Benign and malignant uptake in the postoperative diagnosis of gastrointestinal tumors: a comparative study of 68Ga-FAPI-04 and 18F-FDG
Introduction
Gastrointestinal (GI) cancer is among the top ten cancers in terms of global incidence and mortality rates, accounting for 26% of all cancer cases and 35% of cancer-related deaths worldwide (1). Surgical resection remains the most commonly used treatment for patients with esophageal cancer (EC), gastric cancer (GC), and colorectal cancer (CRC) (2). Due to the high metastasis rate and low rate of radical resection, postoperative recurrence is common among patients with GI tumors (3). Therefore, early and accurate assessment of disease progression after surgery is crucial (4). However, the physiological uptake of fluorine-18 fluorodeoxyglucose (18F-FDG) in the GI tract and its high uptake in inflammatory lesions may affect the postoperative diagnosis. In addition, 18F-FDG imaging has a poor imaging effect on low-metabolic tumors.
Cancer-associated fibroblasts (CAFs) are key components of the tumor stroma and play a critical role in cancer invasion and metastasis within the tumor microenvironment (5). Fibroblast activation protein (FAP) is overexpressed in the CAFs of most epithelial tumors (6,7). Several studies have shown that the radio-tracer gallium-68-labeled fibroblast activation protein inhibitor-04 (68Ga-FAPI-04) has higher sensitivity in diagnosing primary GI tumors (8,9), liver metastases (10,11), peritoneal metastases (12), and bone metastases (13), with minimal expression in healthy organs (5,14) than does 18F-FDG. Compared to the conventional glucose analog 18F-FDG, FAP inhibitors (FAPIs) have emerged as excellent PET probes for accurately detecting a wide range of cancers, gaining significant attention in the field.
Although FAPI expression is extremely rare in normal tissues, some cases still exhibit high uptake in nonmalignant sites, such as the joints (15), muscles (16), uterus (17), and pancreas (18) [maximum standardized uptake value (SUVmax) >2.5]. In our work, we observed a notably high 68Ga-FAPI-04 uptake (SUVmax =11.97) in a case of benign pancreatic ductal adenoma. Based on these observations, we conducted a retrospective study comparing the diagnostic efficiency of 18F-FDG positron emission tomography-computed tomography (PET/CT) and 68Ga-FAPI-04 PET-magnetic resonance imaging (PET/MRI) for the postoperative evaluation of GI cancers. We further investigated and compared the uptake of benign and malignant lesions postsurgery. Additionally, we generated receiver operating characteristic (ROC) curves to further compare and analyze the diagnostic efficacy of the two radiotracers.
We hypothesized that 68Ga-FAPI-04 PET/MRI is more effective than is conventional 18F-FDG PET/CT in diagnosing postoperative malignant lesions in GI tumors, with more prominent radiotracer uptake and superior diagnostic performance. However, for other lesions, both benign and malignant lesions demonstrate high uptake with 68Ga-FAPI-04. Therefore, for accurate diagnosis, clinicians should combine FAPI data with other indicators to avoid misdiagnosis. Optimal results can be achieved through long-term experience. We present this article in accordance with the STARD reporting checklist (available at https://qims.amegroups.com/article/view/10.21037/qims-2025-670/rc).
Methods
Participants
This retrospective clinical investigation was carried out at the First Affiliated Hospital of Anhui Medical University from February 2023 to June 2023. A total of 16 participants were enrolled based on a comprehensive evaluation integrating imaging findings, clinical assessments [including age and Karnofsky performance status (KPS) score], and pathological results. The study protocol received approval from the Institutional Review Board (IRB) of the First Affiliated Hospital of Anhui Medical University (ethics No. PJ2022-05-09) and this study was registered in ClinicalTrials.gov (identifier: NCT06270394). This study was conducted in accordance with the Declaration of Helsinki and its subsequent amendments. All participants provided their written informed consent prior to their enrollment in the study. The inclusion criteria were as follows: (I) surgical treatment; (II) postoperative histopathological confirmation of GI malignancy; and (III) no history of other tumors. Due to the relatively long scanning time of PET/MRI, the exclusion criteria were set as follows: (I) age 75 years or older; (II) implantation of ferromagnetic objects; (III) a KPS score of 80 or lower; and (IV) claustrophobia. On this basis, these patients were required to have both 68Ga-FAPI-04-avid benign lesions and malignant lesions to enable comparison. For all patients, the median interval from GI cancer surgery to the postoperative surveillance scan that identified suspected recurrence was 15.5 months (range, 1 month to 7 years). Prior to 18F-FDG PET/CT scanning, 6 patients had undergone biopsies; however, all biopsies were performed ≥6 weeks before the 18F-FDG PET/CT scan to minimize inflammatory interference. The detailed flowchart of the study design is presented in Figure 1.
Preparation of 68Ga-FAPI-04 and 18F-FDG
With reference to Lindner et al.’s (19) pioneering work on 68Ga-FAPI-04 targeting FAP, radiotracer synthesis in this study was performed as follows: For generator elution, a 68Ge/68Ga generator was eluted with 3.0 mL of 0.1 M hydrochloric acid solution. For the reaction setup, the eluate was mixed with 20 µg of FAPI precursor (≥98% purity; molecular weight 872.91; Huayi Isotope Co., Changshu, China) and 375 µL of 1.25 M sodium acetate buffer. For radiolabeling, the reaction mixture was incubated at 95 ℃ for 10 minutes in a thermostatic heating block. In purification, the crude product was passed through an activated Sep-Pak light 18C cartridge (Shanghai Xintuo Trading Co., Ltd., Shanghai, China). The radiolabeled tracer retained on the Sep-Pak light 18C cartridge was eluted with 0.8 mL of 80% ethanol and filtered through a 0.2-µm microporous filter membrane (Pall Corporation, Port Washington, NY, USA) to remove impurities, yielding the final product. 68Ga-FAPI-04 was formulated in house at the First Affiliated Hospital of Anhui Medical University under current good manufacture practices-compliant conditions. For comparison, 18F-FDG was directly sourced from Nanjing Jiangyuan Andico Positron Research and Development Co., Ltd. (Nanjing, China). The product underwent rigorous purification prior to clinical use, with a radiochemical purity >95% being achieved, as confirmed by high-performance liquid chromatography.
PET/MRI and PET/CT imaging
18F-FDG PET/CT and 68Ga-FAPI PET/MRI scans were independently performed by two certified nuclear medicine technologists. The injection of 68Ga-FAPI-04 was carried out after the completion of 18F-FDG metabolism in the body. The interval between 18F-FDG PET/CT and 68Ga-FAPI-04 PET/MRI examinations was no more than 4 days. The PET/MRI scan was conducted with a SIGNA PET/MRI scanner (GE HealthCare, Chicago, IL, USA) with a coil configuration of one specialized head-neck coil and two flexible body coils. Patients did not need to fast before the examination. 68Ga-FAPI-04 (1.85–3.7 MBq/kg) was injected intravenously, and imaging was performed approximately 40 minutes after injection. A step-scan acquisition mode was used. Acquisitions were corrected for respiratory motion through the application of respiratory gating. The scan covered a range from the top of the head to the upper thigh and had a duration of 60±10 minutes. Multiparametric MRI sequences, including T1-weighted imaging (T1WI) (echo time =15–25 ms and repetition time =300–600 ms) and T2-weighted imaging (T2WI) (echo time =80–130 ms and repetition time >2,000 ms) of the head, neck, chest, abdomen, and pelvis, were acquired. The PET reconstruction was carried out with the ordered subsets expectation maximization, time-of-flight, and point-spread function algorithms, with 2 iterations, 28 subsets, a 440×440 matrix, and a 5-mm Gaussian filter. For routine PET/CT imaging, the standard 18F-FDG PET/CT protocol was implemented under a dedicated clinical workflow within 4 days prior to the 68Ga-FAPI-04 PET/MRI examination.
