Deep learning-based bone removal in head and neck computed tomography angiography: a comparative study with conventional algorithms
Introduction
Cerebrovascular diseases, including ischemic stroke, intracranial aneurysms, and atherosclerotic stenosis, remain leading causes of disability and mortality worldwide (1-5), posing significant public health challenges (6,7). Accurate and timely diagnosis of vascular abnormalities is crucial for optimizing treatment outcomes and reducing disease burden. Computed tomography angiography (CTA) is a widely adopted non-invasive imaging modality for assessing cerebrovascular conditions due to its high spatial resolution, rapid acquisition time, and ability to provide detailed three-dimensional vascular visualization (8-10).
However, the diagnostic efficacy of head and neck CTA is often compromised by the presence of dense bony structures, especially at the skull base, which may generate streak artifacts and obscure vascular anatomy in standard reconstructions. These limitations are particularly problematic in regions where vessels traverse or lie adjacent to the petrous bone, clivus, or orbits, requiring accurate bone removal to ensure diagnostic visibility (11). Practical bone removal algorithms are thus essential for enhancing vessel delineation and reducing diagnostic uncertainty.
Several conventional techniques have been developed for bone removal in CTA, including bone subtraction CTA, dual-energy imaging, and filter-based approaches (12,13). While these methods are widely applied, they exhibit notable limitations, especially in regions where bones and blood vessels are closely juxtaposed, such as the petrous segment, orbital areas, and thoracic inlet. For instance, Lell et al. (13) proposed an automatic bone subtraction algorithm that achieved comparable performance to conventional methods with reduced processing time; however, its efficacy remained suboptimal in these anatomically challenging regions, often resulting in over-segmentation and inadvertent removal of vascular structures, thereby compromising image quality and diagnostic reliability (14).
Recent advancements in artificial intelligence (AI), including deep learning-based approaches, have introduced promising solutions to these challenges (15,16). Deep learning algorithms, leveraging convolutional neural networks (CNNs), effectively integrate spatial, textural, and contextual features, enabling the precise segmentation of bones and vessels (17,18). These AI-driven techniques have demonstrated superior performance in mitigating the limitations of traditional methods, enhancing vascular visualization, and improving diagnostic accuracy across various clinical imaging applications (19,20). Studies have shown that deep learning-based bone removal can significantly reduce segmentation errors, particularly in complex anatomical regions, offering potential for clinical translation (21).
In this study, we evaluate a novel deep learning-based bone removal algorithm specifically designed for head and neck CTA, comparing its performance with a conventional algorithm under two tube voltage settings (100 and 120 kVp). By addressing the critical challenges associated with conventional methods, our research aims to enhance the clinical utility of CTA imaging, provide evidence for optimizing imaging protocols, and guide the integration of AI technologies into cerebrovascular assessments.
Methods
Study population
This prospective study was approved by the Scientific Research and Clinical Trial Ethics Committee of The First Affiliated Hospital of Zhengzhou University (No. 2023-KY-0456), and written informed consent was obtained from all participants before enrollment. This study was conducted in accordance with the Declaration of Helsinki and its subsequent amendments. This randomized controlled trial (RCT) was conducted between February and March 2024 at The First Affiliated Hospital of Zhengzhou University. A total of 125 consecutive patients, aged 18 to 80 years, suspected of having cerebrovascular disease and scheduled for head and neck CTA, were prospectively enrolled.
The sample size was determined using a power analysis (α=0.05, 1 − β =0.80) to ensure adequate statistical power to detect a clinically significant difference in bone removal performance between the algorithms, based on a preliminary pilot study estimating a minimum effect size of 0.5 in bone removal scores.
Exclusion criteria included: (I) pregnancy or lactation; (II) unstable clinical condition; (III) elevated serum creatinine level (>1.5 mg/dL); (IV) known allergy to iodinated contrast agents; and (V) refusal or inability to provide informed consent. Based on these criteria, six patients were excluded, resulting in a final cohort of 119 patients.
Patients were randomly assigned to one of two groups using a computer-generated randomization sequence: group A (n=58), which underwent CTA scanning at a tube voltage of 100 kVp, and group B (n=61), which was scanned at a tube voltage of 120 kVp. Randomization was stratified by age and gender to minimize potential confounding. All patients underwent post-processing using both a conventional bone removal algorithm and a novel deep learning-based bone removal algorithm. Baseline demographic and clinical characteristics, including age, gender, body mass index (BMI), presence of hypertension, diabetes, and other cerebrovascular risk factors, were recorded for all participants (Table 1).
