Automatic segmentation and reconstruction of lower-extremity arteries from computed tomography angiography images via a deep learning framework
Introduction
Surgical excision combined with flap transplantation repair is the primary therapeutic choice for patients with oral and maxillofacial cancer who have not developed distant metastasis (1). Perforator flap transplantation is currently the most widely used flap technique for postoperative repair in the oral and maxillofacial region (2). The lower extremity perforator flap has advantages such as a long vascular pedicle, sufficient blood supply, and adequate tissue volume. It can cover the postoperative tissue wound, protect important anatomical structures, and restore the function of oral and maxillofacial organs (3-5). However, the diverse shapes of postoperative defects in oral cancer and the anatomical variations of the perforator vessels present challenges in the selection of perforator flaps (6). Therefore, the precise preoperative assessment of perforator vessel morphology is crucial to the successful use of perforator flaps in the repair of oral and maxillofacial defects.
Computed tomography angiography (CTA) is increasingly being applied to evaluate candidate sections of the lower extremity for skin flap transplantation (7,8). Upon three-dimensional (3D) reconstruction, CTA can display the morphology and origin of the perforator arteries (9,10). However, the 3D reconstruction of lower-extremity arteries from CTA images remains labor-intensive and time-consuming due to the substantial volume of image slices, often numbering in the hundreds or even thousands (11,12). Such a labor-intensive and time-consuming process would be unfavorable for obtaining high-quality reconstructed images. More importantly, inadequate visualization of perforator vessels with a diameter less than 1 mm may lead to suboptimal evaluation of vessels pertinent to free flap transplantation (13). However, 3D reconstruction of perforator arteries remains challenging and relies heavily on the expertise of human experts (14). Therefore, there is an urgent need to develop an efficient and precise artificial intelligence (AI) tool for automatic 3D reconstruction of lower-extremity arteries from CTA images.
Traditional machine learning and tracking-based approaches have been proposed for automatic CTA reconstruction. However, these approaches predominantly rely on manual annotation and are not dedicatedly designed for perforator arteries (15,16). Recently, several deep learning-based models have been proposed for automatic artery segmentation (17,18). For instance, an automated head and neck CTA reconstruction system (CerebralDoc), which uses an optimized 3D convolutional neural network (CNN), has been shown to substantially expedite routine tasks and improve workflow in head and neck CTA analysis (19). However, an AI-based approach used for efficient 3D reconstruction of lower-extremity arteries from CTA images remains to be developed.
We hypothesize that a deep learning-based AI model enables efficient segmentation and 3D reconstruction of lower-extremity arteries including perforator arteries from CTA images. In this study, we developed an automated lower-extremity artery segmentation network (LEAS-Net), leveraging a three-stage 3D CNN architecture for CTA reconstruction of the lower-extremity arteries, especially for perforator arteries. The performance of the proposed LEAS-Net model was evaluated in terms of the segmentation accuracy, image quality, and processing time. The purpose of our study was to develop and validate the LEAS-Net for automatic 3D reconstruction of the lower-extremity arteries from CTA images. We present this article in accordance with the CLEAR reporting checklist (available at https://qims.amegroups.com/article/view/10.21037/qims-2025-1051/rc).
Methods
Patients
The study was conducted in accordance with the Declaration of Helsinki and its subsequent amendments. The study was approved by the institutional review board of Sun Yat-Sen Memorial Hospital of Sun Yat-Sen University (No. SYSKY-2023-1163-01) and individual consent for this retrospective analysis was waived. A total of 1,269 consecutive patients who had an oral or maxillofacial tumor were identified from the electronic medical record system between January 2015 and December 2023. Patients were included if they had undergone lower-extremity CTA examination. The exclusion criteria were as follows: poor imaging quality caused by mental artifacts due to surgery (n=36), no opacification of perforator vessel due to severe vessel stenosis (n=18), and primary lower-extremity tumors such as hemangioma (n=14). Finally, 1,201 patients were included in this study.
