Fully automated deep learning model for the evaluation of cavum septum pellucidum development in normal fetuses using magnetic resonance imaging: a Chinese cohort study
Introduction
The cavum septum pellucidum (CSP) is an essential landmark in evaluating fetal central forebrain development (1). The CSP appears as a triangular or rectangular fluid-filled cavity, containing cerebrospinal fluid (CSF) that filters from the ventricular system through the two leaflets of the septum pellucidum (2-4). The development of the CSP begins at the gestational age (GA) of 18 weeks and it is fully structured by the GA of 37 weeks in most cases (5). The evaluation of the CSP has become integral to both routine and detailed ultrasound (US) examinations and the detection of a normal CSP in the second and third trimester prenatal US examinations of the fetal brain can provide reassurance of normal fetal brain development (6,7).
Anatomically, the CSP can be defined by the boundaries of the following brain structures: superior boundary—the body of the corpus callosum (CC); anterior boundary—the genu of the CC; inferior boundary—the anterior commissure and the rostrum of the CC; posterior boundary—the anterior limb and pillars of the fornix; and the lateral boundary—the laminae of the septum pellucidum (2). The development of the CSP is usually considered a secondary process due to the development of its adjacent tissue, the fornix, and the CC. As the growing brain develops into its mature structure, the CSP enlarges because of the separation of the CC and the fornix from each other (8).
Evaluation of the CSP is one of the necessary components of the standard second trimester screening fetal examination according to the joint practice guidelines of the American Institute of Ultrasound in Medicine, American College of Radiology, American College of Obstetricians and Gynecologists, and Society for Maternal-Fetal Medicine and Society of Radiologists in Ultrasound (9). In the second trimester, the normal CSP measures 2–10 mm in transverse diameter (10). When the CSP is not identified by the GA of 20 weeks in routine prenatal US screening, further magnetic resonance imaging (MRI) evaluation is warranted for final confirmation and diagnosis (11). Compared with US, fetal MRI can offer several advantages because it is not limited by amniotic fluid index, maternal obesity, and fetal positioning (12). MRI can provide the structural details of the CSP with higher soft tissue resolution and contrast than US (13). MRI has a much higher sensitivity and specificity in detecting fetal central nervous system (CNS) abnormalities than US and can illustrate a normal CSP not visible on fetal US in certain cases (14).
Several previous studies have provided normal values for the CSP measurements on US and MRI (15-17). However, most of those studies were based on two-dimensional (2D) images and reliant on radiologists’ experience, which may introduce observer bias, affecting the consistency and reproducibility of results. In recent years, with advancements in computer science and artificial intelligence, deep learning (DL) has been widely applied in medical image analysis (18-21). In this study, we proposed a DL model to transform 2D MRI images into three-dimensional (3D) MRI images and for further segmentation and measurements of the CSP. The aim of study was to construct reference ranges for fetal CSP in normal pregnancies of different GA in a Chinese cohort with over 1,000 pregnant participants. We present this article in accordance with the STROBE reporting checklist (available at https://qims.amegroups.com/article/view/10.21037/qims-2025-458/rc) (22).
Methods
Population
This retrospective single-center observational study was approved by the ethic review board of Nanjing Drum Tower Hospital (No. 2022-141-01). This study adhered to the Declaration of Helsinki and its subsequent amendments, and the Health Insurance Portability and Accountability Act. The requirement for informed consent was waived due to the retrospective nature of this study.
This research involved pregnant participants who gave birth between 1 January 2017 and 30 June 2024. The inclusion criteria were as follows: (I) pregnant women in the second or third trimesters; (II) US findings indicated suspected brain abnormalities that required further examination by MRI. The exclusion criteria were as follows: (I) contraindications for MRI; (II) obvious brain abnormalities; (III) multiple gestation. The participant selection flowchart is illustrated in Figure 1.