Table 1
| Variables | 100 kVp group (n=58) | 120 kVp group (n=61) | P |
|---|---|---|---|
| Gender† | 0.932 | ||
| Male | 29 [50] | 32 [52] | |
| Female | 29 [50] | 29 [48] | |
| Age (years) | 57.00 (50.00, 66.75) | 56.00 (50.00, 64.00) | 0.404 |
| BMI (kg/m2) | 23.88 (21.62, 25.89) | 23.88 (22.49, 26.37) | 0.463 |
| Aneurysm | 0.959 | ||
| Male | 44 [76] | 45 [74] | |
| Female | 14 [24] | 16 [26] | |
| Calcification | 0.561 | ||
| Male | 17 [29] | 14 [23] | |
| Female | 41 [71] | 47 [77] | |
| Stenosis | 0.854 | ||
| Male | 37 [64] | 36 [59] | |
| Female | 21 [36] | 25 [41] | |
| Stent | 0.680 | ||
| Male | 56 [97] | 57 [93] | |
| Female | 2 [3] | 4 [7] | |
| Cerebral infarction | 0.194 | ||
| Male | 40 [69] | 34 [56] | |
| Female | 18 [31] | 27 [44] | |
| Hypertension | 0.843 | ||
| Male | 40 [69] | 40 [66] | |
| Female | 18 [31] | 21 [34] |
Continuous variables are expressed as median (IQR) and compared using the Mann-Whitney U test. Categorical variables are presented as number [percentage] and compared using the Chi-squared test or Fisher’s exact test, as appropriate. No significant differences were observed between groups. †, data were analyzed using the Chi-squared test. BMI, body mass index; IQR, interquartile range.
Data acquisition and image reconstruction
All head and neck CTA scans were performed using a third-generation dual-source computed tomography (CT) scanner (SOMATOM Force, Siemens Healthineers, Forchheim, Germany). The imaging protocol included a tube voltage of either 100 or 120 kVp, with tube current modulation set between 50 and 250 mA using an automatic exposure control system (CareDose 4D) to optimize radiation dose. Additional acquisition parameters were as follows: pitch, 0.9; gantry rotation time, 0.5 seconds per rotation; and collimation, 128 mm × 0.6 mm.
A contrast agent, iodixanol (Visipaque 320 mgI/mL, GE Healthcare, Milwaukee, WI, USA), was administered intravenously at a dose of 50 mL at a rate of 5 mL/s, followed by a 30 mL flush of 0.9% saline. Image acquisition was conducted using the bolus-tracking technique, with the monitoring region of interest (ROI) positioned 1 cm below the aortic arch at the level of the ascending aorta. Scanning started with a 3-second delay after the monitoring CT value reached a contrast enhancement threshold of 100 Hounsfield units (HU). The scan range was set from the cranial vertex to 1 cm below the aortic arch, ensuring comprehensive coverage of the head and neck vasculature and consistent enhancement of both extracranial and intracranial arteries.
Bone removal was performed before any advanced image reconstruction to ensure algorithm performance directly influenced final visual quality. Images were reconstructed using advanced post-processing techniques, including maximum intensity projection (MIP), multiplanar reconstruction (MPR), curved planar reconstruction (CPR), and volume rendering (VR), on a Siemens workstation. For cross-sectional vascular images, both vascular and bone window settings were applied, with initial window width and level values set to 800, 240, 1,500, and −300 HU, respectively, and adjustable based on radiologists’ preferences to optimize visualization.
Image quality assessment
All imaging data were transferred to a Siemens workstation for post-processing and analysis. Two board-certified radiologists, with 6 and 11 years of experience, respectively, independently evaluated the CT images in a blinded manner to assess image quality. Radiologists evaluated axial, coronal, and sagittal source images, along with standardized MIP reconstructions. Before scoring, both radiologists reviewed five external head and neck CTA datasets together to establish interobserver consistency and calibrate scoring criteria. The final subjective scores were determined as the average of their independent evaluations.
Image quality was assessed using three key metrics: bone removal effectiveness, vessel branch completeness, and whole vessel completeness. Each metric was rated on a five-point Likert scale, with higher scores indicating better performance. The effectiveness of bone removal was evaluated by assessing the accuracy and completeness of bone subtraction without compromising adjacent vascular structures. Vessel branch completeness assessed the preservation and visualization of peripheral vessel branches, while whole vessel completeness evaluated the integrity of the entire vascular network.
