Microstructural brain changes and their impact on hemorrhagic stroke recovery: a neurite orientation dispersion and density imaging-based study
Introduction
Intracerebral hemorrhage (ICH) is a type of stroke with the highest mortality and disability rates (1,2). The damage resulting from hemorrhage can be classified into two main categories (3,4): the primary damage caused by the mechanical compression of the hematoma itself and the secondary damage resulting from various factors, including red blood cell lysis, thrombin activation, complement pathways, and inflammatory responses. ICH not only causes damage to gray matter, characterized by the loss of neuronal cell bodies, but also leads to white-matter damage, primarily associated with the deterioration of myelin sheaths (4,5). The integrity and connectivity of axons are compromised, affecting the efficiency and accuracy of neural signal transmission. These changes can have significant implications for the patient’s functional outcome and cognitive status, potentially resulting in long-term disabilities and necessitating comprehensive rehabilitation and therapeutic interventions. Current clinical practice for ICH often involves monitoring the macroscopic evolution of posthemorrhagic hematoma and perihematomal edema (PHE) based on computed tomography (CT) and conventional magnetic resonance imaging (MRI) (6-10); however, there is little research on the potential microstructural injuries to brain tissue caused by the hemorrhagic event. The microstructure of brain tissue has traditionally been examined through postmortem analysis or invasive procedures such as biopsies. However, quantitative MRI (11-15) allows for the noninvasive assessment of brain tissue microstructure integrity after ICH and can reflect potential pathophysiological changes.
Diffusion tensor imaging (DTI) has been frequently used to evaluate damage in specific regions of interest (ROI), such as within the hematoma or PHE, as well as in specific fiber tracts (16-20), notably the corticospinal tract, following ICH. However, DTI has inherent limitations. Specifically, it assumes that water molecules conform to Gaussian distribution properties, yet the presence of various biological barriers in brain tissue may introduce biases in the derived indices. Furthermore, the utility of DTI-derived indices, such as the fractional anisotropy score, may be diminished in instances of axonal loss, reduced axonal coherence, or contamination by cerebrospinal fluid (CSF).
Multishell diffusion imaging, due to the presence of multiple b values, can more comprehensively capture water molecule diffusion within tissues, which allows for the use of more advanced diffusion models to reflect microstructural changes in the brain. This synergy between imaging and modeling has the potential to enhance our understanding of ICH pathophysiology and could lead to more targeted therapeutic strategies. However, as of now, the full extent of these techniques’ applicability and effectiveness in the context of ICH remains largely unknown in the field of clinical neuroimaging research. Neurite orientation dispersion and density imaging (NODDI) is a type of multicompartmental diffusion MRI technology (21) and can interpret the MRI signal of each voxel as the sum of contributions from the various compartments that make up the voxel. NODDI can estimate three key aspects of neural tissue in each voxel: the intracellular volume fraction (ICVF), which quantifies the packing density of axons or dendrites; the orientation dispersion index (ODI), which assesses the directional consistency of neurites; and the isotropic volume fraction (ISOVF), which estimates the degree of CSF contamination.
NODDI technology has been extensively referenced in the context of various neurological disorders, including ischemic stroke (22,23), neuroimmunology conditions (24,25), tumor-related lesions (26), traumatic injuries (27), and neurodegenerative diseases (28). The metrics derived from NODDI demonstrate strong sensitivity in elucidating subtle changes in neural substrates resulting from a variety of pathological and physiological factors. Therefore, our study aimed to utilize NODDI imaging to assess the microstructural changes in the whole brain following ICH and to clarify its potential impact on patients’ functional outcome and cognitive status. We present this article in accordance with the STROBE reporting checklist (available at https://qims.amegroups.com/article/view/10.21037/qims-2025-510/rc).
Methods
Data availability and ethics approval
The findings of this research are based on data that can be accessed upon a valid request to the corresponding author. This study was approved by the Ethics Committee of Beijing Tiantan Hospital (approval No. KY2023-277-02). Written informed consent was secured from every participant or his/her family members involved in the study. This study was conducted in accordance with the Declaration of Helsinki and its subsequent amendments.
Study design and participants
This single-center, prospective, exploratory study consecutively enrolled 36 patients with spontaneous ICH who were admitted to the Emergency Department of Beijing Tiantan Hospital from October 2023 to May 2024.
The inclusion criteria were as follows: (I) age 18–80 years; (II) confirmed diagnosis of spontaneous hypertensive ICH; (III) supratentorial ICH; (IV) MRI examination within 72 hours of onset; (V) Glasgow Coma Scale (GCS) score ≥10; and (VI) signed informed consent obtained from the patient or legal representative. Meanwhile, the exclusion criteria were as follows: (I) a history of stroke with a prestroke modified Rankin scale (mRS) score of ≥2; (II) secondary ICH caused by trauma, brain tumors, moyamoya disease, aneurysms, or vascular conditions; (III) presence of active gastrointestinal ulcers or other clear tendencies for rebleeding; (IV) completed or scheduled surgical treatment; and (V) women who were pregnant, planning to become pregnant, or breastfeeding. The recruitment flowchart is presented in Figure 1.
Neurological assessments
All patients underwent MRI examination within 3 days of symptom onset and had a clinical functional visit. The clinical status was assessed by well-trained and experienced neurologists as follows: the pre-onset mRS score; the GCS and the National Institutes of Health Stroke Scale (NIHSS) scores at baseline; and the mRS score at 3 months after onset.
Follow-up
All patients underwent in-person evaluations during subsequent outpatient visits at 90 days after onset, which were primarily divided into two parts: functional outcome and cognitive status. The mRS score was used to assess the recovery status of the patients’ functional outcome, and we considered an mRS score >2 as indicating a poor prognosis. The Mini-Mental State Examination (MMSE) was used to evaluate the patients’ cognitive status.