In this study, we deliberately used both PET/MRI and PET/CT instead of only PET/CT. The reason we chose PET/MRI as the scanning modality for the expected group is mainly due to its practical advantages. PET/MRI has an integrated imaging function and can synergistically combine the results of T1WI, T2WI, diffusion-weighted imaging (DWI), and the apparent diffusion coefficient (ADC) obtained from MR scans. This enables a more accurate and detailed assessment of the benign or malignant nature of lesions. The reduced radiation dose associated with PET/MRI was also an important consideration, especially for patients who may require multiple imaging sessions over time. The comparison of these two modalities was applied to improve the overall validity and reliability of our research results. However, precisely because we used two types of equipment, cross-modality standardization was necessary when we conducted semiquantitative parameter comparisons. The specific methods are described in the section “Semiquantitative image analysis and cross-modality standardization” below.
Imaging analysis
Image interpretation and follow-up validation
Two nuclear medicine physicians with ≥10 years of experience and no access to clinical data (CT, MRI, endoscopic findings, or pathological results) independently interpreted 68Ga-FAPI-04 PET/MRI and 18F-FDG PET/CT images from the syngo.via MM Oncology toolset (Siemens Healthineers, Erlangen, Germany) under blinded conditions. The image interpretation focused on identifying benign and malignant lesions at the anastomotic site, lymph nodes, and other organs, with diagnostic outcomes systematically recorded. In cases of uncertain examination results or disagreements between the two parties, a third clinician with more than 5 years of experience in nuclear medicine conduct an appraisal and analysis to avoid subjectivity.
After scanning, each patient was followed up for at least 1 year. During this period, a benign lesion was defined as a nonmalignant pathological biopsy result, stable imaging findings (CT/MRI), or a lesion that did not respond to systemic chemotherapy and showed no progression 1 year after the end of treatment. Conversely, a malignant lesion was confirmed by gastroscopy/pathological examination or imaging studies demonstrating disease progression. In this study, a true positive was defined as a situation in which the actual lesion was malignant, and the physician, through blinded interpretation of 18F-FDG PET and 68Ga-FAPI-04 PET images, also diagnosed it as malignant. A false positive was defined as a scenario in which the actual lesion was benign, but the physician diagnosed it as malignant. A true negative was defined as a scenario in which actual lesion was benign, and the physician also diagnosed it as such. A false negative was defined as a scenario in which the actual lesion was malignant, yet the physician diagnosed it as benign. In the qualitative image interpretation, we compared the sensitivity, specificity, accuracy, positive predictive value (PPV), and negative predictive value (NPV) of 18F-FDG PET/CT and 68Ga-FAPI-04 PET/MRI in the diagnosis of benign and malignant lesions.
It is worth noting that the patient data we collected were postoperative and that the patients had already experienced surgical trauma. Pathological analysis is an invasive examination. Therefore, for some small benign lesions that have little impact on the body and show no obvious symptoms or signs of malignancy, clinicians will comprehensively consider and not recommend invasive pathological examinations to avoid causing unnecessary harm to patients. Moreover, some lesions in deep-seated parts of the body, such as retroperitoneal lesions, are inherently difficult to explore through pathological means. Thus, except for the sites that suggested recurrence or metastasis in routine examinations of postoperative patients, for which we conducted pathological examinations as clinically required, we determined the lesions' status through imaging or endoscopic follow-up. Only lesions with definitive results were retained, while lesions with indeterminate results were excluded from the study.
Semiquantitative image analysis and cross-modality standardization
The region of interest (ROI) was manually delineated by experienced operators. We used syngo.via software within the MM Oncology toolset to automatically compute the SUVmax, which serves as a crucial parameter for quantifying the radiotracer uptake in the lesions.
SUVmax values were automatically generated via syngo.via MM Oncology; however, direct comparison between PET/CT and PET/MRI SUVmax was precluded due to the inherent differences in imaging principles, acquisition protocols, and attenuation correction algorithms. To address this, target-to-background ratios (TBRs) were calculated (10,20). More specifically, the target-to-muscle ratio (TBR-M) was calculated as follows: TBR-M = lesion SUVmax/muscle SUVmax; the target-to-aorta ratio (TBR-A) was calculated as follows: TBR-A = lesion SUVmax/descending aorta SUVmax; the target-to-liver ratio (TBR-L) was calculated as follows: TBR-L = lesion SUVmax/liver SUVmax. These semiquantitative metrics enabled cross-modality comparison while preserving lesion-specific uptake characteristics.
Plotting of the ROC curve
A comparison was made between the diagnostic efficacy of two tracers, 18F-FDG and 68Ga-FAPI-04, with reference to anastomotic sites, lymph nodes, and other lesions, based on various parameters, including SUVmax, TBR-M, TBR-A, and TBR-L. The indicators included area under the curve (AUC), 95% confidence interval (CI), P value, cutoff value, sensitivity, and specificity, which provided comprehensive data for evaluating the diagnostic performance of the two tracers at different lesion sites.
Statistical analysis
Statistical analysis was performed via SPSS 26.0 software (IBM Corp., Armonk, NY, USA). The qualitative study included the diagnostic attributes of 18F-FDG PET/CT and 68Ga-FAPI-04 PET/MRI, including sensitivity, specificity, accuracy, PPV, and NPV. When comparing the above-mentioned diagnostic attributes using a row × column contingency table for binary categorical variables, we used the Chi-squared test when the total number of lesions was ≥40 and the minimum theoretical frequency (T) was ≥5. When the total number of lesions was ≥40 and at least one theoretical frequency met the condition of 1≤ T <5, the corrected Chi-squared test was applied. When the total number of lesions was less than 40 or the minimum theoretical frequency in at least one cell was less than 1, the Fisher exact probability method was used.
In the semiquantitative analysis of the two tracers, the arrays that conformed to the normal distribution are represented by the mean ± standard deviation, while those that did not conform to the normal distribution are represented by the median ± interquartile range. For determining whether there were differences in TBR-M, TBR-A, and TBR-L between the two tracers, 18F-FDG and 68Ga-FAPI-04, for benign and malignant anastomotic sites, lymph nodes, and other lesions, we used the paired t-test for data that conformed to a normal distribution, while the Wilcoxon rank-sum test was used for data that did not conform to a normal distribution. When comparing the uptake differences of the same tracer between benign and malignant lesions, since the imaging were are the same, we used the SUVmax directly for comparison. Given that the samples were different, the independent two-sample t-test was applied to the data that followed a normal distribution, while the Mann-Whitney test was used for the data that did not follow a normal distribution. The P value of the ROC curve was automatically calculated via GraphPad software version 8.0.2 (Dotmatics, Boston, MA, USA).
Color-coding of 18F-FDG and 68Ga-FAPI-04 uptake in benign and malignant lesions
We selected three representative patients with both benign and malignant lesions at the anastomotic site, lymph nodes, and other organs. Except for the known conventional physiological uptake of 18F-FDG, the areas with a SUVmax of radioactive uptake greater than 2.5 were marked with colors. For 68Ga-FAPI-04, the malignant areas were marked red and the benign areas were marked blue. For 18F-FDG, the malignant areas were marked green and the benign areas were marked yellow (Figures 2-4).
Results
A total of 16 patients were finally included in this study (age 61.00±6.08 years; 11 males and 5 females). All participants underwent both 18F-FDG PET/CT and 68Ga-FAPI-04 PET/MRI within 4 days of one another. Among these patients, 15 (15/16, 93.75%) had developed other metastases. Based on the 1-year follow-up results in this comparative study, including pathological findings, gastroscopy, and follow-up CT/MRI, we identified 3 cases of anastomotic recurrence, 23 benign anastomotic sites, 49 lymph node metastases, 22 benign lymph nodes, 25 other metastases, and 22 benign other lesions. Focal high uptake of 68Ga-FAPI-04 (SUVmax >7.00) was observed in the benign anastomotic sites of two participants, the benign lymph nodes of four participants, and the benign pancreas of three participants, which could have easily led to misdiagnosis. All patients were followed up for 1 year until July 2024. This study was conducted to discern the uptake pattern of 68Ga-FAPI-04 and to compare it with that of the traditional 18F-FDG. The basic information of all patients is shown in Table 1.