Both readers considered not only vessel structure and artifacts but also the overall diagnostic confidence in determining the final scores.
Deep learning algorithm
The deep learning-based bone removal algorithm was implemented using a Deep Image-to-Image Network (DI2IN)-based encoder-decoder architecture. The encoder included multi-scale convolutional blocks with skip connections, while the decoder progressively recovered spatial resolution using transposed convolutions. Training was conducted using supervised learning on a curated dataset with manually annotated bone masks as ground truth. The network was optimized using the cross-entropy loss function and trained for 100 epochs using the Adam optimizer with an initial learning rate of 1e−4. Model validation was performed on an independent test set to ensure generalizability before deployment on contrast-enhanced CTA scans.
Radiation dose measurement
Radiation dose metrics, including the dose-length product (DLP) and CT dose index volume (CTDIvol), were recorded for each scan. The estimated effective radiation dose (ED) was calculated by multiplying the DLP by a conversion factor of 0.021 mSv·mGy−1·cm−1 for head and neck examinations, following the guidelines of the International Commission on Radiological Protection (ICRP).
Statistical analysis
All statistical analyses were performed using R (version 4.4.2) and Python (version 3.9). Categorical variables were summarized as counts and percentages. Normality of continuous variables was assessed using the Shapiro-Wilk test. Normally distributed variables were expressed as mean ± standard deviation (SD), while non-normally distributed variables were presented as median with interquartile range (IQR). For comparisons between groups (100 vs. 120 kVp), the Mann-Whitney U test was used for non-normally distributed continuous variables (e.g., image quality scores), as indicated by the Shapiro-Wilk test. The Wilcoxon signed-rank test was performed to assess differences between the conventional and deep learning-based algorithms within each tube voltage group. Multivariate regression analyses were conducted to identify predictors of image quality scores, with tube voltage, age, BMI, and hypertension as independent variables, and bone removal, vessel branch completeness, and whole vessel completeness as dependent variables. Adjusted R2 values were reported to evaluate model fit. Interobserver agreement for the qualitative image quality assessments was assessed using Cohen’s kappa (κ), interpreted as follows: <0, no agreement; 0.0–0.2, poor agreement; 0.2–0.4, fair agreement; 0.4–0.6, moderate agreement; 0.6–0.8, substantial agreement; and 0.8–1.0, excellent agreement. A P value of <0.05 was considered statistically significant.
Results
Patient demographics
A total of 119 patients were included in the final analysis, with 58 assigned to the 100 kVp group and 61 to the 120 kVp group. Baseline demographic and clinical characteristics, including gender, age, BMI, aneurysm, calcification, stenosis, stent use, cerebral infarction, and hypertension, were comparable between groups (all P>0.05), ensuring group homogeneity. The median age was 57 years (IQR, 50–65 years), and the median BMI was 23.88 kg/m2 (IQR, 22.16–26.08 kg/m2). Detailed characteristics are presented in Table 1.
Comparison between 100 and 120 kV tube voltage groups
Bone removal performance
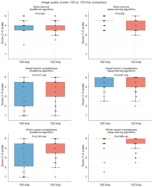
Quantitative comparisons of bone removal scores between 100 and 120 kVp under both algorithms are summarized in Figure 1 and Table 2. With the conventional algorithm, the median score from 3.50 (IQR, 3.50–4.00) to 3.50 (IQR, 3.50–4.00) (P=0.042), and with the deep learning algorithm from 4.50 (IQR, 4.50–4.50) to 4.50 (IQR, 3.50–4.50) (P=0.002). The κ value between reader 1 and reader 2 was 0.760, indicating substantial inter-reader agreement in the subjective scoring. Representative visual comparisons between the new and old algorithms at 100 and 120 kVp are shown in Figures 2,3, respectively. These examples illustrate typical differences in image quality, particularly in the petrous and orbital regions. While these visual cases support the quantitative results, the objective evaluations are detailed in the subsequent figures. These findings suggest that higher tube voltage enhances bone subtraction, thereby improving vascular visualization quality in head and neck CTA.