MRI acquisition protocol
Fetal brain MRI scans were obtained using 1.5 T and 3.0 T systems. For the 3.0 T system, single-shot fast spin echo (SSFSE) images were acquired on uMR770 (United Imaging Healthcare, Shanghai, China) with the following scanning parameters: repetition time (TR)/echo time (TE), 2,000/4.68 ms; slice thickness, 3 mm; flip angle, 140 degrees; field of view (FOV), 380 mm × 350 mm; number of slices, 35; number of signal averaged (NSA), 2; matrix, 288×80; acquisition time, 37 seconds. Balanced steady-state free precession (bSSFP) images were acquired on uMR790 (United Imaging Healthcare), with the following scanning parameters: TR/TE, 4.68/2.35 ms; slice thickness, 3 mm; flip angle, 100 degrees; FOV, 330 mm ×330 mm; number of slices, 36; NSA, 1; matrix, 256×80; acquisition time, 70 seconds. For the 1.5 T system, SSFSE images were acquired on Multiva (Philips, Best, the Netherlands), with the following scanning parameters: TR/TE, 4,500/90 ms; slice thickness, 4 mm; flip angle, 90 degrees; FOV, 300 mm × 300 mm; number of slices, 24; NSA, 1; matrix, 200×200; acquisition time, 108 seconds. bSSFP images were acquired on Ingenia Ambition (Philips), with the following scanning parameters: TR/TE, 4.2/2.1 ms; slice thickness, 7 mm; flip angle, 90 degrees; FOV, 400 mm × 400 mm; number of slices, 36; NSA, 2; matrix, 268×266; acquisition time, 77 seconds.
Image processing
All images were processed using a fetal image analysis pipeline comprising five key steps.
First, skull stripping was performed using a predefined neural network model, nnUNet (23), with default configurations to extract the fetal brain from the image.
Second, stack-to-stack registration was conducted to align brain image stacks to a common spatial reference. This step is crucial for correcting spatial inconsistencies caused by fetal motion during MRI acquisition. The registration process involves establishing spatial correspondences between adjacent slices through slice-to-volume registration techniques. By leveraging attention mechanisms within a Transformer architecture, SVoRT (24), correlations between slices were automatically detected, enabling precise alignment even in the presence of substantial fetal movement. The attention mechanism allows the model to focus on relevant feature across different slices, effectively reducing registration errors and improving reconstruction quality.
Third, high-resolution 3D volume reconstruction was achieved through the PAK-SRR method (25), which combines multi-frame super-resolution reconstruction techniques with anatomical priors derived from tissue segmentation. The super-resolution algorithm reconstructs high-resolution images by combining complementary information from multiple low-resolution images, whereas the anatomical priors ensure structural consistency with known fetal brain development patterns. This approach improved boundary consistency by incorporating spatial information from multiple low-resolution acquisitions and utilized longitudinal fetal brain atlases to guide the volume reconstruction process.
Fourth, brain parcellation was performed using an atlas to segment the brain into distinct regions, including the region consisting of the septum pellucidum and cavum vergae. Each reconstructed 3D brain image was segmented into 21 distinct anatomical regions, including cortical gray matter, fetal white matter, cerebellum, lateral ventricle, basal ganglia, thalamus, hippocampus, and others (26). The segmentation of the region containing the septum pellucidum and cavum vergae provides spatial constraints for subsequent precise CSP segmentation.
Fifth, CSP segmentation was conducted through a two-stage process. Initially, two board-certificated pediatric radiologists with 5 and 10 years of respective experience manually segmented a region of interest (ROI) of CSP based on reconstructed fetal MRI images using ITKSNAP (version 3.8.0). These expert annotations served as the ground truth for training an nnU-Net model, which was subsequently employed for automated CSP segmentation. This processing pipeline resulted in a high-resolution 3D fetal brain image for each case, along with segmented brain regions, forming the foundation for subsequent volumetric developmental analyses, as shown in Figure 2. A representative case of CSP segmentation and measurement is illustrated in Figure 3.
Evaluation of CSP segmentation and quantitative analysis
To comprehensively evaluate the performance of the DL model in CSP segmentation, 50 cases with evenly distributed range of GAs were selected. The segmentation accuracy was quantitatively assessed using two widely adopted metrics: the Dice similarity coefficient and Hausdorff distance. The Dice index measures the spatial overlap between the ROIs segmented by the radiologists (ground truth) and those generated by the DL model, whereas the Hausdorff distance quantifies the maximum surface discrepancy between the two segmentations, providing insight into boundary alignment precision.
Following segmentation, the CSP was spatially aligned to a standardized orientation to ensure consistent measurements across all cases. Three orthogonal dimensions of the CSP were measured: length (anteroposterior dimension), width (transverse dimension), and height (craniocaudal dimension). These measurements were performed on the 3D reconstructed images to capture the complete morphological characteristics of the CSP. Additionally, several derived parameters were calculated to provide a more comprehensive assessment of CSP development: CSP volume, ratio of CSP volume to whole brain volume (providing a normalized measure of CSP development), and ratio of CSP volume to cerebrum volume (offering additional insight into its developmental relationship with cerebral structures).