Table 1
| Characteristic | Value (n=16) |
|---|---|
| Age (years) | 61 [52–74] |
| Sex | |
| Male | 11 (68.75) |
| Female | 5 (31.25) |
| The primary site of cancer | |
| Esophagus | 6 (37.50) |
| Stomach | 5 (31.25) |
| Colon | 4 (25.00) |
| Rectum | 1 (6.25) |
| Pathology | |
| Squamous cell carcinoma | 5 (31.25) |
| Adenocarcinoma | 8 (50.00) |
| Mucinous cancer | 1 (6.25) |
| Miscellaneous | 2 (12.50) |
| Degree of differentiation | |
| Moderately | 8 (50.00) |
| Poorly | 4 (25.00) |
| N/A | 4 (25.00) |
| Pathological tumor staging | |
| pT1b | 1 (6.25) |
| pT2 | 2 (12.50) |
| pT3 | 8 (50.00) |
| pT4 | 3 (18.75) |
| N/A | 2 (12.50) |
| Pathological lymph node staging | |
| pN0 | 5 (31.25) |
| pN1–N1b | 5 (31.25) |
| pN3–N3a | 3 (18.75) |
| pNx | 1 (6.25) |
| N/A | 2 (12.50) |
| M staging | |
| M0 | 1 (6.25) |
| M1 | 15 (93.75) |
Data are presented as n (%) or median [range]. M, metastasis; N, node; N/A, not applicable; T, tumor.
Analysis of the anastomotic site
Comparison of the diagnostic performance of the two tracers for anastomotic sites
There were no statistically significant differences in the sensitivity, specificity, accuracy, PPV, or NPV between the two imaging agents for the detection of recurrent anastomotic sites (P=0.40, P=0.53, P=0.24, P=0.30, and P=0.23, respectively) (Table 2). However, this does not imply that 68Ga-FAPI-04 has no potential advantages in the diagnosis of postoperative anastomotic sites. The result of no statistical difference could have been due to the relatively small number of anastomotic recurrence cases we collected. It is widely known that anastomotic sites produce the nonspecific uptake of 18F-FDG during healing, affecting the diagnosis. In the detection of anastomotic sites, the specificity of the 68Ga-FAPI-04 detection group (17/23, 73.91%) was slightly higher than that of the 18F-FDG group (14/23, 60.87%) (P=0.35); meanwhile, the false-positive rate in the 68Ga-FAPI-04 detection group (6/23, 26.09%) was slightly lower than that of the 18F-FDG group (9/23, 39.13%) (P=0.35). 68Ga-FAPI-04 should have the ability to produce a low misdiagnosis rate, but the difference was not statistically significant in this study.
Table 2
| Site | Diagnostic test performance metrics | Examination method | Value, number of lesions/total number of lesions (percentage) | P value |
|---|---|---|---|---|
| Anastomotic site of recurrence | Sensitivity | 18F-FDG PET/CT | 1/3 (33.33) | 0.4 |
| 68Ga-FAPI-04 PET/MRI | 3/3 (100.00) | |||
| Specificity | 18F-FDG PET/CT | 14/23 (60.87) | 0.53 | |
| 68Ga-FAPI-04 PET/MRI | 17/23 (73.91) | |||
| Accuracy | 18F-FDG PET/CT | 15/26 (57.69) | 0.24 | |
| 68Ga-FAPI-04 PET/MRI | 20/26 (76.92) | |||
| PPV | 18F-FDG PET/CT | 1/10 (10.00) | 0.30 | |
| 68Ga-FAPI-04 PET/MRI | 3/9 (33.33) | |||
| NPV | 18F-FDG PET/CT | 14/16 (87.50) | 0.23 | |
| 68Ga-FAPI-04 PET/MRI | 17/17 (100.00) | |||
| Lymph node metastasis | Sensitivity | 18F-FDG PET/CT | 39/43 (90.70) | 0.04* |
| 68Ga-FAPI-04 PET/MRI | 43/43 (100.00) | |||
| Specificity | 18F-FDG PET/CT | 11/25 (44.00) | 0.003* | |
| 68Ga-FAPI-04 PET/MRI | 21/25 (84.00) | |||
| Accuracy | 18F-FDG PET/CT | 50/68 (73.53) | 0.001* | |
| 68Ga-FAPI-04 PET/MRI | 64/68 (94.12) | |||
| PPV | 18F-FDG PET/CT | 39/53 (73.58) | 0.02* | |
| 68Ga-FAPI-04 PET/MRI | 43/47 (91.49) | |||
| NPV | 18F-FDG PET/CT | 11/15 (73.33) | 0.02* | |
| 68Ga-FAPI-04 PET/MRI | 21/21 (100.00) | |||
| Other metastasis | Sensitivity | 18F-FDG PET/CT | 17/25 (68.00) | 0.03* |
| 68Ga-FAPI-04 PET/MRI | 24/25 (96.00) | |||
| Specificity | 18F-FDG PET/CT | 17/24 (70.83) | <0.0001* | |
| 68Ga-FAPI-04 PET/MRI | 1/24 (4.17) | |||
| Accuracy | 18F-FDG PET/CT | 34/49 (69.39) | 0.0005* | |
| 68Ga-FAPI-04 PET/MRI | 25/49 (51.02) | |||
| PPV | 18F-FDG PET/CT | 17/24 (70.83) | 0.11 | |
| 68Ga-FAPI-04 PET/MRI | 24/47 (51.06) | |||
| NPV | 18F-FDG PET/CT | 17/25 (68.00) | 1.0 | |
| 68Ga-FAPI-04 PET/MRI | 1/2 (50.00) |
*, P<0.05. 18F-FDG, 18F-fluorodeoxyglucose; 68Ga-FAPI-04, 68gallium-labeled fibroblast activation protein inhibitor 04; CT, computed tomography; MRI, magnetic resonance imaging; NPV, negative predictive value; PET, positron emission tomography; PPV, positive predictive value.
Semiquantitative comparison of the two tracers for recurrent anastomotic sites
As listed in Table 3, for recurrent anastomotic sites, the mean ± standard deviation values of the TBR-M, TBR-A, and TBR-L for 68Ga-FAPI-04 were all higher than those of 18F-FDG; however, only the difference in TBR-M was statistically significant (5.44, 1.03 vs. 2.61, 1.91; P=0.04).
Table 3
| Nature of the lesion | Site | Semiquantitative parameter | 18F-FDG | 68Ga-FAPI-04 | P value |
|---|---|---|---|---|---|
| Malignant lesion | Anastomotic sites | TBR-M | 2.61, 1.91 | 5.44, 1.03 | 0.04* |
| TBR-A | 1.67, 0.25 | 5.19, 1.99 | 0.11 | ||
| TBR-L | 1.14, 0.07 | 6.92, 4.11 | 0.14 | ||
| Lymph nodes | TBR-M | 3.26±2.03 | 5.06±2.03 | <0.0001* | |
| TBR-A | 2.96±1.71 | 5.66±2.68 | <0.0001* | ||
| TBR-L | 2.18±1.26 | 5.61±3.28 | <0.0001* | ||
| Other lesions | TBR-M | 3.72±4.06 | 8.61±5.24 | 0.0002* | |
| TBR-A | 3.46±2.16 | 6.08±3.45 | <0.0001* | ||
| TBR-L | 2.53±1.86 | 8.48±5.33 | <0.0001* | ||
| Benign lesion | Anastomotic sites | TBR-M | 2.10±0.76 | 1.89±1.16 | 0.36 |
| TBR-A | 1.41±0.48 | 2.07±2.29 | 0.16 | ||
| TBR-L | 0.97±0.37 | 2.41±2.02 | 0.002* | ||
| Lymph nodes | TBR-M | 4.75±4.45 | 2.23±2.59 | 0.007* | |
| TBR-A | 1.87±0.80 | 1.52±1.42 | 0.10 | ||
| TBR-L | 1.34±0.60 | 1.31±1.34 | 0.91 | ||
| Other lesions | TBR-M | 2.35±1.80 | 6.66±3.25 | <0.0001* | |
| TBR-A | 1.43±0.65 | 6.39±2.93 | <0.0001* | ||
| TBR-L | 1.04±0.44 | 7.77±4.53 | <0.0001* |
Normally distributed continuous variables are presented as the mean±SD; nonnormally distributed continuous variables are presented as the median, IQR. *, P<0.05. 18F-FDG, 18F-fluorodeoxyglucose; 68Ga-FAPI-04, 68gallium-labeled fibroblast activation protein inhibitor 04; TBR-A, target-to-aorta ratio; IQR, interquartile range; SD, standard deviation; TBR-L, target-to-liver ratio; TBR-M, target-to-muscle ratio.