MRI acquisition
A series of imaging protocols was employed with a 3.0-T Ingenia system (Philips Medical Systems, Best, the Netherlands), including three-dimensional (3D) fluid-attenuated inversion recovery (FLAIR), 3D T1-weighted imaging (T1WI), conventional diffusion-weighted imaging (DWI), and multishell high angular resolution diffusion imaging. The sagittal 3D FLAIR was conducted under the following parameters: repetition time/echo time (TR/TE) =4,800 ms/228 ms, inversion time (TI) =1,650 ms, flip angle =90°, image resolution =1 mm × 1 mm × 1 mm, and number of slices =196. Sagittal 3D T1WI was conducted under the following parameters: TR/TE =6.6 ms/3 ms, TI =880 ms, flip angle =8°, image resolution =1 mm × 1 mm × 1 mm, and number of slices =196. Axial multislice DWI was conducted under the following parameters: TR/TE =4,000 ms/88 ms, flip angle =90°, image resolution =1.6 mm × 1.6 mm × 6 mm, number of slices =24, and b values =0 and 1,000 s/mm2. Additionally, axial multislice multi-shell high angular resolution diffusion images were acquired under the following parameters: TR/TE =4,000 ms/88 ms, flip angle =90°, image resolution =2.5 mm × 2.5 mm × 2.75 mm, number of slices =60, b values =0, 1000, and 2,000 s/mm2, and number of nonzero diffusion-sensitive gradient directions per shell =48. Additional b0 images with reversed phase-encoding direction (PEdir) were also acquired to correct for susceptibility-induced distortions.
Lesion segmentation and region of interest
All delineations were completed by a radiologist with over 5 years of experience in neuroimaging diagnostics, and the image information was reviewed by a chief physician with more than 30 years of professional experience. We performed the delineation of the hematoma based on the 3D-FLAIR sequence using ITK-SNAP version 3.8.0 (http://www.itksnap.org/pmwiki/pmwiki.php), obtaining the hematoma mask and the corresponding volume. The lesions were manually contoured layer by layer. The affected and unaffected cerebral hemispheres were analyzed separately. We selected the following six ROI for data extraction in total: (I) cortical gray matter of the affected cerebral hemisphere without lesions; (II) deep gray matter of the affected cerebral hemisphere without lesions; (III) white matter of the affected cerebral hemisphere without lesion; (IV) cortical gray matter of the unaffected cerebral hemisphere; (V) deep gray matter of the unaffected cerebral hemisphere; and (VI) white matter of the unaffected cerebral hemisphere. Details on ROI selection are provided in the following section.
Image analysis
Multishell diffusion data underwent a comprehensive preprocessing pipeline via the FMRIB Software Library (FSL) (29). The b0 images acquired with different PEdirs were used to estimate susceptibility-induced distortions (TopUp) (30), and the distortion correction was applied to all diffusion data (Figure 2). Images were then corrected for eddy current-induced distortions and patient motion (eddy) (31). The preprocessed diffusion data were fitted to the NODDI model with the Python implementation of Accelerated Microstructure Imaging via Convex Optimization (AMICO) (32), with three resulting parameters ICVF, ISOVF, and ODI.
The imaging registration was performed with Advanced Normalization Tools (ANTs) software (33). The distortion-corrected b-0 image was used as the reference, and the T1-weighted imaging (T1WI), FLAIR, and lesion masks were rigidly registered to diffusion space. The T1WI were then corrected for bias field and segmented directly in diffusion space to extract gray-matter, white-matter, and CSF masks (fast) (34). The Harvard-Oxford Cortical and Subcortical Structural Atlas (35) provided by FSL was transferred to the binarized mask and nonlinearly mapped to diffusion space via the T1WI image. The nonlinear transformation was applied to a blank brain mask with different voxel values on the left and right sides and then mapped to the diffusion space to facilitate differentiation between the left and right hemispheres in the diffusion space. The cortical gray matter of any hemisphere was defined as the intersection of the gray-matter mask obtained from T1WI tissue segmentation and the cortical mask, while deep gray matter was defined as the intersection of the gray-matter mask and the subcortical mask (Figure 3). Accurately segmenting all deep gray matter structures, or even cortical regions, remains inherently challenging in patients with ICH. Given these limitations, we strategically prioritized the inclusion of fewer but high-confidence voxels rather than attempting to delineate perfect tissue boundaries. No modifications were made to the diffusion data or NODDI parameters to avoid introducing potential errors from registration interpolation.
Statistical analysis
All statistical analyses were conducted with SPSS software version 25.0 (IBM Corp., Chicago, IL, USA). The plotting was performed on GraphPad Prism version 9.5.1 (Dotmatics, Boston, MA, USA). Categorical and ordinal variables are presented as percentages, while continuous variables are presented as either the mean ± standard deviation (SD) or the median and interquartile range (IQR), depending on the normality of their distribution. Given the relatively small sample size of this study, NODDI-derived indices are all presented with a nonnormal distribution model. Continuous variables were compared with the t-test for normally distributed data or the Mann-Whitney test for nonnormally distributed data. The Chi-squared test was employed to compare categorical variables. We examined the univariate associations between clinical, demographic, and radiological variables and the outcomes of interest. Subsequently, we constructed a multivariate logistic regression model that included recognized predictors of ICH functional outcomes (age and hematoma volume) and NODDI parameters with a univariate analysis P value of less than 0.05 and calculated the odds ratios (ORs) and 95% confidence intervals (CIs). Receiver operating characteristic (ROC) curve analyses were used to assess the predictive performance of the different models. Spearman correlation analysis was used to investigate the correlation between NODDI parameters and MMSE scores. All statistical significance was set at a two-tailed P value level of 0.05. In the cohort study, only one participant was lost to follow-up at the 3-month outcome assessment, and this patient’s data were excluded from the final analysis to maintain data completeness.