Statistical analysis
Statistical analysis was conducted using the software SPSS 26.0 (IBM Corp., Armonk, NY, USA). A P value <0.05 was considered statistically significant. Continuous variables were evaluated for normal distribution using Kolmogorov-Smirnov test and reported as mean and standard deviation (SD). Fleiss κ values were used to assess the intraobserver and interobserver agreement.
For each case, we calculated CSP volume, CSP length, CSP width, CSP height, ratio of CSP volume to whole brain volume, and ratio of CSP volume to cerebrum volume. We evaluated the two different models for each CSP metric and GA.
Linear regression:
Second-order polynomial regression:
Where a=intercept, b=week coefficient, c=coefficient of the quadratic week term. After fitting all of the models, Akaike information criterion (AIC) was utilized for model selection.
Results
Participant characteristics
A total of 1,047 normal pregnant participants were measured. The participants mean GA was 31.21±3.81 weeks. The cases were divided into nine groups according to their GA (in weeks): 22–23, 24–25, 26–27, 28–29, 30–31, 32–33, 34–35, 36–37, 38–39. The mean values and SD for each GA group are illustrated in Table 1. The 5th, 50th, and 95th percentiles for CSP measurement in normal fetal brains across different GAs are illustrated in Table 2.
Table 1
| GA groups (weeks) | N | CSP volume (mm3) | CSP length (mm) | CSP width (mm) | CSP height (mm) |
|---|---|---|---|---|---|
| 22–23 | 26 | 269.63±48.21 | 3.75±1.10 | 3.97±0.50 | 7.20±0.55 |
| 24–25 | 65 | 344.04±77.20 | 5.26±1.73 | 4.44±0.75 | 7.83±0.81 |
| 26–27 | 134 | 422.08±72.92 | 6.63±1.77 | 5.22±0.78 | 8.31±0.71 |
| 28–29 | 135 | 508.40±83.22 | 7.96±1.55 | 5.99±0.75 | 8.76±0.75 |
| 30–31 | 166 | 519.59±81.35 | 8.98±1.87 | 5.89±0.68 | 8.82±0.74 |
| 32–33 | 219 | 512.06±77.46 | 9.97±2.13 | 5.74±0.63 | 8.79±0.71 |
| 34–35 | 170 | 497.21±89.85 | 10.94±2.30 | 5.53±0.66 | 8.72±0.74 |
| 36–37 | 107 | 456.57±78.51 | 11.36±2.09 | 5.42±0.60 | 8.53±0.70 |
| 38–39 | 25 | 454.14±112.35 | 12.61±2.03 | 5.26±0.84 | 8.58±0.71 |
Data are presented as number or mean ± standard deviation. CSP, cavum septum pellucidum; GA, gestational age.
Table 2
| GA groups (weeks) | Percentile | CSP volume (mm3) | CSP length (mm) | CSP width (mm) | CSP height (mm) |
|---|---|---|---|---|---|
| 22–23 | P5 | 197.631 | 1.800 | 3.200 | 6.400 |
| P50 | 259.071 | 4.000 | 4.000 | 7.200 | |
| P95 | 340.479 | 4.800 | 4.800 | 8.000 | |
| 24–25 | P5 | 201.215 | 2.400 | 3.200 | 6.400 |
| P50 | 341.503 | 5.600 | 4.400 | 8.000 | |
| P95 | 449.534 | 8.640 | 5.600 | 8.800 | |
| 26–27 | P5 | 320.664 | 4.000 | 4.000 | 7.200 |
| P50 | 417.278 | 6.400 | 5.200 | 8.000 | |
| P95 | 561.764 | 10.400 | 6.540 | 9.600 | |
| 28–29 | P5 | 384.511 | 5.600 | 4.800 | 8.000 |
| P50 | 501.758 | 8.000 | 6.000 | 8.800 | |
| P95 | 672.919 | 10.400 | 7.200 | 9.840 | |
| 30–31 | P5 | 397.183 | 5.800 | 4.800 | 8.000 |
| P50 | 519.166 | 8.800 | 6.000 | 8.800 | |
| P95 | 641.790 | 12.000 | 7.200 | 9.600 | |
| 32–33 | P5 | 393.215 | 6.400 | 4.800 | 8.000 |
| P50 | 505.342 | 9.600 | 5.600 | 8.800 | |
| P95 | 627.044 | 13.600 | 6.800 | 9.600 | |
| 34–35 | P5 | 364.773 | 7.200 | 4.800 | 8.000 |
| P50 | 488.446 | 10.400 | 5.600 | 8.800 | |
| P95 | 665.572 | 15.200 | 6.800 | 9.600 | |
| 36–37 | P5 | 328.191 | 8.800 | 4.800 | 7.440 |
| P50 | 450.558 | 11.200 | 5.600 | 8.800 | |
| P95 | 599.396 | 14.400 | 6.400 | 9.600 | |
| 38–39 | P5 | 333.823 | 9.600 | 4.400 | 7.360 |
| P50 | 425.470 | 12.800 | 5.200 | 8.800 | |
| P95 | 694.269 | 15.680 | 6.320 | 9.600 |
CSP, cavum septum pellucidum; GA, gestational age; P5, 5th percentile; P50, 50th percentile; P95, 95th percentile.