In the cases we examined (Figure 2), the anastomotic recurrence and the metastatic infiltration of the surrounding peritoneum showed much higher uptake and a much larger imaging range in the 68Ga-FAPI-04 PET imaging than in the 18F-FDG PET imaging. The gastroscopy at that time did not show anastomotic recurrence, but the gastroscopy 1 month later revealed anastomotic recurrence. The patient’s pathological type was moderately-to-poorly-differentiated adenocarcinoma, indicating that the characteristic of 68Ga-FAPI-04 targeting CAFs makes it more sensitive to early recurrence and has the potential to be applied to the individualized monitoring of high-risk patients.
Semiquantitative comparison of the two tracers in normal anastomotic sites
The lower part of Table 3 compares the measurement results of 18F-FDG and 68Ga-FAPI-04 tracers in terms of TBR-M, TBR-A, and TBR-L in benign anastomotic sites. Specifically, regarding TBR-L, the measurement value of 68Ga-FAPI-04 was higher than that of 18F-FDG (2.41±2.02 vs. 0.97±0.37), and a significant difference was observed between the two (P=0.002). In terms of TBR-M and TBR-A, statistical tests showed no significant differences between 68Ga-FAPI-04 and 18F-FDG (P=0.36 and P=0.16, respectively).
ROC curve analysis for the diagnostic performance of 18F-FDG and 68Ga-FAPI-04 in anastomotic site detection
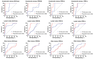
For anastomotic site detection, the SUVmax parameter of 18F-FDG yielded an AUC of 0.725, with a sensitivity of 100% but a specificity of only 60.87%, and a P value of 0.214, which was not statistically significant. The SUVmax parameter of 68Ga-FAPI-04 performed excellently, with an AUC of 0.957, a sensitivity of 100%, a specificity of 95.65%, and a P value of 0.012, which was statistically significant. Under the TBR-M, TBR-A, and TBR-L parameters, 68Ga-FAPI-04 also demonstrated higher AUCs and several P values with statistical significance, indicating its superior performance in anastomotic site diagnosis as compared to 18F-FDG.
Analysis of lymph nodes
Comparison of the diagnostic performance of the two tracers for lymph nodes
The detection sensitivity of 68Ga-FAPI-04 PET/MRI for malignant lymph nodes reached 100% (43/43), which was significantly higher than that of 18F-FDG PET/CT, which was 90.70% (39/43) (P=0.04). Meanwhile, the specificity of 68Ga-FAPI-04 PET/MRI was 84.00% (21/25), nearly double that of 18F-FDG PET/CT (11/25, 44.00%) (P=0.003), indicating that this technique has a significant advantage in reducing false positives. The overall diagnostic accuracy of 68Ga-FAPI-04 PET/MRI was 94.12% (64/68), which was 20.59 percentage points higher than that of 18F-FDG PET/CT (50/68, 73.53%) (P=0.001), suggesting its higher reliability in clinical decision-making. Among the positive results of 68Ga-FAPI-04 PET/MRI, 91.49% (43/47) were true positives, which was significantly higher than the 73.58% (39/53) of 18F-FDG (P=0.02). In this study, the negative results of 68Ga-FAPI-04 PET/MRI completely excluded malignancy (100%), while 18F-FDG had a 26.67% risk of missed diagnosis (P=0.02).
Semiquantitative comparison of the two tracers for metastatic lymph nodes
After GI tumor surgery, the analysis of semiquantitative parameters related to lymph nodes was conducted to further understand the performance of different tracers in evaluating the status of lymph nodes. For metastatic malignant lymph nodes, there were significant differences in the TBR-M, TBR-A, and TBR-L measured by 18F-FDG and 68Ga-FAPI-04 (all P values <0.0001). The TBR-M, TBR-A, and TBR-L values produced by 68Ga-FAPI-04 were 5.06±2.03, 5.66±2.68, and 5.61±3.28, respectively, which were all significantly higher than those of 18F-FDG, which were 3.26±2.03, 2.96±1.71, and 2.18±1.26, respectively.
Semiquantitative comparison of the two tracers in normal and inflammatory lymph nodes
In terms of inflammatory lymph nodes, there was a significant difference in TBR-M between 18F-FDG and 68Ga-FAPI-04 (P=0.007). The TBR-M of 18F-FDG was 4.75±4.45, which was higher than the 2.23±2.59 of 68Ga-FAPI-04. However, there were no significant differences in TBR-A or TBR-L between the two (P=0.10 and P=0.91). The TBR-A and TBR-L of 18F-FDG were 1.87±0.80 and 1.34±0.60, respectively, while those 68Ga-FAPI-04 were 1.52±1.42 and 1.31±1.34, respectively.
These results indicate that 68Ga-FAPI-04 has obvious semiquantitative parameter advantages over 18F-FDG in differentiating metastatic malignant lymph nodes after GI tumor surgery. In the evaluation of inflammatory lymph nodes, the two tracers were different in terms of TBR-M but similar in terms of TBR-A and TBR-L.
ROC curve analysis for the diagnostic performance of 18F-FDG and 68Ga-FAPI-04 in lymph node detection using
The lymph node detection results revealed that both 18F-FDG and 68Ga-FAPI-04 exhibited high AUC values for the SUVmax, TBR-A, and TBR-L parameters, with 68Ga-FAPI-04 showing statistically significant P values below 0.0001. Additionally, 68Ga-FAPI-04 demonstrated a high sensitivity of 95.92% for the SUVmax parameter, surpassing the sensitivity of 73.47% observed with 18F-FDG. For the TBR-M parameter, the AUC of 68Ga-FAPI-04 was 0.863, significantly higher than the 0.532 AUC of 18F-FDG, highlighting the superior overall diagnostic performance of 68Ga-FAPI-04 in lymph node detection.
Analysis of other lesions
Comparison of the diagnostic performance of the two tracers for other benign and malignant lesions
Table 2 shows that in terms of sensitivity, the detection sensitivity of 18F-FDG PET/CT for other metastatic lesions (17/25, 68.00%) was lower than that of 68Ga-FAPI-04 PET/MRI (24/25, 96.00%), representing a significant difference (P=0.03). This result indicates that 68Ga-FAPI-04 PET/MRI has a higher detection ability than does 18F-FDG PET/CT in identifying other metastatic lesions and can effectively reduce the risk of missed diagnosis. Meanwhile, the specificity of 18F-FDG PET/CT was 70.83% (17/24), while the specificity of 68Ga-FAPI-04 PET/MRI was only 4.17% (1/24), and the difference between the two was highly statistically significant (P<0.0001). This suggests that 18F-FDG PET/CT has a relative advantage in discriminating other lesions as nonmetastatic (normal tissue or benign lesions), while 68Ga-FAPI-04 PET/MRI has a higher false-positive rate.
In terms of accuracy, the overall diagnostic accuracy of 18F-FDG PET/CT was 69.39% (34/49), while that of 68Ga-FAPI-04 PET/MRI was 51.02% (25/49), representing a significant difference (P=0.0005). This shows that 18F-FDG PET/CT has higher reliability than does 68Ga-FAPI-04 PET/MRI in comprehensively judging the metastatic status of other lesions. In terms of PPV, the true-positive proportion of positive results of 18F-FDG PET/CT was 70.83% (17/24), while that of 68Ga-FAPI-04 PET/MRI was 51.06% (24/47), which was not a significant difference (P=0.11). In terms of NPV, the true-negative proportion of negative results of 18F-FDG PET/CT is 68.00% (17/25), while that of 68Ga-FAPI-04 PET/MRI is 50.00% (1/2), also not representing a significant difference (P>0.99).