The whole cohort of patients was divided into a development set (January 2015 to December 2020; n=707) and an independent test set (January 2021 to December 2023; n=494). For the development set, CTA images from randomly selected 495 patients were used for model training, and the CTA images from the remaining 212 patients were used for internal testing. The performance of the AI model in automatic segmentation and 3D reconstruction of lower-extremity arteries was tested in the internal test set of 212 patients and the independent test set of 494 patients.
Lower-extremity CTA
CTA of the lower extremity was performed with 128- or 192-slice computed tomography (CT) scanners (Discovery HD750, GE HealthCare, Chicago, IL, USA; Revolution EVO, GE HealthCare; SOMATOM Force, Siemens Healthineers, Erlangen, Germany). The acquisition parameters included a tube current range of 120–350 mAs and a tube voltage range of 100–120 kV, with a matrix size of 512×512 and a slice thickness ranging from 0.6 to 1.25 mm. After an iodinated contrast agent (1.5–2 mL/kg; iopromide; Ultravist, Bayer, Leverkusen, Germany) was injected at a flow rate of 4 mL/second intravenously, an automatic bolus-tracking threshold-triggering method was used to determine the delay time after the contrast medium injection. The monitoring level for the bolus tracking scans was located at the upper edge of the fourth lumbar vertebral body. CTA scans started 12 s after the preset threshold attenuation of 150 Hounsfield units (HU) was reached. All CTA scans covered both legs and encompassed images from the distal abdominal aorta to the toes in a craniocaudal direction.
Development of the AI model
Cross-sectional images of lower-extremity CTA were anonymized and retrieved from the hospital picture archiving and communication system. To mitigate irrelevant noise and enhance the consistency of image data, the intensity values were normalized to a standardized range of (−1, 1). Various data augmentation techniques were employed, including rotation [angle range = (−30°, 30°)], translation [shift range = (−10%, 10%); shifts up to 10% of the image size in either direction], horizontal and vertical flipping [flip probability =50%; a 50% independent chance that the flip operation (horizontal or vertical) will be applied], and brightness adjustment [brightness range = (0.8, 1.2); adjusts brightness to 80–120% of the original]. These augmentations, particularly rotations and flips, were specifically designed to counteract the variability introduced by different body positions during scanning. During each epoch, there was a 50% probability that any of these augmentation strategies would be applied to the training samples.
The workflow of LEAS-Net is illustrated in Figure 1. The LEAS-Net had a three-stage network architecture consisting of a coarse-resolution network for initial vessel localization (stage 1), a refinement network for skeleton extraction (stage 2), and a fine-resolution network for precise segmentation (stage 3). Stage 1 focuses on obtaining an initial segmentation of the entire lower extremity vessel structure using visual basic net (VB-Net). During this stage, VB-Net processes the input images and generates a preliminary segmented map that outlines the overall structure of the lower-extremity vessels. This initial segmentation serves as the foundation for further refinement in the subsequent stage. In stage 2, the segmentation results from stage 1 are further refined through a series of detailed steps, referred to as AI-assisted vessel-growing. This process begins with the extraction of the vessel skeleton from the initial segmentation map. The skeleton, which represents the central lines of the segmented vessels, is then traced to its endpoints to identify regions where the initial segmentation may be less accurate or require additional refinement. Small image patches are extracted around these skeleton endpoints, with a focus on localized areas that require more precise analysis. Another local VB-Net is applied once again to these extracted patches (a cube with a side length of 15 mm), allowing for the meticulous examination and segmentation of the finer vessel structures. In stage 3, a vessel-labeling network, which also uses VB-Net, is applied to label all the artery branches. This stage builds upon the refined segmentation results from stage 2 and provides distinct identification of all arterial branches.
CTA images from 707 patients were annotated for the model training. A hierarchical labeling method was employed to mitigate potential human errors in the whole dataset. Four radiologists with a minimum of 3 years of CTA postprocessing experience independently annotated the arterial structures, including the large vessels (abdominal aorta, common iliac artery, internal iliac artery, external iliac artery, femoral artery, deep femoral artery, popliteal artery, anterior tibial artery, posterior tibial artery, and peroneal artery) and small perforator vessels (anterolateral thigh perforator and peroneal artery perforator), using ITKSNAP software. Subsequently, two radiologists with 5 or more years of experience meticulously reviewed the annotations and rectified any discrepancies to prevent mislabeling. In cases of disagreement between these two radiologists, a senior radiologist with over 10 years of experience in diagnostic imaging made the final decision. Only source images that passed stringent quality control assessments were adopted as the final labeling results, ensuring the reliability of the annotated ground truth for each CTA scan.