Dice index and Hausdorff distance of the ROI
Intraobserver agreements for CSP measurement ranged from 0.849 to 0.936. Interobserver agreements for CSP measurement ranged from 0.801 to 0.915.
The segmentation performance of the ROI was quantitatively evaluated using the Dice index and Hausdorff distance. The results demonstrated high accuracy and precision, with a Dice index of 0.884±0.067 and a Hausdorff distance of 1.87±0.75 mm in the testing dataset. These metrics indicate excellent agreement between the manual annotations provided by the radiologists and the automated segmentations generated by the DL model. The high Dice index reflects strong spatial overlap between the ground truth and predicted segmentations, whereas the low Hausdorff distance confirms precise boundary alignment, underscoring the reliability of the proposed method for CSP segmentation.
CSP measurement trends
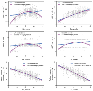
Age-related changes were found to be significant in CSP volume, CSP length, CSP width, CSP height, ratio of CSP volume to whole brain volume, and ratio of CSP volume to cerebrum volume (all P<0.001). CSP volume, CSP width, and CSP height exhibited U-shape trends. By contrast, CSP length, ratio of CSP volume to whole brain volume, and ratio of CSP volume to cerebrum volume exhibited linear trends, as shown in Figure 4. The fitting equations are as follows:
CSP volume (mm3):
CSP length (mm):
CSP width (mm):
CSP height (mm):
Ratio of CSP volume to whole brain volume (‱):
Ratio of CSP volume to cerebrum volume (‱):
Discussion
In this research, we investigated the developmental patterns of the CSP in normal fetuses across different GAs using a fully automated DL model in a Chinese cohort. By analyzing 1,047 normal pregnancies in the second and third trimesters, we measured key CSP parameters, including CSP volume, length, width, height, and their ratios to whole brain and cerebrum volumes. Our findings revealed distinct developmental trajectories: CSP volume, width, and height reach a maximum between 28 and 32 weeks of gestation. CSP length displayed an upward trend after 22 weeks, whereas CSP length demonstrated a continuous upward trend after 22 weeks. Additionally, the ratios of CSP volume to whole brain volume and CSP volume to cerebrum volume showed a consistent downward trend after 22 weeks. These results provide valuable reference data for prenatal MRI diagnosis and highlight the potential of DL models in automating fetal brain assessment.
The CSP, a CSF-filled space between the two cerebral hemispheres, is a critical landmark in fetal CNS development. Its assessment is of paramount importance, as the absence of CSP may indicate primary holoprosencephaly or secondary processes leading to the destruction of the septal leaflets (27). When CSP is not visualized or appears partially or completely absent during routine mid-trimester US, the differential diagnosis can be extensive, including holoprosencephaly spectrum disorders, CC abnormalities, acquired CSP absence, septo-optic dysplasia, and isolated septal defects (28). Conversely, an enlarged CSP may necessitate follow-up to exclude CSP cysts or chromosomal anomalies (29). Thus, establishing normative values for CSP is crucial for evaluating fetal health and development.
Although US is the primary modality for prenatal CSP assessment, its results are operator-dependent and influenced by factors such as fetal position, amniotic fluid volume, and maternal abdominal thickness, leading to potential variability and subjectivity (9,30,31). In clinical practice, cases where US fails to visualize CSP but subsequent MRI confirms its presence are not uncommon (14). Compared to US, MRI offers superior resolution and accuracy in measuring CSP dimensions, making it a more reliable tool for prenatal diagnosis (32,33). SSFSE and bSSFP were the MRI sequences utilized in this study and the acquisition protocol was similar to previous fetal brain MRI research (34).