In summary, 68Ga-FAPI-04 PET/MRI demonstrated a significant sensitivity advantage in detecting other metastatic lesions after GI tumor surgery but has a low specificity and is prone to false-positive results; meanwhile, 18F-FDG PET/CT performs better in terms of specificity and accuracy. Different from that of 18F-FDG, the false-positive uptake of 18F-FDG often indicates metabolically active inflammatory areas or physiological uptake in the intestine, without actual lesions. In contrast, the false-positive uptake of 68Ga-FAPI-04 can reveal benign lesions, such as intraductal papilloma of the pancreas. If used rationally, 68Ga-FAPI-04 can provide superior diagnostic performance in both benign and malignant lesions.
Semiquantitative comparison of the two tracers for other metastases
Table 3 shows the comparison of semiquantitative parameters of the two tracers, 18F-FDG and 68Ga-FAPI-04, in the evaluation of other metastases of GI tumors, indicating significant differences.
The measured values of 68Ga-FAPI-04 were all significantly higher than those of 18F-FDG, including TBR-M (3.72±4.06 vs. 8.61±15.24, P=0.0002), TBR-A (3.46±2.16 vs. 6.08±3.45; P<0.0001), and TBR-L (2.53±1.86 vs. 8.48±5.33; P<0.0001).
Overall, the outstanding performance of 68Ga-FAPI-04 in these three semiquantitative parameters strongly implies that it has a stronger affinity for other metastatic lesions of GI tumors and can more efficiently accumulate at the metastatic sites, presenting higher uptake signals than 18F-FDG in the images. Thus, 68Ga-FAPI-04 has obvious potential advantages over 18F-FDG in detecting other metastases of GI tumors and is likely to help more accurately detect and locate other metastatic foci.
Naturally, these differences in parameters may be the result of various factors such as tumor biological characteristics and the microenvironment of the lesions. Although 68Ga-FAPI-04 produced remarkable results in terms of semiquantitative parameters, in actual clinical application, its specificity and other factors need to be comprehensively considered to prevent the interference of false-positive results.
Semiquantitative comparison of the two tracers in other benign lesions
Table 4 shows the comparison of the semiquantitative parameters of the two tracers, 18F-FDG and 68Ga-FAPI-04, in the evaluation of benign lesions after GI tumor surgery, revealing significant differences between the two.
Table 4
| Site | Radioactive tracer | Malignant | Benign | P value |
|---|---|---|---|---|
| Anastomotic sites | 18F-FDG | 3.62, 0.92 | 3.02, 1.34 | 0.47 |
| 68Ga-FAPI-04 | 7.47, 1.29 | 2.36, 2.25 | 0.0008* | |
| Lymph nodes | 18F-FDG | 6.84±3.70 | 3.72±1.40 | <0.0001* |
| 68Ga-FAPI-04 | 8.14±3.74 | 2.20±1.83 | <0.0001* | |
| Other lesions | 18F-FDG | 6.64±3.59 | 3.20±1.72 | 0.0002* |
| 68Ga-FAPI-04 | 7.87±4.25 | 7.62±3.14 | 0.82 |
Normally distributed continuous variables are presented as the mean ± SD; nonnormally distributed continuous variables are presented as the median, IQR. *, P<0.05. 18F-FDG, 18F-fluorodeoxyglucose; 68Ga-FAPI-04, 68gallium-labeled fibroblast activation protein inhibitor 04; IQR, interquartile range; SD, standard deviation; SUVmax, maximum standardized uptake value.
The measured values of 68Ga-FAPI-04 were all significantly higher than those of 18F-FDG in terms of TBR-M (2.35±1.80 vs. 6.66±3.25; P<0.0001), TBR-A (1.43±0.65 vs. 6.39±2.93; P<0.0001), and TBR-L (7.77±4.53 vs. 1.04±0.44, P<0.0001). These results may imply that 68Ga-FAPI-04 has a stronger binding ability to certain targets in postoperative benign lesion tissues, thus producing a higher uptake level than 18F-FDG in imaging. The higher TBR values suggest that 68Ga-FAPI-04 may more effectively distinguish these lesions from the surrounding normal tissues.A comparison of all semiquantitative parameters is provided in Figure 5 and Tables 3,4.
ROC curve analysis for the comparison of the diagnostic performance between 18F-FDG and 68Ga-FAPI-04 in detecting other lesions
In the detection of other types of metastasis, 18F-FDG yielded high AUC values for the SUVmax, TBR-A, and TBR-L parameters, with P values less than or equal to 0.0001, indicating statistical significance for these parameters. The sensitivity for the SUVmax parameter reached 100%. In contrast, 68Ga-FAPI-04 exhibited lower AUC values than 18F-FDG for these parameters, with most P values not reaching statistical significance, and its sensitivity and specificity were relatively suboptimal. This suggests that based on the cases we collected, 18F-FDG outperforms 68Ga-FAPI-04 in detection of other types of metastasis.
All ROC curve-related results are shown in Figure 6 and Table 5.
Table 5
| Site | Semiquantitative parameter | Radioactive tracer | AUC | 95% CI | P value | Cutoff value | Sensitivity (%) | Specificity (%) |
|---|---|---|---|---|---|---|---|---|
| Anastomotic sites | SUVmax | 18F-FDG | 0.725 | 0.506–0.944 | 0.214 | 2.980 | 100 | 60.87 |
| 68Ga-FAPI-04 | 0.957 | 0.873–1.000 | 0.012* | 5.945 | 100 | 95.65 | ||
| TBR-M | 18F-FDG | 0.544 | 0.100–0.987 | 0.810 | 4.365 | 33.33 | 100 | |
| 68Ga-FAPI-04 | 0.986 | 0.943–1.000 | 0.007* | 4.195 | 100 | 95.65 | ||
| TBR-A | 18F-FDG | 0.732 | 0.534–0.930 | 0.199 | 1.500 | 100 | 65.22 | |
| 68Ga-FAPI-04 | 0.884 | 0.744–1.000 | 0.033* | 2.685 | 100 | 78.26 | ||
| TBR-L | 18F-FDG | 0.754 | 0.571–0.936 | 0.160 | 1.040 | 100 | 65.22 | |
| 68Ga-FAPI-04 | 0.884 | 0.706–1.000 | 0.033* | 2.605 | 100 | 69.57 | ||
| Lymph nodes | SUVmax | 18F-FDG | 0.811 | 0.708–0.915 | <0.0001* | 4.175 | 73.47 | 86.96 |
| 68Ga-FAPI-04 | 0.952 | 0.894–1.000 | <0.0001* | 3.370 | 95.92 | 86.96 | ||
| TBR-M | 18F-FDG | 0.532 | 0.378–0.687 | 0.659 | 7.230 | 97.96 | 21.74 | |
| 68Ga-FAPI-04 | 0.863 | 0.752–0.975 | <0.0001* | 1.990 | 97.96 | 73.91 | ||
| TBR-A | 18F-FDG | 0.768 | 0.652–0.883 | 0.0003* | 2.240 | 63.27 | 91.3 | |
| 68Ga-FAPI-04 | 0.946 | 0.874–1.000 | <0.0001* | 1.925 | 100 | 86.96 | ||
| TBR-L | 18F-FDG | 0.785 | 0.672–0.898 | 0.0001* | 1.620 | 65.31 | 86.96 | |
| 68Ga-FAPI-04 | 0.934 | 0.867–1.000 | <0.0001* | 1.670 | 91.84 | 86.96 | ||
| Other lesions | SUVmax | 18F-FDG | 0.873 | 0.770–0.976 | <0.0001* | 3.030 | 100 | 68.18 |
| 68Ga-FAPI-04 | 0.524 | 0.355–0.693 | 0.782 | 9.180 | 44 | 72.73 | ||
| TBR-M | 18F-FDG | 0.586 | 0.419–0.752 | 0.316 | 1.605 | 68 | 59.09 | |
| 68Ga-FAPI-04 | 0.605 | 0.440–0.769 | 0.220 | 10.23 | 44 | 86.36 | ||
| TBR-A | 18F-FDG | 0.834 | 0.721–0.947 | <0.0001* | 2.345 | 60 | 95.45 | |
| 68Ga-FAPI-04 | 0.527 | 0.359–0.695 | 0.749 | 2.945 | 28 | 95.45 | ||
| TBR-L | 18F-FDG | 0.826 | 0.710–0.941 | 0.0001* | 0.995 | 84 | 68.18 | |
| 68Ga-FAPI-04 | 0.536 | 0.365–0.708 | 0.670 | 9.905 | 48 | 81.82 |
*, P<0.05. 18F-FDG, 18F-fluorodeoxyglucose; 68Ga-FAPI-04, 68gallium-labeled fibroblast activation protein inhibitor 04; AUC, area under the curve; CI, confidence interval; ROC, receiver operating characteristic; SUVmax, maximum standardized uptake value; TBR-A, target-to-aorta ratio; TBR-L, target-to-liver ratio; TBR-M, target-to-muscle ratio.