Table 2
| Score variables | Algorithm | 100 kVp | 120 kVp | P |
|---|---|---|---|---|
| Bone removal | CNN | 3.50 (3.50, 4.00) | 3.50 (3.50, 4.00) | 0.042* |
| AI | 4.50 (4.50, 4.50) | 4.50 (3.50, 4.50) | 0.002* | |
| Vessel branch completeness | CNN | 3.75 (2.00, 4.50) | 4.00 (3.00, 4.50) | 0.311 |
| AI | 5.00 (4.00, 5.00) | 4.50 (4.00, 5.00) | 0.051 | |
| Whole vessel completeness | CNN | 4.50 (2.12, 4.50) | 4.50 (3.50, 4.50) | 0.103 |
| AI | 5.00 (5.00, 5.00) | 5.00 (4.50, 5.00) | 0.089 |
Comparison of image quality scores between 100 and 120 kVp groups using deep learning-based (AI) and conventional (CNN) bone removal algorithms. Scores are presented as median (IQR). Statistical comparisons were performed using the Mann-Whitney U test. *, statistical significance at P<0.05. AI, artificial intelligence; CNN, convolutional neural network; IQR, interquartile range.
Vessel branch completeness
Vessel branch completeness scores showed no significant differences between 100 and 120 kVp groups (old algorithm: P=0.311; new algorithm: P=0.051; Mann-Whitney U test), as depicted in Figures 2,3. The near-significant result with the latest algorithm suggests a potential trend toward improved peripheral vessel visualization at 120 kVp, warranting further investigation.
Whole vessel completeness
Whole vessel completeness scores were comparable between 100 and 120 kVp groups, with no statistically significant differences observed under either algorithm (old algorithm: P=0.103; CNN algorithm: P=0.089). These results indicate that tube voltage had a limited effect on the overall continuity and integrity of vascular structures. Figure 1 presents the boxplot comparisons of whole vessel completeness scores between the two tube voltage settings for both algorithms, showing overlapping score distributions. To further characterize the distributional patterns of image quality scores, Figure 4 displays unified boxplots and density plots for all three evaluation metrics across both algorithms. These visualizations illustrate the median trends and IQRs, confirming the consistent performance advantage of the CNN-based method. Compared with the conventional algorithm, scores under the CNN model demonstrate a distinct rightward shift in distribution, indicating improved image quality in most patients. The density curves additionally reveal subtle differences in score skewness and variability across the cohort.
Comparison between old and new algorithms
Overall algorithm performance
As summarized in Table 3, the CNN-based method significantly outperformed the conventional algorithm across all three image quality metrics (P<0.001, Wilcoxon signed-rank test), with large effect sizes (Cohen’s d>0.8), indicating substantial visual improvements. Figure 5 presents paired comparisons of individual patient scores between the two algorithms. Each line connects a patient’s respective scores, revealing a consistent upward shift across the cohort. This pattern reflects the robustness of the CNN algorithm in enhancing image quality at the individual level. The most pronounced improvement was observed in whole vessel completeness (Cohen’s d=1.028, indicating a large effect size), followed by vessel branch completeness (Cohen’s d=0.910), and bone removal (Cohen’s d=0.886), both of which showed medium to large effect sizes. These findings confirm the new algorithm’s consistent superiority across all evaluated dimensions of vascular image quality.
Table 3
| Score variables | CNN | AI | P | Cohen’s d |
|---|---|---|---|---|
| Bone removal | 3.50 (3.50, 4.00) | 4.50 (4.00, 4.50) | <0.001* | 0.886 |
| Vessel branch completeness | 4.00 (2.00, 4.50) | 4.50 (4.00, 5.00) | <0.001* | 0.910 |
| Whole vessel completeness | 4.50 (3.00, 4.50) | 5.00 (4.50, 5.00) | <0.001* | 1.028 |
Paired comparison of image quality scores between the new deep learning-based algorithm (AI) and the conventional convolutional method (CNN). Scores are presented as median (IQR). Statistical comparisons were performed using the Wilcoxon signed-rank test. Effect size was measured using Cohen’s d: 0.2, small; 0.5, medium; 0.8, large. All differences were statistically significant (P<0.001). *, statistical significance at P<0.05. AI, artificial intelligence; CNN, convolutional neural network; IQR, interquartile range.
Effect size interpretation
Bone removal scores improved significantly (P<0.001), with a medium effect size (Cohen’s d=0.886). Vessel branch completeness also showed significant enhancement (P<0.001), with a medium effect size (Cohen’s d=0.910). Whole vessel completeness exhibited the most significant improvement (P<0.001), with a large effect size (Cohen’s d=1.028). These findings highlight the superiority of the new algorithm over the old one, particularly in terms of preserving vascular integrity while effectively removing bony structures.