Several US studies have measured the normal parameters of CSP across different GAs. Cinar found that CSP volume and GA were positively correlated between 19 and 24 weeks of gestation (35). Jou et al. evaluated 608 normal fetuses between 19 and 42 weeks of gestation and revealed that the CSP width increases gradually from 19 to 27 weeks of gestation, plateaus from 28 to 40 weeks of gestation, and slightly decreases towards 42 weeks of gestation (7). Tao et al. evaluated 322 uncomplicated singleton pregnancies from 25 to 39 weeks of gestation and discovered that there was no significant correlation between CSP width and GA (36). Tuma et al. evaluated 161 pregnant women between 20 and 40 weeks of gestation and concluded that CSP volume had a poor correlation with GA (17). Although US studies have provided valuable insights into CSP development, their results are often inconsistent. These discrepancies may be attributed to the inherent limitations of US, such as operator dependency, variability in imaging quality, and challenges in visualizing CSP in certain fetal positions or maternal conditions.
A previous MRI study of 307 normal fetal MRI between 25 and 41 weeks of gestation by Kertes et al. revealed that the width and height of the CSP tend to decrease starting from 27 weeks of gestation onwards (16). Jarvis and Griffiths discovered that CSP length increases throughout pregnancy, whereas the CSP volume and CSP width reaches a maximum between 29 and 31 weeks of gestation (2), which is consistent with our DL-based measurement.
Our findings may assist in identifying abnormal CSP development, such as agenesis or cystic dilation, by providing objective reference values across gestation. Although prior US-based studies have suggested threshold values to indicate possible CC agenesis, these criteria remain debated and vary across populations (37,38). Moreover, differentiating between isolated CSP agenesis, CSP cysts, or more severe midline anomalies requires a comprehensive understanding of CSP morphology. Our MRI-based measurements, covering length, width, height, and volume, may provide more accurate assessments than 2D US. Compared with US, MRI is less affected by fetal position or maternal habitus and offers superior tissue contrast. Although US remains the first-line screening tool due to its cost-effectiveness and accessibility and there exists US-based clinical tool (39), automated MRI-based methods could serve as a valuable adjunct in high-risk or inconclusive cases. Combining both modalities may improve diagnostic confidence, especially when fetal CNS anomalies are suspected.
Our study has several notable strengths. First, the large sample size of over 1,000 normal fetal brain dataset provides robust statistical power and enhances the generalizability of our findings. This extensive dataset allowed for a comprehensive analysis of CSP development across a wide range of GA. Second, we reconstructed 3D standardized images from 2D data, enabling more accurate and detailed measurements of CSP parameters. This approach overcomes the limitations of traditional 2D imaging and provides a more precise representation of fetal brain anatomy. Third, the application of a DL model for automated measurements represents a significant methodological advancement. This approach ensures standardized and reproducible results, minimizing the subjective errors and biases associated with manual measurements. By leveraging DL, our study not only improves the accuracy of CSP assessment but also sets a precedent for future research in automated fetal brain imaging analysis. These strengths collectively enhance the reliability and clinical applicability of our findings, providing a valuable reference for prenatal diagnosis and fetal brain development evaluation. The data included in this study were based on a Chinese cohort with normal pregnancies. Considering that complications may arise in late pregnancy, such as fulminant viral hepatitis and human papillomavirus related issues (40-42), future investigations are needed to increase the sample size and broaden the applicability of the models.
There are several limitations in this study. Firstly, this was a single-center retrospective study. The DL model and the derived reference values need to be validated in external cohorts to ensure the reliability and applicability in different clinical settings. We will further recruit pregnant participants from other medical centers in the future. Secondly, we only provided cross-sectional MRI data without longitudinal follow-up of individual fetuses. Longitudinal data would offer more insights into the individual variability and developmental trajectories of CSP over time. Furthermore, the number of cases beyond 38 weeks of gestation was relatively limited. This reflects the clinical reality that fetal MRI is rarely performed near term, as the opportunity for prenatal intervention is minimal and most pregnancies are approaching delivery. As a result, the precision of the reference curves at the upper GA range may be reduced, but this has limited impact on the primary aim of supporting CNS evaluation and intervention during late-second and early-third trimesters. The last limitation is potential selection bias, as fetal MRI is typically performed following suspicious US findings. Therefore, the “normal cohort” was defined based on normal MRI results, not from a low-risk general population, which may limit generalizability.
Conclusions
We developed a fully automated DL model to evaluate CSP development in normal fetal brains. CSP volume, width, and height reach a maximum between 28 and 32 weeks of gestation. CSP length illustrates an upward trend after 22 weeks. The ratio of CSP volume to whole brain volume and ratio of CSP volume to cerebrum volume show a downward trend after 22 weeks.
Acknowledgments
The authors thank all the pregnant women and their families for participating in this research.