Discussion
In this preliminary clinical trial, we used 18F-FDG and 68Ga-FAPI-04 to evaluate malignant and benign lesions in postoperative patients with GI tumors as confirmed by histopathology or follow-up. In the diagnosis of malignant lesions (including anastomotic sites, lymph nodes, and other metastases) after GI tumor surgery, 68Ga-FAPI-04 exhibited higher sensitivity than did 18F-FDG, with a significant increase in uptake. ROC analysis showed that 68Ga-FAPI-04 outperformed 18F-FDG in diagnosing these postoperative lesions. Specifically, 68Ga-FAPI-04 PET imaging revealed that cancer lesions at the anastomotic sites (P=0.0008) and lymph nodes (P<0.0001) had significantly higher uptake than did nonmalignant lesions; however, in other lesions, there was no significant difference in uptake between benign and malignant lesions (P=0.82).
As a well-established imaging agent, 18F-FDG plays a key role in the diagnosis and staging of GI tumors, effectively assessing treatment efficacy by facilitating the observation of changes in tumor cell uptake (21,22). However, 18F-FDG is not without limitations, including false-positive uptake in inflammatory lesions and physiological uptake during anastomotic healing (23,24). CAFs are closely linked to tumor cell invasion, angiogenesis, and growth, and their presence often indicates poor prognosis (25). Compared to 18F-FDG, 68Ga-FAPI-04, which targets CAFs, shows no significant physiological uptake in the brain, liver, or GI tract, providing more distinct imaging of malignant GI tumors (26,27), even detecting low-metabolism lesions that 18F-FDG fails to visualize (28). However, research indicates that 68Ga-FAPI-04 shows high uptake in certain benign lesions, such as pancreatic benign lesions (29), arthritis (30,31), and postmyocardial infarction chronic inflammation (32), and our results are in line with this. In our study, the SUVmax reached as high as 11.97 (Figure 4D), with extremely high imaging uptake. Although these benign lesions have no direct connection with postoperative GI tumors, the coexistence of both is quite common. Given that sites with high uptake are generally metastatic or recurrent lesions, the high uptake in benign diseases does not conform to the general perception. As a consequence, it has the potential to interfere with the diagnosis of postoperative metastasis in GI tumors. For benign lesions, the uptake of 18F-FDG in inflammatory lymph nodes within the mediastinum and bilateral lung hilar regions is typically higher than that of 68Ga-FAPI-04. Conversely, in other benign lesions such as intraductal papillary neoplasms of the pancreas, arthritis, postmyocardial infarction fibrosis, and senile obsolete uterus, the uptake of 68Ga-FAPI-04 is generally more pronounced than is 18F-FDG. Despite both tracers demonstrating uptake in benign areas, 68Ga-FAPI-04 exhibited a particularly prominent uptake pattern.
Our findings indicate that the false-positive uptake associated with 18F-FDG commonly stems from physiological uptake, wound healing processes, and inflammatory lesions (33). In contrast, false-positive uptake of 68Ga-FAPI-04 is often linked to specific pathologies, including pancreatic ductal adenomas and postmyocardial infarction fibrosis. In the context of clinical practice, incorporating the patient’s comprehensive medical history, tumor marker data, other imaging characteristics, and the clinician’s specialized knowledge can significantly enhance the diagnostic utility of 68Ga-FAPI-04. For example, the high uptake of 68Ga-FAPI-04 caused by myocardial fibrosis can be easily distinguished, as myocardial tumors are extremely rare, which is a matter of medical common sense.
Unlike previous studies that focused on primary and metastasis tumors (34), our study concentrated on postoperative changes in GI tumors. The addition of the ROC curve and critical value calculations greatly enriched the quantitative indicators. Besides the known uptake in joints (30,31) and uteri of older adults (17), we, for the first time, have also identified benign uptake of fibrosis in renal failure. As experienced clinicians continue to deepen their understanding of disease features and enhance their clinical judgment, 68Ga-FAPI-04 is expected to play a more prominent role in clinical practice.
We further found that in the patients included in our study, during anastomotic recurrence, 68Ga-FAPI-04 showed widespread uptake and a high TBR. We speculate that this might be due to the presence of high fibrous matrix components around the anastomotic sites caused by invasion of the peritoneum, which is crucial for the early postoperative detection of anastomotic recurrence.
In the in-depth study of anastomotic sites, we obtained a series of valuable findings. In their study on anastomotic sites, Li et al. (35) reported that “both tracers (68Ga-FAPI-04 and 18F-FDG) displayed high NPVs in identifying anastomotic recurrence, with 68Ga-FAPI-04 exhibiting higher sensitivity than 18F-FDG”, which is consistent with the results of our study. Moreover, an interesting phenomenon was observed in this study. The uptake of 68Ga-FAPI-04 in normal postoperative anastomotic sites was slightly higher at 3 months than at 6 months (3.51±1.17 vs. 1.42±0.35; P=0.002). Additionally, the SUVmax of 68Ga-FAPI-04 in normal anastomotic sites showed a decreasing trend over time following surgery. The correlation was automatically calculated with GraphPad software v. 8.0.2. Statistical analysis indicated that this downward trend was moderately correlated with postoperative time, with a relatively high degree of confidence (r=−0.51; P=0.01). This result suggests that the uptake of 68Ga-FAPI-04 in normal anastomotic sites exhibited a decreasing trend over the 6-month postoperative follow-up, which may be used as a diagnostic reference. The mechanism underlying this phenomenon may be as follows: early in anastomotic healing, excessive fibrosis leads to a high uptake of 68Ga-FAPI-04, whereas, after 6 months after surgery, the uptake gradually decreases due to collagen fiber remodeling.
More importantly, previous research in this area (35) has not explicitly addressed the comparison between abdominal wall anastomotic sites and other types of anastomotic sites. In this study, we revealed that the absorption rate of abdominal wall anastomotic sites was significantly higher than that of esophagogastric anastomotic sites, esophageal-GI anastomotic sites, GI anastomotic sites, and intestinal-intestinal anastomotic sites (P=0.0005, P=0.05, P=0.008, and P=0.005, respectively). Distinguishing abdominal wall anastomotic sites from other anastomotic sites represents the key contribution of our study.
The issue of radiation dose generated by nuclear medicine examinations has long attracted public attention. Currently, a biological dose of less than 100 mSv is defined as low-dose radiation (36). Although the radiation dose of 18F-FDG is within the safe range, a portion of individuals remain hesitant to exposure and may even refuse related medical procedures, displaying excessive concern regarding radiation hazards. In this context, 68Ga-FAPI-04 provides unique advantages. The radioactive dose used for its examination is almost half of that of conventional 18F-FDG, which undoubtedly provides a safer and more reliable option for clinical application.