Multivariate regression analysis
Multivariate regression analyses were conducted with tube voltage, age, BMI, and hypertension as independent variables, and each of the three image quality scores as dependent variables.
Tube voltage significantly influenced bone removal with the new algorithm (β=−0.3305, P=0.001) and whole vessel completeness with the old algorithm (β=0.5261, P=0.023). Its effect on vessel branch completeness was not significant (P=0.085). Age was negatively associated with whole vessel completeness in the new algorithm (β=−0.0114, P=0.015). Neither BMI nor hypertension significantly affected image quality (all P>0.05).
Model fit and adjusted R2 values
The results of the multivariate regression analysis are summarized in Table 4. Tube voltage was identified as a significant predictor for image quality in CNN-based bone removal (P=0.001) and AI-based whole vessel completeness (P=0.023). Other clinical variables, including age, BMI, and hypertension, were not consistently associated with image quality outcomes. Adjusted R2 values for all regression models ranged from −0.015 to 0.071, indicating that the included patient-specific variables explained only a small proportion of variance in image quality scores. Notably, the negative adjusted R2 values originated from models that excluded the bone removal algorithm itself and relied solely on clinical predictors.
Table 4
| Dependent variables | Algorithm | P value | Adjusted R2 | |||
|---|---|---|---|---|---|---|
| Tube voltage | Age | BMI | Hypertension | |||
| Bone removal | CNN | 0.171 | 0.478 | 0.399 | 0.160 | 0.012 |
| AI | 0.001* | 0.120 | 0.868 | 0.459 | 0.071 | |
| Vessel branch completeness | CNN | 0.169 | 0.726 | 0.577 | 0.941 | −0.015 |
| AI | 0.085 | 0.388 | 0.730 | 0.825 | −0.001 | |
| Whole vessel completeness | CNN | 0.023* | 0.399 | 0.936 | 0.698 | 0.023 |
| AI | 0.087 | 0.015* | 0.412 | 0.590 | 0.036 | |
Multivariate regression analysis of image quality scores (bone removal, vessel branch completeness, and whole vessel completeness) for both AI- and CNN-based algorithms. Independent variables included tube voltage (100 vs. 120 kVp), age, BMI, and hypertension status. P values represent the significance of each predictor. Adjusted R2 reflects the proportion of variance in the score explained by the model. *, statistical significance at P<0.05. AI, artificial intelligence; BMI, body mass index; CNN, convolutional neural network.
Radiation dose analysis
Radiation exposure was significantly lower in the 100 kVp group compared to the 120 kVp group. The mean CTDIvol was 8.4±0.9 mGy for 100 kVp vs. 12.5±1.2 mGy for 120 kVp (P<0.001), and the corresponding DLP values were 312.7±28.5 and 450.3±32.6 mGy·cm, respectively (P<0.001).
Discussion
This study evaluated the performance of a novel deep learning-based bone removal algorithm for head and neck CTA under two tube voltage settings (100 and 120 kVp), in comparison with a conventional method. The results demonstrated that the CNN-based algorithm significantly enhanced image quality across all evaluated metrics, including bone removal effectiveness, vessel branch completeness, and whole vessel completeness, consistently outperforming the traditional algorithm (all P<0.001). These improvements were particularly pronounced, as evidenced by the rightward shift in score distributions in Figure 4 and the paired individual score trajectories in Figure 5.
Among the three metrics, the most significant improvement was observed in whole vessel completeness (Cohen’s d=1.028), followed by vessel branch completeness (d=0.910) and bone removal (d=0.886), confirming significant to medium effect sizes and consistent individual-level gains. Furthermore, the CNN-based method demonstrated robustness against patient-specific variables. Multivariate regression revealed no significant association between image quality and BMI or hypertension (all P>0.05). However, a mild negative association between age and whole vessel completeness was observed (β=−0.0114, P=0.015), possibly due to age-related vascular calcification or reduced contrast enhancement. These findings support the algorithm’s reliability across diverse patient populations.