Performance of the AI model
In the internal test and independent test sets, the performance of the LEAS-Net in the automatic segmentation of lower-extremity large arteries and small perforator arteries was assessed via the Dice coefficient and center-line Dice coefficient (clDice). The ground truth was considered to be the curated annotations of human radiologists. The Dice coefficient quantifies the overlap between the segmented regions and the ground truth regions and is calculated as follows: Dice = (2 × TP)/(2 × TP + FP + FN), where true positive (TP), false positive (FP), and false negative (FN) represent the numbers of true-positive, false-positive, and false-negative voxels, respectively. The clDice was used to evaluate the topological accuracy of the AI-segmented vessels, which was calculated based on the intersection of the segmentation masks and their morphological skeletons, thereby demonstrating the preservation of vessel topology between the segmented results and the annotations.
In the independent test set, the quality of AI-reconstructed 3D volume rendering (VR) and maximal intensity projection (MIP) images was compared with that of images reconstructed by three radiologists with, respectively, 3, 5, and 10 years of experience in image postprocessing (radiologist 1, radiologist 2, and radiologist 3, respectively). A senior radiologist with 25 years of experience in diagnostic imaging assessed the image quality in a blind manner with a 3-point scale. The overall quality of VR images was graded according to the vascular integrity and a branch of the main lower extremity vascular, as follows: 3, good image quality (good vascular delineation without interruption and good vascular side branch reconstruction); 2, satisfactory image quality (normal vascular delineation with partial interruption and normal vascular side branch reconstruction with few residuals); 1, poor image quality (vascular side branch reconstruction with many residuals and difficulty in distinguishing the small artery) (19). The overall quality of MIP images was graded based on the vessel wall presentation and bone segmentation error as follows: 3, no bone segmentation error and excellent vessel presentation; 2, moderate bone residue but not affecting vessel observation; 1, severe bone residue affecting vessel observation. Finally, the quality of MIP images displaying the perforator arteries of anterolateral thigh perforator and peroneal artery perforator was assessed as follows: 3, more than 3 perforator vessels, good vessel continuity, and clear vessel image; 2, 1–2 perforator vessels, normal vessel continuity, and clear vessel image; 1, no visible perforator arteries or poor continuity. The average reconstruction time needed for the three radiologists and LEAS-Net was also recorded and compared to evaluate the efficiency of LEAS-Net.
Statistical analysis
The Shapiro-Wilk test was used to determine the normality of the data distribution. For continuous variables with a normal distribution (age), the data were presented as the mean ± standard deviation (SD). For continuous variables with a nonnormal distribution (reconstruction time), the data were presented as the median and interquartile range (IQR). Data related to CT manufacturers and disease distribution were expressed as numbers and percentages, and the comparison of these data among training set, internal test set, and independent test set was performed with the Kruskal-Wallis test. The Mann-Whitney test was used for score comparisons between LEAS-Net and human radiologists. Statistical analyses were conducted with SPSS software version 23.0 (IBM Corp., Armonk, NY, USA).
Results
Patient characteristics
A total of 1,201 patients who underwent lower-extremity CTA were included. Table 1 provides a summary of the clinicopathological characteristics in the training, internal test, and independent test sets. There was no significant difference in the sex, age, CT manufacturers, or disease distribution between the training set, internal test set, and independent test set (all P values >0.05).