Certain limitations to this study should be addressed. First, we adopted a single-center, retrospective design. This is primarily due to the strict inclusion criteria. Patients with postoperative GI tumors were required to undergo 18F-FDG PET/CT after clinical recurrence, followed by 68Ga-FAPI-04 PET/MRI within 4 days, and to have complete histopathological or follow-up data. Additionally, each patient was required to have both 68Ga-FAPI-04-positive benign lesions and 68Ga-FAPI-04-positive malignant lesions for benign-malignant comparison after 68Ga-FAPI-04 PET/MRI, which further reduced the sample size. For recurrent anastomotic sites, restrictions to small sample size were further compounded by the low recurrence rate at such sites, as surgery remains the primary and more effective treatment modality. Second, this experiment did not strictly limit the pathological types of digestive tract tumors, which might have led to deviations in research results, which may fail to comprehensively and accurately reflect the application value of 68Ga-FAPI-04 PET/MRI in various digestive tract tumors. Third, due to the dual limitations of ethics and technical conditions, it was impossible to biopsy all lesions with FAPI uptake; therefore, we could only rely on long-term follow-up observations to determine the benign and malignant nature of the lesions. To maximize the diagnostic accuracy, the diagnostic work in this study should be carried out in collaboration with senior clinicians. In addition, to deeply and comprehensively characterize the uptake pattern of 68Ga-FAPI-04 in benign and malignant lesions, further large-scale, multicenter studies are urgently needed. Despite these shortcomings, this study nonetheless provides a novel perspective and valuable reference for the application of 68Ga-FAPI-04 in the diagnosis of postoperative lesions of GI tumors and is expected to provide strong support and a reference for subsequent research and clinical practice.
Conclusions
In this study comparing 18F-FDG PET/CT and 68Ga-FAPI-04 PET/MRI for the retrospective assessment of GI cancers, 68Ga-FAPI-04 PET/MRI showed significantly better performance than did 18F-FDG PET/CT in detecting recurrent anastomotic sites and lymph node metastases, with higher sensitivity, specificity, accuracy, PPV, and NPV, as well as more distinguishing semiquantitative parameters and ROC characteristics. This could be attributed to the physiological uptake of 18F-FDG at the anastomotic site and its susceptibility to inflammatory uptake in hilar lung lymph nodes. In contrast, 68Ga-FAPI-04 remains unaffected by metabolism, thereby conferring it with high diagnostic efficiency. However, for other lesions, 68Ga-FAPI-04 PET/MRI had high sensitivity but very low specificity, resulting in low accuracy, while 18F-FDG PET/CT had better performance in differentiating other benign and malignant lesions according to ROC analysis. 18F-FDG PET/CT remains the preferred imaging method for metastatic diseases in current clinical practice. This is because 68Ga-FAPI-04 is taken up in many nonmalignant sites, such as in cases of benign pancreatic tumors, arthritis, postmyocardial infarction fibrosis, and the uterus of older adults. Clinicians should consider these differences when selecting imaging modalities and may need to combine other clinical information. For example, benign lesions are often flocculent and extensive in scope, while malignant lesions are characterized by localness and invasiveness. Through this approach, the advantages of 68Ga-FAPI-04 in the postoperative diagnosis of GI tumors can be fully utilized.
Acknowledgments
We acknowledge and thank all participants of this study. Additionally, we are grateful to The First Affiliated Hospital of Anhui Medical University for providing technical support and the National Natural Science Foundation of China (No. 81801736) for financial assistance.
Footnote
Reporting Checklist: The authors have completed the STARD reporting checklist. Available at https://qims.amegroups.com/article/view/10.21037/qims-2025-670/rc
Data Sharing Statement: Available at https://qims.amegroups.com/article/view/10.21037/qims-2025-670/dss
Funding: This work was supported by
Conflicts of Interest: All authors have completed the ICMJE uniform disclosure form (available at https://qims.amegroups.com/article/view/10.21037/qims-2025-670/coif). All authors report that this research was funded by the National Natural Science Foundation of China (No. 81801736). The authors have no other conflicts of interest to declare.
Ethical Statement: The authors are accountable for all aspects of the work in ensuring that questions related to the accuracy or integrity of any part of the work are appropriately investigated and resolved. The study protocol received approval from the Institutional Review Board (IRB) of the First Affiliated Hospital of Anhui Medical University (ethics No. PJ2022-05-09). This study was conducted in accordance with the Declaration of Helsinki and its subsequent amendments. All participants provided their written informed consent prior to their enrollment in the study.
Open Access Statement: This is an Open Access article distributed in accordance with the Creative Commons Attribution-NonCommercial-NoDerivs 4.0 International License (CC BY-NC-ND 4.0), which permits the non-commercial replication and distribution of the article with the strict proviso that no changes or edits are made and the original work is properly cited (including links to both the formal publication through the relevant DOI and the license). See: https://creativecommons.org/licenses/by-nc-nd/4.0/.
References
- Arnold M, Abnet CC, Neale RE, Vignat J, Giovannucci EL, McGlynn KA, Bray F. Global Burden of 5 Major Types of Gastrointestinal Cancer. Gastroenterology 2020;159:335-349.e15. [Crossref] [PubMed]
- Joshi SS, Badgwell BD. Current treatment and recent progress in gastric cancer. CA Cancer J Clin 2021;71:264-79. [Crossref] [PubMed]
- Thrift AP, Wenker TN, El-Serag HB. Global burden of gastric cancer: epidemiological trends, risk factors, screening and prevention. Nat Rev Clin Oncol 2023;20:338-49. [Crossref] [PubMed]
- Yoo CH, Noh SH, Shin DW, Choi SH, Min JS. Recurrence following curative resection for gastric carcinoma. Br J Surg 2000;87:236-42. [Crossref] [PubMed]
- Giesel FL, Kratochwil C, Lindner T, Marschalek MM, Loktev A, Lehnert W, Debus J, Jäger D, Flechsig P, Altmann A, Mier W, Haberkorn U. (68)Ga-FAPI PET/CT: Biodistribution and Preliminary Dosimetry Estimate of 2 DOTA-Containing FAP-Targeting Agents in Patients with Various Cancers. J Nucl Med 2019;60:386-92. [Crossref] [PubMed]
- Kaneko Y, Murray WK, Link E, Hicks RJ, Duong C. Improving patient selection for 18F-FDG PET scanning in the staging of gastric cancer. J Nucl Med 2015;56:523-9. [Crossref] [PubMed]
- Kelly T, Huang Y, Simms AE, Mazur A. Fibroblast activation protein-α: a key modulator of the microenvironment in multiple pathologies. Int Rev Cell Mol Biol 2012;297:83-116. [Crossref] [PubMed]
- Henry LR, Lee HO, Lee JS, Klein-Szanto A, Watts P, Ross EA, Chen WT, Cheng JD. Clinical implications of fibroblast activation protein in patients with colon cancer. Clin Cancer Res 2007;13:1736-41. [Crossref] [PubMed]
- Liu H, Hu Z, Yang X, Dai T, Chen Y. Comparison of [68Ga]Ga-DOTA-FAPI-04 and [18F]FDG Uptake in Esophageal Cancer. Front Oncol 2022;12:875081.
- Qin C, Shao F, Gai Y, Liu Q, Ruan W, Liu F, Hu F, Lan X. (68)Ga-DOTA-FAPI-04 PET/MR in the Evaluation of Gastric Carcinomas: Comparison with (18)F-FDG PET/CT. J Nucl Med 2022;63:81-8. [Crossref] [PubMed]
- Li C, Tian Y, Chen J, Jiang Y, Xue Z, Xing D, Wen B, He Y. Usefulness of [68Ga]FAPI-04 and [18F]FDG PET/CT for the detection of primary tumour and metastatic lesions in gastrointestinal carcinoma: a comparative study. Eur Radiol 2023;33:2779-91.
- Lim JS, Kim MJ, Yun MJ, Oh YT, Kim JH, Hwang HS, Park MS, Cha SW, Lee JD, Noh SH, Yoo HS, Kim KW. Comparison of CT and 18F-FDG pet for detecting peritoneal metastasis on the preoperative evaluation for gastric carcinoma. Korean J Radiol 2006;7:249-56. [Crossref] [PubMed]
- Liu H, Yang X, Liu L, Qu G, Chen Y. Comparison of 18 F-FDG and 68 Ga-FAPI-04 Uptake in Postoperative Re-evaluation of Gastric, Duodenal, and Colorectal Cancers. Clin Nucl Med 2023;48:304-8. [Crossref] [PubMed]
- Hathi DK, Jones EF. (68)Ga FAPI PET/CT: Tracer Uptake in 28 Different Kinds of Cancer. Radiol Imaging Cancer 2019;1:e194003. [Crossref] [PubMed]
- Liu H, Wang Y, Zhang W, Cai L, Chen Y. Elevated [68Ga]Ga-DOTA-FAPI-04 activity in degenerative osteophyte in a patient with lung cancer. Eur J Nucl Med Mol Imaging 2021;48:1671-2.