Footnote
Reporting Checklist: The authors have completed the STROBE reporting checklist. Available at https://qims.amegroups.com/article/view/10.21037/qims-2025-458/rc
Data Sharing Statement: Available at https://qims.amegroups.com/article/view/10.21037/qims-2025-458/dss
Funding: This work was supported by
Conflicts of Interest: All authors have completed the ICMJE uniform disclosure form (available at https://qims.amegroups.com/article/view/10.21037/qims-2025-458/coif). The authors have no conflicts of interest to declare.
Ethical Statement: The authors are accountable for all aspects of the work in ensuring that questions related to the accuracy or integrity of any part of the work are appropriately investigated and resolved. This retrospective single-center observational study was approved by the ethic review board of Nanjing Drum Tower Hospital (No. 2022-141-01). This study adhered to the Declaration of Helsinki and its subsequent amendments, and the Health Insurance Portability and Accountability Act. Informed consent was waived due to the retrospective nature of this study.
Open Access Statement: This is an Open Access article distributed in accordance with the Creative Commons Attribution-NonCommercial-NoDerivs 4.0 International License (CC BY-NC-ND 4.0), which permits the non-commercial replication and distribution of the article with the strict proviso that no changes or edits are made and the original work is properly cited (including links to both the formal publication through the relevant DOI and the license). See: https://creativecommons.org/licenses/by-nc-nd/4.0/.
References
- Goergen S, Furruqh F, Evans R, Cicilet S, Mankad K. Algorithmic approach to neuroradiological diagnosis with pre-natal MRI: non-visualization of the fetal cavum septi pellucidi on mid-trimester screening ultrasound. Br J Radiol 2023;96:20221042. [Crossref] [PubMed]
- Jarvis D, Griffiths PD. Normal appearances and dimensions of the foetal cavum septi pellucidi and vergae on in utero MR imaging. Neuroradiology 2020;62:617-27. [Crossref] [PubMed]
- Cooper S, Katorza E, Berkenstadt M, Hoffmann C, Achiron R, Bar-Yosef O. Prenatal abnormal width of the cavum septum pellucidum - MRI features and neurodevelopmental outcome. J Matern Fetal Neonatal Med 2018;31:3043-50. [Crossref] [PubMed]
- Pilliod RA, Pettersson DR, Gibson T, Gievers L, Kim A, Sohaey R, Oh KY, Shaffer BL. Diagnostic accuracy and clinical outcomes associated with prenatal diagnosis of fetal absent cavum septi pellucidi. Prenat Diagn 2018;38:395-401. [Crossref] [PubMed]
- Hosseinzadeh K, Luo J, Borhani A, Hill L. Non-visualisation of cavum septi pellucidi: implication in prenatal diagnosis? Insights Imaging 2013;4:357-67. [Crossref] [PubMed]
- Olsen J, Rhee E, Kuller J, Kennedy A. Evaluation and Significance of Nonvisualization of the Cavum Septum Pellucidum on Prenatal Ultrasonography. Obstet Gynecol Surv 2024;79:477-83. [Crossref] [PubMed]
- Jou HJ, Shyu MK, Wu SC, Chen SM, Su CH, Hsieh FJ. Ultrasound measurement of the fetal cavum septi pellucidi. Ultrasound Obstet Gynecol 1998;12:419-21. [Crossref] [PubMed]
- Griffiths PD, Batty R, Reeves MJ, Connolly DJ. Imaging the corpus callosum, septum pellucidum and fornix in children: normal anatomy and variations of normality. Neuroradiology 2009;51:337-45. [Crossref] [PubMed]
- AIUM-ACR-ACOG-SMFM-SRU Practice Parameter for the Performance of Standard Diagnostic Obstetric Ultrasound Examinations. J Ultrasound Med 2018;37:E13-E24. [Crossref] [PubMed]
- Nagaraj UD, Calvo-Garcia MA, Kline-Fath BM. Abnormalities Associated With the Cavum Septi Pellucidi on Fetal MRI: What Radiologists Need to Know. AJR Am J Roentgenol 2018;210:989-97. [Crossref] [PubMed]
- Fantasia I, Ciardo C, Bracalente G, Filippi E, Murru FM, Spezzacatene A, Bin M, Mendez Quintero O, Montaguti E, Lees C, Papanikolaou K, Pilu G, Prefumo F, Thilaganathan B, Stampalija T. Obliterated cavum septi pellucidi: Clinical significance and role of fetal magnetic resonance. Acta Obstet Gynecol Scand 2023;102:744-50. [Crossref] [PubMed]
- Manganaro L, Capuani S, Gennarini M, Miceli V, Ninkova R, Balba I, Galea N, Cupertino A, Maiuro A, Ercolani G, Catalano C. Fetal MRI: what's new? A short review. Eur Radiol Exp 2023;7:41. [Crossref] [PubMed]
- Zhu Z, Xue X, Tang T, Luo C, Li Y, Chen J, et al. Improving Image Quality and Decreasing SAR With High Dielectric Constant Pads in 3 T Fetal MRI. J Magn Reson Imaging 2025;61:2505-15. [Crossref] [PubMed]
- Griffiths PD, Jarvis D. Analysis of 270 fetuses with non-visualization of cavum septi pellucidi and vergae on in-utero magnetic resonance imaging. Ultrasound Obstet Gynecol 2020;56:732-9. [Crossref] [PubMed]
- Patelli C, Berti G, Marra MC, Lu JLA, Resta S, Mappa I, Rizzo G. Modeling fetal cavum septum pellucidi width by quantile regression at 18-34 weeks of gestation: A prospective cross-sectional study. J Clin Ultrasound 2023 Nov-;51:1466-71.