Table 1
| Parameters | Training set | Internal test set | Independent test set |
|---|---|---|---|
| Patient characteristics | |||
| Number of patients | 495 | 212 | 494 |
| Male-to-female ratio | 1.10 | 0.95 | 1.09 |
| Age (years) | 65±10 | 64±15 | 68±9 |
| CT manufacture | |||
| GE Revolution | 231 (46.7) | 94 (44.3) | 225 (45.5) |
| SOMATOM Force | 165 (33.3) | 69 (32.5) | 163 (33.0) |
| SOMATOM Definition Flash | 99 (20.0) | 49 (23.1) | 106 (21.5) |
| Disease | |||
| Tongue cancer | 123 (24.8) | 57 (26.9) | 124 (25.1) |
| Oropharyngeal cancer | 106 (21.4) | 49 (23.1) | 98 (19.8) |
| Gingival cancer | 85 (17.2) | 36 (17.0) | 81 (16.4) |
| Nasopharyngeal carcinoma | 76 (15.4) | 30 (14.2) | 79 (16.0) |
| Maxillary sinus carcinoma | 61 (12.3) | 24 (11.3) | 66 (13.3) |
| Thyroid cancer | 24 (4.8) | 10 (4.7) | 25 (5.1) |
| Cheek cancer | 20 (4.0) | 8 (3.8) | 21 (4.3) |
Data are presented as n, mean ± SD, or n (%), unless otherwise stated. CT, computed tomography; SD, standard deviation.
Large-vessel segmentation
For the segmentation of large vessels including abdominal aorta, common iliac artery, internal iliac artery, external iliac artery, femoral artery, deep femoral artery, popliteal artery, anterior tibial artery, posterior tibial artery, and peroneal artery, LEAS-Net achieved a mean Dice score of 0.81 [95% confidence interval (CI): 0.78–0.84] and a clDice score of 0.88 (95% CI: 0.85–0.91) in the internal test set. In the independent test set, LEAS-Net achieved a mean Dice score of 0.84 (95% CI: 0.80–0.88) and a clDice score of 0.87 (95% CI: 0.83–0.91) for the segmentation of these large vessels (Figure 2). Details on the segmentation performance for each large vessel are presented in Table S1. Figure S1 shows examples of the visualized overall vessel segmentation results of LEAS-Net.
Perforator vessel segmentation
The Dice and clDice of LEAS-Net all exceeded 0.60 for the segmentation of both the anterolateral thigh perforator and peroneal artery perforator (Figure 3). The detailed segmentation performance of LEAS-Net in segmenting anterolateral thigh perforator and peroneal artery perforator in the internal test set and independent test set is provided in Table S2.
Image quality of LEAS-Net
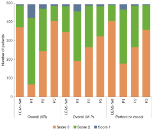
There were statistical differences in the overall quality of VR (P<0.01) and MIP images (P<0.01) between LEAS-Net and radiologist 1 and between LEAS-Net and radiologist 2 (Table 2 and Figure 4). However, there were no significant differences in the overall quality of VR and MIP images between LEAS-Net and radiologist 3 (P=0.11 and P=0.13, respectively). Compared with all radiologists, the LEAS-Net achieved the highest quality score for the anterolateral thigh perforator and peroneal artery perforator visualization based on MIP images (all P values <0.01). For the images of small perforator vessels generated by LEAS-Net and radiologists, 404 (81.78%) of the LEAS-Net images were rated with a score of 3, while 178 (36.03%), 265 (53.64%), and 358 (72.47%) were rated with a score of 3 for radiologist 1, radiologist 2, and radiologist 3, respectively. Figure 5 shows the example MIP images of vessels reconstructed from LEAS-Net and human radiologists, and Figure 6 shows the example MIP images for quality scores of the perforator vessels segmented by the LEAS-Net and human radiologists. Table S3 shows the weighted kappa coefficient for quantifying the interrater agreement between LEAS-Net and human radiologists for image quality assessments.
Table 2
| Vessel | LEAS-Net | R1 | R2 | R3 | P1 | P2 | P3 |
|---|---|---|---|---|---|---|---|
| Overall VR | [3, 3] | [2, 2] | [2, 3] | [3, 3] | <0.01 | <0.01 | 0.11 |
| Overall MIP | [2, 3] | [2, 3] | [2, 3] | [2, 3] | <0.01 | <0.01 | 0.13 |
| Perforator vessels | [3, 3] | [2, 3] | [2, 3] | [2, 3] | <0.01 | <0.01 | <0.01 |
Data are presented as [P25, P75]. P1: LEAS-Net vs. R1; P2: LEAS-Net vs. R2; P3: LEAS-Net vs. R3. LEAS-Net, lower-extremity artery segmentation network; MIP, maximal intensity projection; R1, radiologist 1; R2, radiologist 2; R3, radiologist 3; VR, volume rendering.