Results
During the study period, 1,241 consecutive patients with spontaneous ICH were admitted to our hospital. Of these, 223 met the preliminary eligibility criteria, and 44 provided informed consent. Ultimately, 36 patients were included in the final analysis, with 8 being excluded, 4 due to MRI contraindications, 1 due to requiring neurosurgical intervention, 2 due to suboptimal imaging quality, and 1 due to loss to follow-up (Figure 1). Tables 1,2 present a summary of the clinical and radiological characteristics of the patients, including NODDI metrics. Among the patients, 12 (33.3%) experienced poor functional outcome as indicated by an unfavorable 3-month mRS score. The mean age of the patient cohort was 49.2±11.0 years, with males being predominant (n=23, 63.9%). The initial GCS score was uniformly 15 (IQR 15–15), and the initial NIHSS score was 6.5 (IQR 2–10). All patients exhibited a preonset mRS score of 0. Secondary intraventricular hemorrhage was present in three patients (8.3%). The median baseline hematoma volume was 15.7 mL (IQR 9.5–26 mL), while the median baseline PHE volume was 20.5 mL (IQR 13.7–23.7 mL). Among NODDI metrics (Table 2 and Figure 4), the ISOVF value of the cortical gray matter in the unaffected hemisphere (median 0.227, IQR 0.205–0.236; P=0.018), and the ODI value of the white matter in the affected hemisphere (median 0.279, IQR 0.270–0.292; P=0.036) were significantly associated with poor outcomes at 3 months.
Table 1
| Demographic and baseline parameters | mRS ≤2 | mRS >2 | P |
|---|---|---|---|
| Age, years | 47.4±11.5 | 52.8±9.5 | 0.168 |
| Sex | 0.806 | ||
| Male | 15 (62.5) | 8 (66.7) | |
| Female | 9 (37.5) | 4 (33.3) | |
| mRS pre-ICH | 0 (0–0) | 0 (0–0) | >0.999 |
| Baseline median GCS | 15 (15–15) | 15 (12.5–15) | 0.398 |
| Baseline median NIHSS | 4.5 (2–8) | 11 (7.25–13) | 0.001 |
| ICH volume, mL | 13.7 (6.9–25.0) | 22.8 (10.9–31.0) | 0.137 |
| PHE volume, mL | 19.7 (12.9–32.7) | 26.5 (17.5–32.8) | 0.251 |
| IVH | 1 (4.0) | 2 (16.7) | 0.253 |
| mRS at 3 months | 1 (0.25–1) | 3 (3–3.75) | <0.001 |
Data are presented as mean ± SD, or number (%), or median (IQR). GCS, Glasgow Coma Scale; ICH, intracerebral hemorrhage; IQR, interquartile range; IVH, intraventricular hemorrhage; mRS, modified Rankin scale; NIHSS, National Institute of Health Stroke Scale; PHE, perihematomal edema; SD, standard deviation.
Table 2
| ROI | mRS ≤2 | mRS >2 | P |
|---|---|---|---|
| ICVF_Unaffected_CorticalGM | 0.407 (0.397–0.416) | 0.409 (0.404–0.414) | 0.827 |
| ICVF_Unaffected_deepGM | 0.474 (0.458–0.492) | 0.469 (0.454–0.493) | 0.725 |
| ICVF_Unaffected_WM | 0.573 (0.557–0.594) | 0.557 (0.540–0.593) | 0.290 |
| ICVF_Affected_CorticalGM | 0.406 (0.397–0.414) | 0.412 (0.401–0.426) | 0.261 |
| ICVF_Affected_deepGM | 0.478 (0.454–0.515) | 0.484 (0.464–0.547) | 0.411 |
| ICVF_Affected_WM | 0.573 (0.559–0.590) | 0.563 (0.557–0.588) | 0.801 |
| ISOVF_Unaffected_CorticalGM | 0.202 (0.196–0.217) | 0.227 (0.205–0.236) | 0.018* |
| ISOVF_Unaffected_deepGM | 0.419 (0.397–0.431) | 0.425 (0.391–0.447) | 0.603 |
| ISOVF_Unaffected_WM | 0.127 (0.123–0.134) | 0.132 (0.125–0.145) | 0.430 |
| ISOVF_Affected_CorticalGM | 0.204 (0.193–0.211) | 0.212 (0.200–0.238) | 0.154 |
| ISOVF_Affected_deepGM | 0.383 (0.343–0.406) | 0.366 (0.339–0.402) | 0.557 |
| ISOVF_Affected_WM | 0.128 (0.120–0.133) | 0.130 (0.122–0.143) | 0.430 |
| OD_Unaffected_CorticalGM | 0.502 (0.496–0.515) | 0.502 (0.492–0.510) | 0.513 |
| OD_Unaffected_deepGM | 0.395 (0.383–0.406) | 0.398 (0.379–0.404) | >0.999 |
| OD_Unaffected_WM | 0.266 (0.260–0.277) | 0.270 (0.261–0.282) | 0.651 |
| OD_Affected_CorticalGM | 0.488 (0.482–0.494) | 0.483 (0.477–0.494) | 0.513 |
| OD_Affected_deepGM | 0.370 (0.353–0.386) | 0.373 (0.365–0.398) | 0.491 |
| OD_Affected_WM | 0.270 (0.262–0.274) | 0.279 (0.270–0.292) | 0.036* |
Data are presented as median (IQR). *, P<0.05. GM, grey matter; ICVF, intracellular volume fraction; IQR, interquartile range; ISOVF, isotropic volume fraction; mRS, modified Rankin scale; NODDI, neurite orientation dispersion and density imaging; OD, orientation dispersion; ROI, region of interest; WM, white matter.