- Kertes I, Hoffman D, Yahal O, Berknstadt M, Bar-Yosef O, Ezra O, Katorza E. The normal fetal Cavum Septum Pellucidum in MR imaging - New biometric data. Eur J Radiol 2021;135:109470. [Crossref] [PubMed]
- Tuma R, Odeh M, Wolf M, Sgayer I, Bragazzi NL, Khamisy-Farah R. Volume Measurement of the Cavum Septi Pellucidi: Normative Values Between 20 and 40 Weeks of Gestation. Isr Med Assoc J 2024;26:236-9.
- Chen S, Xu Y, Ye M, Li Y, Sun Y, Liang J, Lu J, Wang Z, Zhu Z, Zhang X, Zhang B. Predicting MGMT Promoter Methylation in Diffuse Gliomas Using Deep Learning with Radiomics. J Clin Med 2022;11:3445. [Crossref] [PubMed]
- Wang Q, Pei J, Ouyang J, Chen Y, Pu J, Humayun A, Zhao D, Liu B. A method framework of automatic localization and quantitative segmentation for the cavum septum pellucidum complex and the cerebellar vermis in fetal brain ultrasound images. Quant Imaging Med Surg 2023;13:6059-88. [Crossref] [PubMed]
- Hasan MA, Haque F, Roy T, Islam M, Nahiduzzaman M, Hasan MM, Ahsan M, Haider J. Prediction of fetal brain gestational age using multihead attention with Xception. Comput Biol Med 2024;182:109155. [Crossref] [PubMed]
- Kebiri H, Gholipour A, Lin R, Vasung L, Calixto C, Krsnik Ž, Karimi D, Bach Cuadra M. Deep learning microstructure estimation of developing brains from diffusion MRI: A newborn and fetal study. Med Image Anal 2024;95:103186. [Crossref] [PubMed]
- Cuschieri S. The STROBE guidelines. Saudi J Anaesth 2019;13:S31-4. [Crossref] [PubMed]
- Isensee F, Jaeger PF, Kohl SAA, Petersen J, Maier-Hein KH. nnU-Net: a self-configuring method for deep learning-based biomedical image segmentation. Nat Methods 2021;18:203-11. [Crossref] [PubMed]
- Xu J, Moyer D, Grant PE, Golland P, Iglesias JE, Adalsteinsson E. SVoRT: Iterative Transformer for Slice-to-Volume Registration in Fetal Brain MRI. Med Image Comput Comput Assist Interv 2022;13436:3-13. [Crossref] [PubMed]
- Tourbier S, Velasco-Annis C, Taimouri V, Hagmann P, Meuli R, Warfield SK, Bach Cuadra M, Gholipour A. Automated template-based brain localization and extraction for fetal brain MRI reconstruction. Neuroimage 2017;155:460-72. [Crossref] [PubMed]
- Huang S, Zhang X, Cui Z, Zhang H, Chen G, Shen D. Tissue Segmentation of Thick-Slice Fetal Brain MR Scans With Guidance From High-Quality Isotropic Volumes. IEEE Trans Biomed Eng 2024;71:1404-15. [Crossref] [PubMed]
- Toi A, Chitayat D, Blaser S. Abnormalities of the foetal cerebral cortex. Prenat Diagn 2009;29:355-71. [Crossref] [PubMed]
- Gaiser KB, Schindewolf EM, Conway LJ, Coleman BG, Oliver ER, Rychik JR, Debari SE, Mcdonald-Mcginn DM, Zackai EH, Moldenhauer JS, Gebb JS. Enlarged cavum septum pellucidum and small thymus as markers for 22q11.2 deletion syndrome. Prenat Diagn 2024;44:796-803. [Crossref] [PubMed]
- Sundarakumar DK, Farley SA, Smith CM, Maravilla KR, Dighe MK, Nixon JN. Absent cavum septum pellucidum: a review with emphasis on associated commissural abnormalities. Pediatr Radiol 2015;45:950-64. [Crossref] [PubMed]
- Lerman-Sagie T, Pogledic I, Leibovitz Z, Malinger G. A practical approach to prenatal diagnosis of malformations of cortical development. Eur J Paediatr Neurol 2021;34:50-61. [Crossref] [PubMed]