Reconstruction time of LEAS-Net
The average 3D reconstruction time for radiologists 1, 2, and 3 was 363 (range, 261.5–456), 325.5 (range, 266–388.75), and 160.15 (range, 99.61–208.18) s, respectively. The average processing time with LEAS-Net was 16.5 (range, 15–19) s for the same tasks. The processing time of LEAS-Net was 22, 19.7, and 9.7 times shorter than that of the three human radiologists, respectively (P<0.05).
Discussion
In this study, a novel deep learning algorithm based on a three-stage 3D CNN, LEAS-Net, was developed to automatically reconstruct lower-extremity CTA images for the precise assessment of the perforator flaps in patients with oral and maxillofacial cancers. The results showed that the LEAS-Net had the capacity to achieve automatic vessel segmentation with high accuracy across both large and small perforator vessels, with the average Dice and clDice scores exceeding 0.65 in both the internal and independent test sets. The reconstructed images had excellent image quality, and the time needed for reconstruction was remarkably shortened in comparison to human radiologists.
Deep learning has been extensively applied for 3D reconstruction of vessels from CTA imaging, including head and neck CTA (19,20), coronary CTA (21), and aortic CTA (22,23). Compared with conventional CTA reconstruction methods such as the image threshold segmentation method, deep learning not only reduces reconstruction time and optimizes clinical workflows but also delivers higher-quality reconstructed images, thereby enhancing diagnostic performance (8). Previously, Zhang et al. (8) and Qu et al. (13) demonstrated that the deep learning-based construction could enhance the objective and subjective image quality of lower-extremity CTA over conventional techniques in 50 and 46 patients, respectively. However, the use of these deep learning models was limited by the small sample sizes.
In our study, we included a cohort of 1,201 patients to develop the LEAS-Net model, which was specifically designed for the preoperative assessment of vascular anatomy in candidates suitable for perforator flap surgery of oral and maxillofacial cancer. The performance of the proposed LEAS-Net was evaluated in terms of the segmentation accuracy both in the large vessels and small perforator vessels. Previously, CerebralDoc, a 3D CNN, was proposed for automatic head and neck vessel segmentation (24); however, this model mainly focused on segmentation of large head or neck vessels on CTA images. Cross-channel spatial attention U-Net (CCS-UNet), a cross-channel spatial attention model, was developed for accurate retinal vessel segmentation (15); however, CCS-UNet was used to automatically segment retinal vessels from fundus images but not CTA images. Unlike CerebralDoc and CCS-UNet, LEAS-Net is specifically tailored for lower-extremity vessel segmentation, including both large vessels and perforator vessels, from CTA images. Notably, LEAS-Net is designed to process a substantial volume of image slices and reconstruct perforator vessels (e.g., anterolateral thigh perforator and peroneal artery perforator), which pose distinct challenges due to their smaller diameter, morphological variability, and lower image contrast on CTA images (25). To enhance the performance of LEAS-Net in the reconstruction of small perforator vessels of the lower extremity, we developed a three-stage segmentation network for vessel segmentation. This hierarchical network mirrors the sequential observational strategy employed by clinical practitioners who first assess the overall vascular layout before focusing on the intricate details of perforator vessels. The LEAS-Net designed in our study demonstrated good performance in the segmentation of large vessels, with an average Dice score of 0.84 and a clDice score of 0.87 in the independent test set, and in the segmentation of small perforator vessels, with a Dice score and clDice score above 0.65. These results suggest that LEAS-Net is suitable for the accurate segmentation of large vessels and small perforator vessels from lower-extremity CTA images.