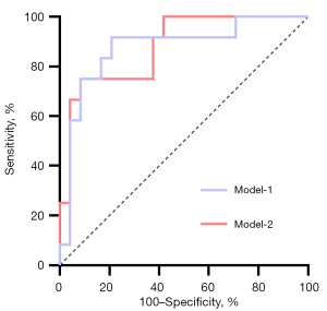
Based on the results of univariate analysis, we further constructed a multivariate logistic regression model. Model 1 consisted of clinical factor variables, Model 2 consisted of clinical factors with NODDI indices in the affected hemisphere, and Model 3 consisted of clinical factors with NODDI indices in the unaffected hemisphere. The results of the multivariate analysis indicated that in Model 1, the NIHSS score was independently associated with poor prognosis (OR =1.506; 95% CI: 1.109–2.046; P=0.009); in Model 2, the independent predictive factors for poor prognosis were NIHSS score (OR =1.529; 95% CI: 1.090–2.145; P=0.014) and the white-matter ODI value (OR =1.126; 95% CI: 1.004–1.263; P=0.042) in the affected hemisphere. In Model 3, no significant indicators were found, but there was a notable association between the cortical gray-matter ODI value in the unaffected hemisphere and poor prognosis (OR =1.082; P=0.052). The ROC curve analysis (Table 3, Figure 5) showed that the area under the curve (AUC) values for predicting poor prognosis in Model 1 and Model 2 were 0.875 and 0.910, respectively. Model 3 was examined to assess potential contralateral compensatory effects; however, its predictive contribution was nonsignificant and thus not included in further ROC analysis. Spearman correlation analysis (Figure 6) showed that the ODI value of the deep gray matter in the affected hemisphere was significantly negatively correlated with the MMSE score (R=−0.489; P=0.003), which indicated cognitive function status.
Table 3
| Variable | OR | 95% CI | P | AUC (95% CI) |
|---|---|---|---|---|
| Model 1 (clinical factors) | 0.875 (0.744–0.999) | |||
| Age | 1.045 | 0.930–1.173 | 0.461 | |
| Hematoma volume | 0.999 | 0.999–1.000 | 0.428 | |
| NIHSS | 1.506 | 1.109–2.046 | 0.009** | |
| Model 2 (clinical factors combined with affected hemisphere imaging biomarkers) | 0.910 (0.815–0.999) | |||
| Age | 1.106 | 0.939–1.303 | 0.226 | |
| Hematoma volume | 0.999 | 1.000–1.000 | 0.231 | |
| NIHSS | 1.529 | 1.090–2.145 | 0.014* | |
| OD_Affected_WM | 1.126 | 1.004–1.263 | 0.042* | |
| Model 3 (clinical factors combined with unaffected hemisphere imaging biomarkers) | None | |||
| Age | 0.991 | 0.857–1.147 | 0.906 | |
| Hematoma volume | 0.999 | 0.999–1.000 | 0.187 | |
| NIHSS | 1.728 | 1.170–2.552 | 0.006** | |
| ISOVF_Unaffected_CorticalGM | 1.082 | 0.999–1.172 | 0.052 |
*, P<0.05; **, P<0.01. AUC, area under the curve; CI, confidence interval; GM, grey matter; ISOVF, isotropic volume fraction; NIHSS, National Institute of Health Stroke Scale; OD, orientation dispersion; OR, odds ratio; WM, white matter.
Discussion
By employing multiparametric MRI techniques within a prospective exploratory cohort of patients with ICH, our research innovatively revealed that NODDI-derived multi-shell diffusion imaging indices are capable of delineating the early microstructural damage subsequent to ICH. The increase in ODI within the ipsilateral white matter was independently linked to an unfavorable functional outcome in patients with ICH. Concurrently, there was a notably inverse correlation between ODI values in the deep gray matter on the affected side and cognitive function. These NODDI metrics can be obtained without invasive procedures and reflect the potential pathological damage caused by ICH. They are expected to be applied in daily clinical practice and may also serve as potential targets for early therapeutic interventions.
Most diffusion imaging-based studies on ICH predominantly focus on the damage to the hematoma and the adjacent brain tissue (16) or they specifically target the microstructural quantification of particular fiber tracts, mainly the corticospinal tracts (18-20,36,37). Consequently, brain tissue that appears normal is often neglected after a hemorrhagic event, and the relationship between this tissue and patient recovery is not well understood. To date, only one accessible study (17) has examined the correlation between the overall burden of ICH throughout the entire brain and patient outcome. However, the conventional DTI model employs a Gaussian distribution to characterize the diffusion of water molecules, an assumption that is frequently inadequate given the intricate nature of brain microstructure. In contrast, multishell diffusion imaging has the potential to more precisely capture microstructural alterations. Studies have also demonstrated the advantages of employing advanced models in diverse neurological conditions. For instance, the NODDI model has been used to elucidate microstructural changes in a range of central nervous system disorders, including cerebral small-vessel disease (38), ischemic stroke (22,23), multiple sclerosis (24,25), and metastasis before and after radiotherapy (26). However, investigations into the application of this technology within the ICH patient population are lacking. Our study was thus the first to examine the use of an NODDI model to evaluate microstructural characteristics in patients with ICH. We sought to leverage a more sophisticated acquisition protocol, incorporating increased diffusion weightings and directions, with the objective of directly modeling microstructural features through a multicompartment framework.
