT on a phantom: which one provides the best contrast in iodine maps for sub-centimetre details? Eur Radiol 2018;28:5051-9. [Crossref] [PubMed]
- Akasaka T, Yakami M, Nishio M, Onoue K, Aoyama G, Nakagomi K, Iizuka Y, Kubo T, Emoto Y, Satoh K, Yamamoto H, Togashi K. Detection of suspected brain infarctions on CT can be significantly improved with temporal subtraction images. Eur Radiol 2019;29:759-69. [Crossref] [PubMed]
- Grob D, Oostveen LJ, Jacobs C, Scholten E, Prokop M, Schaefer-Prokop CM, Sechopoulos I, Brink M. Pulmonary nodule enhancement in subtraction CT and dual-energy CT: A comparison study. Eur J Radiol 2021;134:109443. [Crossref] [PubMed]
- Truong MT, Ko JP, Rossi SE, Rossi I, Viswanathan C, Bruzzi JF, Marom EM, Erasmus JJ. Update in the evaluation of the solitary pulmonary nodule. Radiographics 2014;34:1658-79. [Crossref] [PubMed]
- Chae EJ, Song JW, Krauss B, Song KS, Lee CW, Lee HJ, Seo JB. Dual-energy computed tomography characterization of solitary pulmonary nodules. J Thorac Imaging 2010;25:301-10. [Crossref] [PubMed]
- Zhang M, Kono M. Solitary pulmonary nodules: evaluation of blood flow patterns with dynamic CT. Radiology 1997;205:471-8. [Crossref] [PubMed]
- Ohno Y, Nishio M, Koyama H, Seki S, Tsubakimoto M, Fujisawa Y, Yoshikawa T, Matsumoto S, Sugimura K. Solitary pulmonary nodules: Comparison of dynamic first-pass contrast-enhanced perfusion area-detector CT, dynamic first-pass contrast-enhanced MR imaging, and FDG PET/CT. Radiology 2015;274:563-75. [Crossref] [PubMed]
- Yi CA, Lee KS, Kim EA, Han J, Kim H, Kwon OJ, Jeong YJ, Kim S. Solitary pulmonary nodules: dynamic enhanced multi-detector row CT study and comparison with vascular endothelial growth factor and microvessel density. Radiology 2004;233:191-9. [Crossref] [PubMed]
- Wang G, Zhang C, Li M, Deng K, Li W. Preliminary application of high-definition computed tomographic Gemstone Spectral Imaging in lung cancer. J Comput Assist Tomogr 2014;38:77-81. [Crossref] [PubMed]
- Hou WS, Wu HW, Yin Y, Cheng JJ, Zhang Q, Xu JR. Differentiation of lung cancers from inflammatory masses with dual-energy spectral CT imaging. Acad Radiol 2015;22:337-44. [Crossref] [PubMed]
- Chen ML, Li XT, Wei YY, Qi LP, Sun YS. Can spectral computed tomography imaging improve the differentiation between malignant and benign pulmonary lesions manifesting as solitary pure ground glass, mixed ground glass, and solid nodules? Thorac Cancer 2019;10:234-42. [Crossref] [PubMed]
- Maldonado F, Daniels CE, Hoffman EA, Yi ES, Ryu JH. Focal organizing pneumonia on surgical lung biopsy: causes, clinicoradiologic features, and outcomes. Chest 2007;132:1579-83. [Crossref] [PubMed]
- Miles KA. Tumour angiogenesis and its relation to contrast enhancement on computed tomography: a review. Eur J Radiol 1999;30:198-205. [Crossref] [PubMed]
- Xiao J, Rahbar H, Hippe DS, Rendi MH, Parker EU, Shekar N, Hirano M, Cheung KJ, Partridge SC. Dynamic contrast-enhanced breast MRI features correlate with invasive breast cancer angiogenesis. NPJ Breast Cancer 2021;7:42. [Crossref] [PubMed]