The perforator flap was first introduced in 1989 to repair inguinal and tongue defects via the utilization of musculocutaneous perforator vessels as pedicles (26). Perforator flaps have been increasingly used for repairing tissue defects in clinical practice (27). For patients with oral and maxillofacial cancer, repair of maxillofacial defects not only promotes early postoperative recovery but also enhances survival rates and the quality of life of patients (28). An optimal perforator flap typically meets the following criteria: (I) stable main vessel; (II) at least one perforator vessel with a diameter greater than 0.5 mm; and (III) sufficient vascular pedicle length (29). Therefore, the preoperative assessment of the perforator vessels is crucial in determining the suitability of the perforator flap. Anterolateral thigh perforator and peroneal artery perforator flaps are the most commonly used perforator flaps for the repair of oral and maxillofacial defects due to their abundant soft tissue, flexibility, and reliable blood supply; generally, the anterolateral thigh perforator is used for large-area defects, while the peroneal artery perforator is used for small-area defects (30). Our results showed that LEAS-Net outperforms both less-experienced and highly experienced human radiologists in the reconstruction of anterolateral thigh perforator and peroneal artery perforator arteries. For the LEAS-Net, the image quality in 81.78% of small perforator vessels was rated with a score of 3, indicating a superior performance to human radiologists, with radiologist 1, radiologist 2, and radiologist 3 producing rates of 36.03%, 53.64%, and 72.47%, respectively. This suggests that the LEAS-net has an excellent performance in the reconstruction of perforator vessels. Notably, the image quality of small perforator vessels in five patients was scored as 1 for LEAS-Net. These five patients all had severe anatomical variation, and the image quality of the same perforator vessels was also scored as 1 by the three radiologists. Moreover, the reconstruction time of LEAS-Net was significantly shorter than that of the radiologists. Overall, the deep learning-based LEAS-Net can achieve the rapid and accurate reconstruction of perforator arteries.
Our study involved several limitations that should be addressed. First, we employed a retrospective, single-center study. Nonetheless, we developed our model using CTA data obtained with 128- or 192-slice CT scanners from two CT vendors and from a large number of patients with various oral and maxillofacial cancers. Future prospective multicenter studies including multiple CT vendors, a diversity of CTA imaging protocols, and a larger patient population are warranted to further validate the generalizability of LEAS-Net for the automatic reconstruction of lower-extremity vessels. Second, we did not compare the LEAS-Net with other reconstruction algorithms such as model-based iterative reconstruction, hybrid-iterative reconstruction, and filtered back projection (8). These models are not currently available in our institution and are not feasible for the reconstruction of perforator arteries. Third, the LEAS-Net developed in this study was used for automatic 3D reconstruction of lower-extremity vessels in planning perforator flap transplantation in patients with oral and maxillofacial cancer, rather than for the diagnosis of vascular disease.
Conclusions
The proposed LEAS-Net showed excellent accuracy in segmenting both large and small perforator vessels and achieved high-quality scores for perforator vessel reconstruction. This three-stage lower-extremity segmentation network, which provides efficient 3D reconstruction of lower-extremity vessels from CTA images, can be used as an AI tool to assist in planning perforator flap transplantation in patients with oral and maxillofacial cancer.
Acknowledgments
None.
Footnote
Reporting Checklist: The authors have completed the CLEAR reporting checklist. Available at https://qims.amegroups.com/article/view/10.21037/qims-2025-1051/rc
Data Sharing Statement: Available at https://qims.amegroups.com/article/view/10.21037/qims-2025-1051/dss
Funding: This work was supported by
Conflicts of Interest: All authors have completed the ICMJE uniform disclosure form (available at https://qims.amegroups.com/article/view/10.21037/qims-2025-1051/coif). L.T. is an employee of Shanghai United Imaging Intelligence Co., Ltd. The other authors have no conflicts of interest to declare.
Ethical Statement: The authors are accountable for all aspects of the work in ensuring that questions related to the accuracy or integrity of any part of the work are appropriately investigated and resolved. The study was conducted in accordance with the Declaration of Helsinki and its subsequent amendments. The study was approved by the institutional review board of Sun Yat-Sen Memorial Hospital of Sun Yat-Sen University (No. SYSKY-2023-1163-01) and individual consent for this retrospective analysis was waived.