We compared the fractional anisotropy values across different ROIs between the poor- and the good-prognosis group. Unfortunately, no statistically significant differences were observed, a finding that diverges from some previous studies (16,18). This result may stem from various factors. First, discrepancies exist in ROI selection across studies. For instance, Tao et al. (39) focused on the corticospinal tract, whereas our study emphasized global cerebral burden. Additionally, some studies employed relative fractional anisotropy metrics, which might have obscured pre-existing microstructural differences in brain tissue prior to disease onset. In contrast, our approach prioritized separate analyses of the ipsilateral and contralateral cerebral hemispheres. More importantly, recent research indicated that fractional anisotropy values derived from DTI might lack sensitivity in detecting microstructural alterations (17,38,40) and can serve as reliable indicators for analyzing specific fiber bundles with high orientation (41). The intricate arrangement of neuronal cell bodies and dendrites in gray matter results in weaker water diffusion anisotropy, making fractional anisotropy less sensitive to detecting microstructural alterations in these regions, particularly in cortical gray matter. Consequently, its accuracy is diminished during the quantitative assessment of gray- and white-matter structures across different orientations in the whole brain. ODI is a crucial parameter for assessing the dispersion of neurites along a predominant axis. This measure provides insight into the complexity of axonal arrangements within the white matter and the intricate branching patterns of dendrites in the gray matter (21,25). The findings of our study suggest that an elevated white-matter ODI value is predictive of a heightened risk of adverse functional outcome in patients with ICH, potentially mirroring the genuine pathological processes that ensue ICH. After the onset of ICH, neurites may undergo a series of injuries and deformations, including swelling, bending, the formation of abnormal beaded structures, demyelination, and disruption of neural fibers (42,43). These changes can result in less ordered distribution of neurite orientations, thereby augmenting the complexity of neurite orientation dispersion of the affected hemisphere. We additionally conducted a comprehensive assessment of the global microstructure in both the affected and contralateral hemispheres, revealing that microstructural damage to the white matter in the affected hemisphere predominantly influences the recovery of functional outcome in patients during the early stages following cerebral hemorrhage. Although the ISOVF of the contralateral cortical gray matter did not achieve statistical significance in the multivariate analysis, it demonstrated a certain correlation. This finding is nonetheless instructive, suggesting that the effects of hemorrhagic events on brain tissue may be comprehensive and indicate the possibility of a dynamic equilibrium between the activities of the two cerebral hemispheres. The observed increase in ISOVF value of the contralateral cortical gray matter may be attributed to compensatory neurogenesis or heightened complexity resulting from neuronal disintegration. This speculation should be confirmed through future longitudinal studies.
Gray matter is recognized as a critical component in the extraction, exchange, and integration of information during cognitive processes (44). Recent evidence indicates that morphological changes in gray matter contribute to the decline in cognitive abilities associated with various diseases. Thalamic aphasia following acute stroke and the atrophy of gray-matter nuclei have been observed in a number of studies (42,45,46). Our findings suggest that the deep gray matter may undergo subtle microstructural alterations prior to any measurable reduction in volume. We hypothesized that the observed alterations in the ODI of the deep gray matter can be attributed, in part, to the specific cohort included in our study, comprising patients with deep hypertensive ICH. The etiology of hemorrhagic incidents in these patients is predominantly linked to small artery sclerosis, specifically deep perforating artery disease. Prolonged stress on these small vessels may lead to detrimental effects on the neurons within the deep gray matter. Additionally, iron toxicity exerts a significantly detrimental effect on the secondary brain injury that occurs subsequent to ICH. Once the red blood cells within the hematoma undergo lysis, there is a marked elevation in iron content in the cerebral tissue encircling the hematoma. It is possible that a portion of this iron might be conveyed to the deep gray-matter nuclei via perivascular pathways. This augmented local iron accumulation could potentially trigger neuronal apoptosis, leading to alterations in the microstructure of the deep gray matter.
In the future, incorporating multimodal imaging techniques such as quantitative susceptibility mapping and R2* mapping could facilitate a precise quantitative assessment of regional iron metabolism (11,47-49). This advanced approach would empower researchers to attain a more nuanced characterization of the shifts in iron metabolism and their effects on neuronal integrity post-ICH. This kind of integrated multimodal strategy may help clarify the intricate pathophysiological mechanisms in ICH, potentially leading to the development of innovative therapeutic strategies that address iron-mediated neurodegeneration.
Limitations
There are several limitations to our study that should be addressed. Notably, to mitigate bias arising from heterogeneity in hemorrhage location and pathophysiology, we strictly enrolled patients with hypertensive supratentorial ICH. This allowed for the standardization of anatomical localization and etiology of bleeding, thereby reducing confounding effects on outcome. Consequently, it is essential that future research validate the applicability of NODDI across a broader spectrum of ICH etiologies and across different brain regions. Additionally, we employed a cross-sectional design, which did not provide longitudinal data on the dynamic changes in hematoma and edema. We are currently in the process of accumulating such data, aiming to obtain a comprehensive understanding of the pathological physiological alterations and their correlation with neurological function in the transition from acute to chronic ICH. We must acknowledge that this study constitutes a preliminary, small-scale endeavor and lacks stringent correction for multiple comparisons, but it aligns with practices in exploratory research (26). This methodological approach may limit the statistical power of the analyses; however, it provides critical data for sample size estimation in future studies. Our framework requires further validation in larger cohorts with more stringent multiplicity correction methods (e.g., Benjamini-Hochberg or Bonferroni) to ensure robust conclusions.
Conclusions
Our prospective exploratory study indicates that the integrity of brain tissue microstructure may be compromised shortly following ICH. The extent of damage to white-matter neurons in the affected hemisphere is correlated with short-term functional outcome, whereas damage to deep gray-matter neurons in the same hemisphere is associated with cognitive status.
Acknowledgments
We express our sincere gratitude to all the patients and their families, as well as to the entire staff who contributed to this study.