Bone removal is a critical step in head and neck CTA, especially in anatomically dense areas such as the petrous and orbital regions, where bone and vascular structures are tightly interwoven (22). Traditional algorithms rely on CT attenuation thresholds and morphological operations, which are prone to over-segmentation and inadvertent removal of vascular tissue (23). In this study, the conventional method yielded lower bone removal scores [e.g., median (IQR), 3.50 (3.50–4.00) at 100 kVp], reflecting these limitations (24). Manual intervention is often required in such cases, increasing workflow complexity. Retrospective review confirmed that both algorithms preserved lesion visibility in all patients with vascular abnormalities, such as stenosis and aneurysms, with no relevant findings missed due to over-removal or vessel obscuration. This supports the clinical safety of both approaches (25-28).
The deep learning algorithm was trained using a curated dataset of 1,014 manually labeled MIP images from craniocervical CTA scans, with expert annotation of bone and vascular masks. Its underlying architecture, a DI2IN, adopts an encoder-decoder framework with multi-level feature concatenation, enabling accurate bone-vessel differentiation. This method, which integrates spatial, textural, and contextual features, was optimized using the ADAM algorithm and validated on an independent cohort. As detailed in the “Result” section, these design elements contributed to significantly higher bone removal scores compared to the conventional approach [e.g., median (IQR), 3.50 (3.50–4.00) at CNN group vs. 4.50 (4.00–4.50) at AI group, P=0.886].
Our findings further indicated that higher tube voltage (100 kVp) consistently yielded superior bone removal performance compared to 120 kVp (e.g., P=0.002 with AI). This likely reflects more efficient photon penetration and bone attenuation, enhancing segmentation contrast. However, vessel branch completeness and whole vessel completeness showed no significant dependence on tube voltage, suggesting that vascular continuity metrics are less sensitive to changes in energy level.
Notably, despite increased image noise at 100 kVp, bone removal scores remained high under the AI algorithm (median, 4.50; IQR, 4.50–4.50), possibly due to improved soft tissue contrast at lower photon energies. This highlights the algorithm’s potential for effective performance even in low-dose settings.
Radiation dose analysis revealed significantly lower CTDIvol and DLP values at 100 kVp (8.4±0.9 and 312.7±28.5 mGy·cm) compared to 120 kVp (12.5±1.2 and 450.3±32.6 mGy·cm) (P<0.001). Importantly, diagnostic image quality was maintained at 100 kVp, supporting the feasibility of dose reduction without compromising performance—an especially relevant consideration in dose-sensitive populations such as pediatric and geriatric patients.
Importantly, while tube voltage demonstrated a measurable but limited impact on bone removal performance, the reconstruction algorithm itself remained the predominant determinant of image quality. Moreover, the significant dose reduction achievable with 100 kVp protocols reinforces their clinical applicability in dose-sensitive populations, without compromising diagnostic performance.
This study advances the field by offering a comprehensive, clinically validated evaluation of deep learning-based bone removal for head and neck CTA. Unlike prior works that focused on limited parameters or anatomical sites, our approach utilized objective, multimetric image quality assessments across two tube voltages. The findings align with previous reports on the limitations of traditional threshold-based bone removal techniques and emphasize the practical advantages of AI-based segmentation in complex anatomical regions.
Limitations of the study include its single-center design, which may affect generalizability. Only two tube voltage settings were evaluated; future studies should explore ultra-low-dose protocols (e.g., 80 kVp), different reconstruction kernels, and slice thicknesses. Moreover, although the study included a routine clinical cohort, it did not stratify patients by disease type (e.g., aneurysm, stenosis), which may have influenced performance. In addition, although both conventional and CNN-based bone removal algorithms were evaluated, other confounding factors affecting image quality were not independently analyzed. Notably, streak artifacts, especially those originating from dense skull base structures or metallic dental materials, remain a significant source of diagnostic uncertainty and may not be entirely eliminated by current bone removal techniques. Similarly, venous contamination due to imperfect bolus timing can obscure distal arteries and lower arterial contrast, potentially reducing diagnostic confidence. While standardized injection protocols helped minimize such effects, their residual influence may persist in real-world practice. Future work should incorporate artifact-specific metrics, assess algorithm robustness under varying artifact conditions, and evaluate diagnostic accuracy across diverse cerebrovascular pathologies. Furthermore, optimizing algorithmic inference speed and enabling real-time workflow integration will be essential for broader clinical deployment.
Conclusions
In conclusion, the deep learning-based bone removal algorithm significantly improves image quality in head and neck CTA, especially at higher tube voltages, while maintaining robust performance under low-dose conditions. Its reduced dependency on patient-specific factors and superior segmentation accuracy support its potential for integration into clinical workflows, enhancing vascular visualization and diagnostic confidence. Further refinements and prospective multicenter studies are warranted to confirm its generalizability and optimize its application in broader clinical contexts.