- Katal S, Gholamrezanezhad A, Nikpanah M, Christensen TQ, Werner TJ, Saboury B, Alavi A, Hess S. Potential Applications of PET/CT/MR Imaging in Inflammatory Diseases: Part I: Musculoskeletal and Gastrointestinal Systems. PET Clin 2020;15:547-58. [Crossref] [PubMed]
- Zhang X, Song W, Qin C, Song Y, Liu F, Hu F, Lan X. Uterine Uptake of 68Ga-FAPI-04 in Uterine Pathology and Physiology. Clin Nucl Med 2022;47:7-13. [Crossref] [PubMed]
- Schuberth PC, Hagedorn C, Jensen SM, Gulati P, van den Broek M, Mischo A, Soltermann A, Jüngel A, Marroquin Belaunzaran O, Stahel R, Renner C, Petrausch U. Treatment of malignant pleural mesothelioma by fibroblast activation protein-specific re-directed T cells. J Transl Med 2013;11:187. [Crossref] [PubMed]
- Lindner T, Loktev A, Altmann A, Giesel F, Kratochwil C, Debus J, Jäger D, Mier W, Haberkorn U. Development of Quinoline-Based Theranostic Ligands for the Targeting of Fibroblast Activation Protein. J Nucl Med 2018;59:1415-22. [Crossref] [PubMed]
- Hu X, Zhou T, Ren J, Duan J, Wu H, Liu X, Mu Z, Liu N, Wei Y, Yuan S. Response Prediction Using (18)F-FAPI-04 PET/CT in Patients with Esophageal Squamous Cell Carcinoma Treated with Concurrent Chemoradiotherapy. J Nucl Med 2023;64:625-31. [Crossref] [PubMed]
- Magné N, Chargari C, Vicenzi L, Gillion N, Messai T, Magné J, Bonardel G, Haie-Meder C. New trends in the evaluation and treatment of cervix cancer: the role of FDG-PET. Cancer Treat Rev 2008;34:671-81. [Crossref] [PubMed]
- Akita H, Takahashi H, Ohigashi H, Tomokuni A, Kobayashi S, Sugimura K, Miyoshi N, Moon JH, Yasui M, Omori T, Miyata H, Ohue M, Fujiwara Y, Yano M, Ishikawa O, Sakon M. FDG-PET predicts treatment efficacy and surgical outcome of pre-operative chemoradiation therapy for resectable and borderline resectable pancreatic cancer. Eur J Surg Oncol 2017;43:1061-7. [Crossref] [PubMed]
- Zhao L, Pang Y, Luo Z, Fu K, Yang T, Zhao L, Sun L, Wu H, Lin Q, Chen H. Role of [68Ga]Ga-DOTA-FAPI-04 PET/CT in the evaluation of peritoneal carcinomatosis and comparison with [18F]-FDG PET/CT. Eur J Nucl Med Mol Imaging 2021;48:1944-55.
- Koerber SA, Staudinger F, Kratochwil C, Adeberg S, Haefner MF, Ungerechts G, Rathke H, Winter E, Lindner T, Syed M, Bhatti IA, Herfarth K, Choyke PL, Jaeger D, Haberkorn U, Debus J, Giesel FL. The Role of (68)Ga-FAPI PET/CT for Patients with Malignancies of the Lower Gastrointestinal Tract: First Clinical Experience. J Nucl Med 2020;61:1331-6. [Crossref] [PubMed]
- Beyhan E, Çermik TF, Erol Fenercioğlu Ö, Şahin R, Alçin G, Aksoy T, Arslan E, Ergül N. The Contribution of 68 Ga-FAPI-04 PET/CT to Staging and Prognosis in Gastric Cancer. Clin Nucl Med 2024;49:e485-91. [Crossref] [PubMed]
- Jiang D, Chen X, You Z, Wang H, Zhang X, Li X, Ren S, Huang Q, Hua F, Guan Y, Zhao J, Xie F. Comparison of [68 Ga]Ga-FAPI-04 and [18F]-FDG for the detection of primary and metastatic lesions in patients with gastric cancer: a bicentric retrospective study. Eur J Nucl Med Mol Imaging 2022;49:732-42.
- Qin C, Song Y, Gai Y, Ruan W, Liu Q, Liu F, Zheng D, Zhang P, Liu H, Zhang T, Tao K, Lan X. Gallium-68-labeled fibroblast activation protein inhibitor PET in gastrointestinal cancer: insights into diagnosis and management. Eur J Nucl Med Mol Imaging 2022;49:4228-40. [Crossref] [PubMed]
- Zhao M, Zhang A, Zu M, Ma Y, Ding S, Zhang W. Comparison of 18 F-FDG and 18 F-FAPI PET/CT Findings of Signet-Ring Cell Carcinoma of the Stomach. Clin Nucl Med 2024;49:e139-40. [Crossref] [PubMed]
- Spektor AM, Gutjahr E, Lang M, Glatting FM, Hackert T, Pausch T, Tjaden C, Schreckenberger M, Haberkorn U, Röhrich M. Immunohistochemical FAP Expression Reflects (68)Ga-FAPI PET Imaging Properties of Low- and High-Grade Intraductal Papillary Mucinous Neoplasms and Pancreatic Ductal Adenocarcinoma. J Nucl Med 2024;65:52-8. [Crossref] [PubMed]
- Bauer S, Jendro MC, Wadle A, Kleber S, Stenner F, Dinser R, Reich A, Faccin E, Gödde S, Dinges H, Müller-Ladner U, Renner C. Fibroblast activation protein is expressed by rheumatoid myofibroblast-like synoviocytes. Arthritis Res Ther 2006;8:R171. [Crossref] [PubMed]
- Milner JM, Kevorkian L, Young DA, Jones D, Wait R, Donell ST, Barksby E, Patterson AM, Middleton J, Cravatt BF, Clark IM, Rowan AD, Cawston TE. Fibroblast activation protein alpha is expressed by chondrocytes following a pro-inflammatory stimulus and is elevated in osteoarthritis. Arthritis Res Ther 2006;8:R23. [Crossref] [PubMed]
- Tillmanns J, Hoffmann D, Habbaba Y, Schmitto JD, Sedding D, Fraccarollo D, Galuppo P, Bauersachs J. Fibroblast activation protein alpha expression identifies activated fibroblasts after myocardial infarction. J Mol Cell Cardiol 2015;87:194-203. [Crossref] [PubMed]
- Hess S, Scholtens AM, Gormsen LC. Patient Preparation and Patient-related Challenges with FDG-PET/CT in Infectious and Inflammatory Disease. PET Clin 2020;15:125-34. [Crossref] [PubMed]
- Mori Y, Dendl K, Cardinale J, Kratochwil C, Giesel FL, Haberkorn U. FAPI PET: Fibroblast Activation Protein Inhibitor Use in Oncologic and Nononcologic Disease. Radiology 2023;306:e220749. [Crossref] [PubMed]
- Li X, Ma W, Wang M, Quan Z, Zhang M, Ye J, Li G, Zhou X, Ma T, Wang J, Yang W, Nie Y, Wang J, Kang F. (68)Ga-FAPI-04 PET for Surveillance of Anastomotic Recurrence in Postoperative Patients with Gastrointestinal Cancer: a Comparative Study with (18)F-FDG PET. Mol Imaging Biol 2023;25:857-66. [Crossref] [PubMed]
- Kohzaki M, Suzuki K, Ootsuyama A, Okazaki R. Spontaneous p53 activation in middle-aged C57BL/6 mice mitigates the lifespan-extending adaptive response induced by low-dose ionizing radiation. NPJ Aging 2023;9:26. [Crossref] [PubMed]