Open Access Statement: This is an Open Access article distributed in accordance with the Creative Commons Attribution-NonCommercial-NoDerivs 4.0 International License (CC BY-NC-ND 4.0), which permits the non-commercial replication and distribution of the article with the strict proviso that no changes or edits are made and the original work is properly cited (including links to both the formal publication through the relevant DOI and the license). See: https://creativecommons.org/licenses/by-nc-nd/4.0/.
References
- Worthington HV, Bulsara VM, Glenny AM, Clarkson JE, Conway DI, Macluskey M. Interventions for the treatment of oral cavity and oropharyngeal cancers: surgical treatment. Cochrane Database Syst Rev 2023;8:CD006205.
- Ma C, Gao W, Zhu D, Zhang J, Shen Y, Wang L, Wang J, Haugen TW, Sun J, Zhu Y. Profunda Artery Perforator Flaps From the Posteromedial Region of the Thigh for Head and Neck Reconstruction. Otolaryngol Head Neck Surg 2023;168:345-56.
- Kerr AR, Lodi G. Management of oral potentially malignant disorders. Oral Dis 2021;27:2008-25.
- Kim D, Li R. Contemporary Treatment of Locally Advanced Oral Cancer. Curr Treat Options Oncol 2019;20:32.
- Yang L, Yan Z, Lu G, Jiang Y, Wang Y, Shi G, Chen L, Hu H, Duan X. Nitroglycerin improves the visibility of fibula-free flap perforators on computed tomography angiography in patients with oral or maxillofacial lesion. Eur J Radiol 2023;164:110877.
- Rui X, Huang Z, Zuo J, Wang Y, Liang Q, Jin T, Wang J, Chang S, Huang Z. Application of an L-shaped anterolateral thigh flap in reconstruction after hemiglossectomy. BMC Surg 2022;22:32.
- Zhou C, Cao S, Li M. Coordinate-aware three-dimensional neural network for lower extremity arterial stenosis classification in CT angiography. Heliyon 2024;10:e34309.
- Zhang D, Mu C, Zhang X, Yan J, Xu M, Wang Y, Wang Y, Xue H, Chen Y, Jin Z. Image quality comparison of lower extremity CTA between CT routine reconstruction algorithms and deep learning reconstruction. BMC Med Imaging 2023;23:33.
- Rao P, Luo S, Wang L, Li Y, Fu G, Xiao J. Computed tomography angiography-aided individualized anterolateral thigh flap design in the reconstruction of oral and maxillofacial soft tissue defects. Oral Surg Oral Med Oral Pathol Oral Radiol 2022;134:143-50.
- Keddie D, Abdulrehman Y, Shiau G. Reporting lower extremity CT angiography for treatment planning. Diagn Interv Imaging 2022;103:387-93.
- Liu K, Liu Y, Fan Z, Fu D. Accuracy and reproducibility of two-dimensional computed tomography-based positioning of femoral component rotational alignment in preoperative planning for total knee arthroplasty. J Orthop Surg Res 2023;18:964.
- Schneider CM, Palines PA, Womac DJ, Tuggle CT, St Hilaire H, Stalder MW. Preoperative Computed Tomography Angiography for ALT Flaps Optimizes Design and Reduces Operative Time. J Reconstr Microsurg 2022;38:491-8.
- Qu T, Guo Y, Li J, Cao L, Li Y, Chen L, Sun J, Lu X, Guo J. Iterative reconstruction vs deep learning image reconstruction: comparison of image quality and diagnostic accuracy of arterial stenosis in low-dose lower extremity CT angiography. Br J Radiol 2022;95:20220196.
- Buls N, de Brucker Y, Aerden D, Devos H, Van Gompel G, Boonen PT, Nieboer K, Leiner T, de Mey J. Improving the diagnosis of peripheral arterial disease in below-the-knee arteries by adding time-resolved CT scan series to conventional run-off CT angiography. First experience with a 256-slice CT scanner. Eur J Radiol 2019;110:136-41.
- Zhu YF, Xu X, Zhang XD, Jiang MS. CCS-UNet: a cross-channel spatial attention model for accurate retinal vessel segmentation. Biomed Opt Express 2023;14:4739-58.