Acknowledgments
None.
Footnote
Data Sharing Statement: Available at https://qims.amegroups.com/article/view/10.21037/qims-2025-942/dss
Funding: This research was supported by
Conflicts of Interest: All authors have completed the ICMJE uniform disclosure form (available at https://qims.amegroups.com/article/view/10.21037/qims-2025-942/coif). L.L. is an employee of Siemens Healthineers Digital Technology (Shanghai) Co., Ltd. The other authors have no conflicts of interest to declare.
Ethical Statement: The authors are accountable for all aspects of the work in ensuring that questions related to the accuracy or integrity of any part of the work are appropriately investigated and resolved. This prospective study was approved by the Scientific Research and Clinical Trial Ethics Committee of The First Affiliated Hospital of Zhengzhou University (No. 2023-KY-0456), and written informed consent was obtained from all participants before enrollment. This study was conducted in accordance with the Declaration of Helsinki and its subsequent amendments.
Open Access Statement: This is an Open Access article distributed in accordance with the Creative Commons Attribution-NonCommercial-NoDerivs 4.0 International License (CC BY-NC-ND 4.0), which permits the non-commercial replication and distribution of the article with the strict proviso that no changes or edits are made and the original work is properly cited (including links to both the formal publication through the relevant DOI and the license). See: https://creativecommons.org/licenses/by-nc-nd/4.0/.
References
- Petridis AK, Kamp MA, Cornelius JF, Beez T, Beseoglu K, Turowski B, Steiger HJ. Aneurysmal Subarachnoid Hemorrhage. Dtsch Arztebl Int 2017;114:226-36. [Crossref] [PubMed]
- Mac Grory B, Emmer BJ, Roosendaal SD, Zagzag D, Yaghi S, Nossek E. Carotid web: an occult mechanism of embolic stroke. J Neurol Neurosurg Psychiatry 2020;91:1283-9. [Crossref] [PubMed]
- Longarino FK, Tessonnier T, Mein S, Harrabi SB, Debus J, Stiller W, Mairani A. Dual-layer spectral CT for proton, helium, and carbon ion beam therapy planning of brain tumors. J Appl Clin Med Phys 2022;23:e13465. [Crossref] [PubMed]
- Czap AL, Sheth SA. Overview of Imaging Modalities in Stroke. Neurology 2021;97:S42-51. [Crossref] [PubMed]
- Etminan N, Dörfler A, Steinmetz H. Unruptured Intracranial Aneurysms- Pathogenesis and Individualized Management. Dtsch Arztebl Int 2020;117:235-42. [Crossref] [PubMed]
- Donahue MJ, Hendrikse J. Improved detection of cerebrovascular disease processes: Introduction to the Journal of Cerebral Blood Flow and Metabolism special issue on cerebrovascular disease. J Cereb Blood Flow Metab 2018;38:1387-90. [Crossref] [PubMed]
- Li AL, Zhu S, Hu ZH, Peng Q, Fang X, Zhang YY. The distribution and epidemic characteristics of cerebrovascular disease in followed-up hypertension patients. Sci Rep 2021;11:9366. [Crossref] [PubMed]
- Zhang Q, Sun Q, Zhang Y, Zhang H, Shan T, Han J, Pan W, Gu C, Xu R. Three-dimensional image fusion of CTA and angiography for real-time guidance during neurointerventional procedures. J Neurointerv Surg 2017;9:302-6. [Crossref] [PubMed]
- Wang D, Li Z, Zheng X, Chong H, Zhang T, Wang Z, Wang Y, He J. Head and neck CT angiography to assess the internal carotid artery stealing pathway. BMC Neurol 2020;20:334. [Crossref] [PubMed]
- Travis Caton M Jr, Miskin N, Guenette JP. The role of computed tomography angiography as initial imaging tool for acute hemorrhage in the head and neck. Emerg Radiol 2021;28:215-21. [Crossref] [PubMed]
- Isikbay M, Caton MT, Calabrese E. A Deep Learning Approach for Automated Bone Removal from Computed Tomography Angiography of the Brain. J Digit Imaging 2023;36:964-72. [Crossref] [PubMed]