Footnote
Reporting Checklist: The authors have completed the STROBE reporting checklist. Available at https://qims.amegroups.com/article/view/10.21037/qims-2025-510/rc
Data Sharing Statement: Available at https://qims.amegroups.com/article/view/10.21037/qims-2025-510/dss
Funding: This study was supported by
Conflicts of Interest: All authors have completed the ICMJE uniform disclosure form (available at https://qims.amegroups.com/article/view/10.21037/qims-2025-510/coif). The authors have no conflicts of interest to declare.
Ethical Statement: The authors are accountable for all aspects of the work in ensuring that questions related to the accuracy or integrity of any part of the work are appropriately investigated and resolved. The study was approved by Ethics Committee of Beijing Tiantan Hospital (No. KY2023-277-02). Affirmation of consent in written form was secured from every participant or his/her family members involved in the study. The study was conducted in accordance with the Declaration of Helsinki and its subsequent amendments.
Open Access Statement: This is an Open Access article distributed in accordance with the Creative Commons Attribution-NonCommercial-NoDerivs 4.0 International License (CC BY-NC-ND 4.0), which permits the non-commercial replication and distribution of the article with the strict proviso that no changes or edits are made and the original work is properly cited (including links to both the formal publication through the relevant DOI and the license). See: https://creativecommons.org/licenses/by-nc-nd/4.0/.
References
- Greenberg SM, Ziai WC, Cordonnier C, Dowlatshahi D, Francis B, Goldstein JN, Hemphill JC 3rd, Johnson R, Keigher KM, Mack WJ, Mocco J, Newton EJ, Ruff IM, Sansing LH, Schulman S, Selim MH, Sheth KN, Sprigg N, Sunnerhagen KSAmerican Heart Association/American Stroke Association. 2022 Guideline for the Management of Patients With Spontaneous Intracerebral Hemorrhage: A Guideline From the American Heart Association/American Stroke Association. Stroke 2022;53:e282-361. [Crossref] [PubMed]
- Puy L, Parry-Jones AR, Sandset EC, Dowlatshahi D, Ziai W, Cordonnier C. Intracerebral haemorrhage. Nat Rev Dis Primers 2023;9:14. [Crossref] [PubMed]
- Bautista W, Adelson PD, Bicher N, Themistocleous M, Tsivgoulis G, Chang JJ. Secondary mechanisms of injury and viable pathophysiological targets in intracerebral hemorrhage. Ther Adv Neurol Disord 2021;14:17562864211049208. [Crossref] [PubMed]
- Xiao L, Wang M, Shi Y, Xu Y, Gao Y, Zhang W, Wu Y, Deng H, Pan W, Wang W, Sun H. Secondary White Matter Injury Mediated by Neuroinflammation after Intracerebral Hemorrhage and Promising Therapeutic Strategies of Targeting the NLRP3 Inflammasome. Curr Neuropharmacol 2023;21:669-86. [Crossref] [PubMed]
- Katsuki H, Hijioka M. Intracerebral Hemorrhage as an Axonal Tract Injury Disorder with Inflammatory Reactions. Biol Pharm Bull 2017;40:564-8. [Crossref] [PubMed]
- Venkatasubramanian C, Mlynash M, Finley-Caulfield A, Eyngorn I, Kalimuthu R, Snider RW, Wijman CA. Natural history of perihematomal edema after intracerebral hemorrhage measured by serial magnetic resonance imaging. Stroke 2011;42:73-80. [Crossref] [PubMed]
- Murthy SB, Urday S, Beslow LA, Dawson J, Lees K, Kimberly WT, Iadecola C, Kamel H, Hanley DF, Sheth KN, Ziai WC. VISTA ICH Collaborators. Rate of perihaematomal oedema expansion is associated with poor clinical outcomes in intracerebral haemorrhage. J Neurol Neurosurg Psychiatry 2016;87:1169-73. [Crossref] [PubMed]
- Staykov D, Wagner I, Volbers B, Hauer EM, Doerfler A, Schwab S, Bardutzky J. Natural course of perihemorrhagic edema after intracerebral hemorrhage. Stroke 2011;42:2625-9. [Crossref] [PubMed]
- Chen Y, Chang J, Liu J, Ye Z, Tian F, Ma W, Wei J, Feng M, Wang R. Validation of perihematomal edema expansion as a new imaging biomarker to predict clinical outcome in patients with intracerebral hemorrhage. J Stroke Cerebrovasc Dis 2022;31:106692. [Crossref] [PubMed]
- Fu F, Sun S, Liu L, Gu H, Su Y, Li Y. Iodine Sign as a Novel Predictor of Hematoma Expansion and Poor Outcomes in Primary Intracerebral Hemorrhage Patients. Stroke 2018;49:2074-80. [Crossref] [PubMed]
- Haque ME, Boren SB, Mills J, Schneider KG, Parekh M, Fraser SM, et al. Dynamic Imaging of Blood Coagulation Within the Hematoma of Patients With Acute Hemorrhagic Stroke. Stroke 2024;55:1015-24. [Crossref] [PubMed]
- Aksoy D, Bammer R, Mlynash M, Venkatasubramanian C, Eyngorn I, Snider RW, Gupta SN, Narayana R, Fischbein N, Wijman CA. Magnetic resonance imaging profile of blood-brain barrier injury in patients with acute intracerebral hemorrhage. J Am Heart Assoc 2013;2:e000161. [Crossref] [PubMed]