- Peng Y, Tang Y, Luan P, Zhang Z, Tu H. MAFE-Net: retinal vessel segmentation based on a multiple attention-guided fusion mechanism and ensemble learning network. Biomed Opt Express 2024;15:843-62.
- Graffy PM, Liu J, O'Connor S, Summers RM, Pickhardt PJ. Automated segmentation and quantification of aortic calcification at abdominal CT: application of a deep learning-based algorithm to a longitudinal screening cohort. Abdom Radiol (NY) 2019;44:2921-8.
- Kamnitsas K, Ledig C, Newcombe VFJ, Simpson JP, Kane AD, Menon DK, Rueckert D, Glocker B. Efficient multi-scale 3D CNN with fully connected CRF for accurate brain lesion segmentation. Med Image Anal 2017;36:61-78.
- Fu F, Wei J, Zhang M, Yu F, Xiao Y, Rong D, Shan Y, Li Y, Zhao C, Liao F, Yang Z, Li Y, Chen Y, Wang X, Lu J. Rapid vessel segmentation and reconstruction of head and neck angiograms using 3D convolutional neural network. Nat Commun 2020;11:4829.
- Li K, Yang Y, Niu S, Yang Y, Tian B, Huan X, Guo D. A Comparative Study of AI-Based Automated and Manual Postprocessing of Head and Neck CT Angiography: An Independent External Validation with Multi-Vendor and Multi-Center Data. Neuroradiology 2024;66:1765-80.
- Xu C, Yi Y, Xu M, Yan J, Guo YB, Wang J, Wang Y, Li YM, Jin ZY, Wang YN. Coronary Artery Stent Evaluation by CTA: Impact of Deep Learning Reconstruction and Subtraction Technique. AJR Am J Roentgenol 2023;220:63-72.
- Wang J, Sui X, Zhao R, Du H, Wang J, Wang Y, Qin R, Lu X, Ma Z, Xu Y, Jin Z, Song L, Song W. Value of deep learning reconstruction of chest low-dose CT for image quality improvement and lung parenchyma assessment on lung window. Eur Radiol 2024;34:1053-64.
- Li W, You Y, Zhong S, Shuai T, Liao K, Yu J, Zhao J, Li Z, Lu C. Image quality assessment of artificial intelligence iterative reconstruction for low dose aortic CTA: A feasibility study of 70 kVp and reduced contrast medium volume. Eur J Radiol 2022;149:110221.
- Cao L, Shi R, Ge Y, Xing L, Zuo P, Jia Y, Liu J, He Y, Wang X, Luan S, Chai X, Guo W. Fully automatic segmentation of type B aortic dissection from CTA images enabled by deep learning. Eur J Radiol 2019;121:108713.
- Liu B, Pan D, Gao Z, Duan P, Ou Q. Double-pivot proper digital artery perforator flap for fingertip reconstruction. J Orthop Surg Res 2023;18:737.
- Koshima I, Soeda S. Inferior epigastric artery skin flaps without rectus abdominis muscle. Br J Plast Surg 1989;42:645-8.
- Gong Z, Zhang S, Li P, Liu J, Xu Y. Femoral artery-nourished anteromedial thigh flap: A new perspective in oral and maxillofacial defect reconstruction. Oral Oncol 2021;117:105295.
- Dai X, Li P, Xu H. Free Flap Transplantation on the repair of defects caused by oral and maxillofacial tumors resection. Pak J Med Sci 2019;35:1339-43.
- Wang WM, Sun L, Yang SS, Hu SJ, Zuo YJ, Min AJ. Comparison Between Modified Lateral Arm Free Flap and Traditional Lateral Arm Free Flap for the Reconstruction of Oral and Maxillofacial Soft Tissue Defects. Front Oncol 2022;12:877799.
- Wu JC, Huang JJ, Tsao CK, Abdelrahman M, Kolios G, Cheng MH. Comparison of Posteromedial Thigh Profunda Artery Perforator Flap and Anterolateral Thigh Perforator Flap for Head and Neck Reconstruction. Plast Reconstr Surg 2016;137:257-66.