- Montaguti E, Cariello L, Brunelli E, Youssef A, Livi A, Salsi G, Pilu G. Sonography of fetal holoprosencephaly: a guide to recognize the lesser varieties. J Matern Fetal Neonatal Med 2022;35:9717-23. [Crossref] [PubMed]
- Calixto C, Dorigatti Soldatelli M, Jaimes C, Pierotich L, Warfield SK, Gholipour A, Karimi D. A detailed spatiotemporal atlas of the white matter tracts for the fetal brain. Proc Natl Acad Sci U S A 2025;122:e2410341121. [Crossref] [PubMed]
- Calixto C, Machado-Rivas F, Cortes-Albornoz MC, Karimi D, Velasco-Annis C, Afacan O, Warfield SK, Gholipour A, Jaimes C. Characterizing microstructural development in the fetal brain using diffusion MRI from 23 to 36 weeks of gestation. Cereb Cortex 2024;34:bhad409. [Crossref] [PubMed]
- Ambwani G, Shi Z, Luo K, Jeong JW, Tan S. Distinguishing Laterality in Brain Injury in Rabbit Fetal Magnetic Resonance Imaging Using Novel Volume Rendering Techniques. Dev Neurosci 2025;47:55-67. [Crossref] [PubMed]
- Cinar A, Sezik M, Yalcin SE, Yavuz A. Reference intervals and reliability of cavum septi pellucidi volume measurements by three-dimensional ultrasound between 19 and 24 weeks' gestation. J Perinat Med 2020;49:333-9. [Crossref] [PubMed]
- Tao G, Lu G, Zhan X, Li J, Cheng L, Lee K, Poon WS. Sonographic appearance of the cavum septum pellucidum et vergae in normal fetuses in the second and third trimesters of pregnancy. J Clin Ultrasound 2013;41:525-31. [Crossref] [PubMed]
- Karl K, Esser T, Heling KS, Chaoui R. Cavum septi pellucidi (CSP) ratio: a marker for partial agenesis of the fetal corpus callosum. Ultrasound Obstet Gynecol 2017;50:336-41. [Crossref] [PubMed]
- Borkowski-Tillman T, Garcia-Rodriguez R, Viñals F, Branco M, Kradjen-Haratz K, Ben-Sira L, Lerman-Sagie T, Malinger G. Agenesis of the septum pellucidum: Prenatal diagnosis and outcome. Prenat Diagn 2020;40:674-80. [Crossref] [PubMed]
- Mlodawski J, Zmelonek-Znamirowska A, Mlodawska M, Detka K, Białek K, Swiercz G. Repeatability and reproducibility of artificial intelligence-acquired fetal brain measurements (SonoCNS) in the second and third trimesters of pregnancy. Sci Rep 2024;14:25076. [Crossref] [PubMed]
- Bekmukhambetov YZ, Mynbaev OA, Tinelli A, Balmagambetova SK, Koyshybaev AK, Urazayev ON, Ismagulova EK, Zavalennaya OV, Koktova SE, Sarkulova KK, Urazayeva Z, Yerimbetova GG, Dosakhanov ZA, Shi Z, Ma L, Firichenko SV, Kosmas IP, Tauekelova KA. Human Papillomavirus related issues in western Kazakhstan: protocol for a comprehensive study. Russian Open Medical Journal 2018;7:e0408.
- Yang Y, Deng L, Li X, Shi Z, Chen D, Chen X, Li M, Ma L. Evaluation of the prognosis of fulminant viral hepatitis in late pregnancy by the MELD scoring system. Eur J Clin Microbiol Infect Dis 2012;31:2673-8. [Crossref] [PubMed]
- Yang Y, Deng L, Li X, Shi Z, Jiang P, Chen D, Yu Y, Wang Z, Tang X, Zhao S, Feng L, Tan H, Ma L. Analysis of prognosis-associated factors in fulminant viral hepatitis during pregnancy in China. Int J Gynaecol Obstet 2011;114:242-5. [Crossref] [PubMed]