- Chang S, Zhang J, Liu T, Tsiouris AJ, Shou J, Nguyen T, Leifer D, Wang Y, Kovanlikaya I. Quantitative Susceptibility Mapping of Intracerebral Hemorrhages at Various Stages. J Magn Reson Imaging 2016;44:420-5. [Crossref] [PubMed]
- Yang J, Jing J, Chen S, Liu X, Tang Y, Pan C, Tang Z. Changes in Cerebral Blood Flow and Diffusion-Weighted Imaging Lesions After Intracerebral Hemorrhage. Transl Stroke Res 2022;13:686-706. [Crossref] [PubMed]
- Zhang Q, Zhang Y, Shi Q, Zhao L, Yue Y, Yan C. Application study of DTI combined with ASL in the crossed cerebellar diaschisis after subacute cerebral hemorrhage. Neurol Sci 2023;44:3949-56. [Crossref] [PubMed]
- McCourt R, Misaghi E, Tu W, Kate M, Gioia L, Treit S, Beaulieu C, Butcher KS. Peri-hematoma corticospinal tract integrity in intracerebral hemorrhage patients: A diffusion-tensor imaging study. J Neurol Sci 2021;421:117317. [Crossref] [PubMed]
- Schwarz G, Kanber B, Prados F, Browning S, Simister R, Jäger HR, Ambler G, Gandini Wheeler-Kingshott CAM, Werring DJ. SIGNAL Investigators. Whole-brain diffusion tensor imaging predicts 6-month functional outcome in acute intracerebral haemorrhage. J Neurol 2023;270:2640-8. [Crossref] [PubMed]
- Schwarz G, Kanber B, Prados F, Browning S, Simister R, Jäger R, Ambler G, Wheeler-Kingshott CAMG, Werring DJ. Acute corticospinal tract diffusion tensor imaging predicts 6-month functional outcome after intracerebral haemorrhage. J Neurol 2022;269:6058-66. [Crossref] [PubMed]
- Jang SH, Jung YJ, Jang WH. Recovery process of corticospinal tract injured by intracerebral hemorrhage from onset to chronic stage. Int J Stroke 2016;11:NP44-5. [Crossref] [PubMed]
- Yeo SS, Jang SH. A change in injured corticospinal tract originating from the premotor cortex to the primary motor cortex in a patient with intracerebral hemorrhage. Neural Regen Res 2012;7:939-42. [Crossref] [PubMed]
- Zhang H, Schneider T, Wheeler-Kingshott CA, Alexander DC. NODDI: practical in vivo neurite orientation dispersion and density imaging of the human brain. Neuroimage 2012;61:1000-16. [Crossref] [PubMed]
- Zhang J, Li L, Ji R, Shang D, Wen X, Hu J, Wang Y, Wu D, Zhang L, He F, Ye X, Luo B. NODDI Identifies Cognitive Associations with In Vivo Microstructural Changes in Remote Cortical Regions and Thalamocortical Pathways in Thalamic Stroke. Transl Stroke Res 2025;16:378-91. [Crossref] [PubMed]
- Wang Z, Zhang S, Liu C, Yao Y, Shi J, Zhang J, Qin Y, Zhu W. A study of neurite orientation dispersion and density imaging in ischemic stroke. Magn Reson Imaging 2019;57:28-33. [Crossref] [PubMed]
- Preziosa P, Pagani E, Meani A, Marchesi O, Conti L, Falini A, Rocca MA, Filippi M. NODDI, diffusion tensor microstructural abnormalities and atrophy of brain white matter and gray matter contribute to cognitive impairment in multiple sclerosis. J Neurol 2023;270:810-23. [Crossref] [PubMed]
- Grussu F, Schneider T, Tur C, Yates RL, Tachrount M, Ianuş A, Yiannakas MC, Newcombe J, Zhang H, Alexander DC, DeLuca GC, Gandini Wheeler-Kingshott CAM. Neurite dispersion: a new marker of multiple sclerosis spinal cord pathology? Ann Clin Transl Neurol 2017;4:663-79. [Crossref] [PubMed]
- Zhou W, Xie X, Hu J, Wang M, Hu X, Shi L, Zhou C, Sun X. Relationship Between Microstructural Alterations and Cognitive Decline After Whole-Brain Radiation Therapy for Brain Metastases: An Exploratory Whole-Brain MR Analysis Based on Neurite Orientation Dispersion and Density Imaging. J Magn Reson Imaging 2024;59:242-52. [Crossref] [PubMed]
- Palacios EM, Owen JP, Yuh EL, Wang MB, Vassar MJ, Ferguson AR, Diaz-Arrastia R, Giacino JT, Okonkwo DO, Robertson CS, Stein MB, Temkin N, Jain S, McCrea M, MacDonald CL, Levin HS, Manley GT, Mukherjee P. TRACK-TBI Investigators. The evolution of white matter microstructural changes after mild traumatic brain injury: A longitudinal DTI and NODDI study. Sci Adv 2020;6:eaaz6892. [Crossref] [PubMed]
- Tian J, Raghavan S, Reid RI, Przybelski SA, Lesnick TG, Gebre RK, Graff-Radford J, Schwarz CG, Lowe VJ, Kantarci K, Knopman DS, Petersen RC, Jack CR Jr, Vemuri P. White Matter Degeneration Pathways Associated With Tau Deposition in Alzheimer Disease. Neurology 2023;100:e2269-78. [Crossref] [PubMed]
- Jenkinson M, Beckmann CF, Behrens TE, Woolrich MW, Smith SM. FSL. Neuroimage 2012;62:782-90. [Crossref] [PubMed]
- Andersson JL, Skare S, Ashburner J. How to correct susceptibility distortions in spin-echo echo-planar images: application to diffusion tensor imaging. Neuroimage 2003;20:870-88. [Crossref] [PubMed]