- Kaemmerer N, Brand M, Hammon M, May M, Wuest W, Krauss B, Uder M, Lell MM. Dual-Energy Computed Tomography Angiography of the Head and Neck With Single-Source Computed Tomography: A New Technical (Split Filter) Approach for Bone Removal. Invest Radiol 2016;51:618-23. [Crossref] [PubMed]
- Lell M, Anders K, Klotz E, Ditt H, Bautz W, Tomandl BF. Clinical evaluation of bone-subtraction CT angiography (BSCTA) in head and neck imaging. Eur Radiol 2006;16:889-97. [Crossref] [PubMed]
- Deng K, Liu C, Ma R, Sun C, Wang XM, Ma ZT, Sun XL. Clinical evaluation of dual-energy bone removal in CT angiography of the head and neck: comparison with conventional bone-subtraction CT angiography. Clin Radiol 2009;64:534-41. [Crossref] [PubMed]
- Lell MM, Kramer M, Klotz E, Villablanca P, Ruehm SG. Carotid computed tomography angiography with automated bone suppression: a comparative study between dual energy and bone subtraction techniques. Invest Radiol 2009;44:322-8. [Crossref] [PubMed]
- Isensee F, Jaeger PF, Kohl SAA, Petersen J, Maier-Hein KH. nnU-Net: a self-configuring method for deep learning-based biomedical image segmentation. Nat Methods 2021;18:203-11. [Crossref] [PubMed]
- Shamshad F, Khan S, Zamir SW, Khan MH, Hayat M, Khan FS, Fu H. Transformers in medical imaging: A survey. Med Image Anal 2023;88:102802. [Crossref] [PubMed]
- Esteva A, Robicquet A, Ramsundar B, Kuleshov V, DePristo M, Chou K, Cui C, Corrado G, Thrun S, Dean J. A guide to deep learning in healthcare. Nat Med 2019;25:24-9. [Crossref] [PubMed]
- Wang J, Zhou J, Wang M. Pan-cancer image segmentation based on feature pyramids and Mask R-CNN framework. Med Phys 2024;51:5427-40. [Crossref] [PubMed]
- Yao T, Wang C, Wang X, Li X, Jiang Z, Qi P. Enhancing percutaneous coronary intervention with heuristic path planning and deep-learning-based vascular segmentation. Comput Biol Med 2023;166:107540. [Crossref] [PubMed]
- Isikbay M, Caton MT, Narvid J, Talbott J, Cha S, Calabrese E. Deep learning segmentation-based bone removal from computed tomography of the brain improves subdural hematoma detection. J Neuroradiol 2025;52:101231. [Crossref] [PubMed]
- Marwa F, Zahzah EH, Bouallegue K, Machhout M. Deep learning based neural network application for automatic ultrasonic computed tomographic bone image segmentation. Multimed Tools Appl 2022;81:13537-62. [Crossref] [PubMed]
- Fujita A, Sakai O, Chapman MN, Sugimoto H. IgG4-related disease of the head and neck: CT and MR imaging manifestations. Radiographics 2012;32:1945-58. [Crossref] [PubMed]
- Tawk RG, Hasan TF, D'Souza CE, Peel JB, Freeman WD. Diagnosis and Treatment of Unruptured Intracranial Aneurysms and Aneurysmal Subarachnoid Hemorrhage. Mayo Clin Proc 2021;96:1970-2000. [Crossref] [PubMed]
- Han S, Yang J, Xu J. Deep Learning-Based Computed Tomography Image Features in the Detection and Diagnosis of Perianal Abscess Tissue. J Healthc Eng 2021;2021:3706265. [Crossref] [PubMed]
- Gong Z, Song J, Guo W, Ju R, Zhao D, Tan W, Zhou W, Zhang G. Abdomen tissues segmentation from computed tomography images using deep learning and level set methods. Math Biosci Eng 2022;19:14074-85. [Crossref] [PubMed]
- Chassagnon G, De Margerie-Mellon C, Vakalopoulou M, Marini R, Hoang-Thi TN, Revel MP, Soyer P. Artificial intelligence in lung cancer: current applications and perspectives. Jpn J Radiol 2023;41:235-44. [Crossref] [PubMed]
- Lee SB, Hong Y, Cho YJ, Jeong D, Lee J, Yoon SH, Lee S, Choi YH, Cheon JE. Deep Learning-Based Computed Tomography Image Standardization to Improve Generalizability of Deep Learning-Based Hepatic Segmentation. Korean J Radiol 2023;24:294-304. [Crossref] [PubMed]