- Andersson JLR, Sotiropoulos SN. An integrated approach to correction for off-resonance effects and subject movement in diffusion MR imaging. Neuroimage 2016;125:1063-78. [Crossref] [PubMed]
- Daducci A, Canales-Rodríguez EJ, Zhang H, Dyrby TB, Alexander DC, Thiran JP. Accelerated Microstructure Imaging via Convex Optimization (AMICO) from diffusion MRI data. Neuroimage 2015;105:32-44. [Crossref] [PubMed]
- Tustison NJ, Cook PA, Holbrook AJ, Johnson HJ, Muschelli J, Devenyi GA, Duda JT, Das SR, Cullen NC, Gillen DL, Yassa MA, Stone JR, Gee JC, Avants BB. The ANTsX ecosystem for quantitative biological and medical imaging. Sci Rep 2021;11:9068. [Crossref] [PubMed]
- Pham TX, Siarry P, Oulhadj H. Segmentation of MR Brain Images Through Hidden Markov Random Field and Hybrid Metaheuristic Algorithm. IEEE Trans Image Process 2020; Epub ahead of print. [Crossref]
- Rushmore RJ, Sunderland K, Carrington H, Chen J, Halle M, Lasso A, Papadimitriou G, Prunier N, Rizzoni E, Vessey B, Wilson-Braun P, Rathi Y, Kubicki M, Bouix S, Yeterian E, Makris N. Anatomically curated segmentation of human subcortical structures in high resolution magnetic resonance imaging: An open science approach. Front Neuroanat 2022;16:894606. [Crossref] [PubMed]
- Jung YJ, Jang SH. The fate of injured corticospinal tracts in patients with intracerebral hemorrhage: diffusion tensor imaging study. AJNR Am J Neuroradiol 2012;33:1775-8. [Crossref] [PubMed]
- Volbers B, Mennecke A, Kästle N, Huttner HB, Schwab S, Schmidt MA, Engelhorn T, Doerfler A. Quantitative Corticospinal Tract Assessment in Acute Intracerebral Hemorrhage. Transl Stroke Res 2021;12:540-9. [Crossref] [PubMed]
- Konieczny MJ, Dewenter A, Ter Telgte A, Gesierich B, Wiegertjes K, Finsterwalder S, Kopczak A, Hübner M, Malik R, Tuladhar AM, Marques JP, Norris DG, Koch A, Dietrich O, Ewers M, Schmidt R, de Leeuw FE, Duering M. Multi-shell Diffusion MRI Models for White Matter Characterization in Cerebral Small Vessel Disease. Neurology 2021;96:e698-708. [Crossref] [PubMed]
- Tao WD, Wang J, Schlaug G, Liu M, Selim MH. A comparative study of fractional anisotropy measures and ICH score in predicting functional outcomes after intracerebral hemorrhage. Neurocrit Care 2014;21:417-25. [Crossref] [PubMed]
- Low A, Mak E, Rowe JB, Markus HS, O'Brien JT. Inflammation and cerebral small vessel disease: A systematic review. Ageing Res Rev 2019;53:100916. [Crossref] [PubMed]
- Moura LM, Luccas R, de Paiva JPQ, Amaro E Jr, Leemans A, Leite CDC, Otaduy MCG, Conforto AB. Diffusion Tensor Imaging Biomarkers to Predict Motor Outcomes in Stroke: A Narrative Review. Front Neurol 2019;10:445. [Crossref] [PubMed]
- Brodtmann A, Werden E, Khlif MS, Bird LJ, Egorova N, Veldsman M, Pardoe H, Jackson G, Bradshaw J, Darby D, Cumming T, Churilov L, Donnan G. Neurodegeneration Over 3 Years Following Ischaemic Stroke: Findings From the Cognition and Neocortical Volume After Stroke Study. Front Neurol 2021;12:754204. [Crossref] [PubMed]
- Choi BR, Kim DH, Back DB, Kang CH, Moon WJ, Han JS, Choi DH, Kwon KJ, Shin CY, Kim BR, Lee J, Han SH, Kim HY. Characterization of White Matter Injury in a Rat Model of Chronic Cerebral Hypoperfusion. Stroke 2016;47:542-7. [Crossref] [PubMed]
- Zhu W, Huang H, Yang S, Luo X, Zhu W, Xu S, Meng Q, Zuo C, Liu Y, Wang W. Alzheimer’ s Disease Neuroimaging Initiative. Cortical and Subcortical Grey Matter Abnormalities in White Matter Hyperintensities and Subsequent Cognitive Impairment. Neurosci Bull 2021;37:789-803. [Crossref] [PubMed]
- Reidler P, Thierfelder KM, Fabritius MP, Sommer WH, Meinel FG, Dorn F, Wollenweber FA, Duering M, Kunz WG. Thalamic Diaschisis in Acute Ischemic Stroke: Occurrence, Perfusion Characteristics, and Impact on Outcome. Stroke 2018;49:931-7. [Crossref] [PubMed]
- Brodtmann A, Khlif MS, Egorova N, Veldsman M, Bird LJ, Werden E. Dynamic Regional Brain Atrophy Rates in the First Year After Ischemic Stroke. Stroke 2020;51:e183-92. [Crossref] [PubMed]
- Harada T, Kudo K, Fujima N, Yoshikawa M, Ikebe Y, Sato R, Shirai T, Bito Y, Uwano I, Miyata M. Quantitative Susceptibility Mapping: Basic Methods and Clinical Applications. Radiographics 2022;42:1161-76. [Crossref] [PubMed]
- Haque ME, Gabr RE, Zhao X, Hasan KM, Valenzuela A, Narayana PA, Ting SM, Sun G, Savitz SI, Aronowski J. Serial quantitative neuroimaging of iron in the intracerebral hemorrhage pig model. J Cereb Blood Flow Metab 2018;38:375-81. [Crossref] [PubMed]
- Thomas GEC, Leyland LA, Schrag AE, Lees AJ, Acosta-Cabronero J, Weil RS. Brain iron deposition is linked with cognitive severity in Parkinson's disease. J Neurol Neurosurg Psychiatry 2020;91:418-25. [Crossref] [PubMed]


