Molecular subgrouping of pediatric medulloblastoma by mismatch between molecular and structural MRI
Introduction
Medulloblastoma (MB) is the most common malignant pediatric brain tumor, accounting for approximately 40% of childhood tumors in the posterior fossa (1). Although once considered a single-type tumor, genomic characterization and molecular advances have recently demonstrated that MB can be subdivided into at least 4 distinct subgroups (2): wingless (WNT), sonic hedgehog (SHH), group 3, and group 4. These subgroups exhibit different clinical behaviors and prognoses, and may benefit from subgroup-specific treatments. For example, the 5-year survival rates of patients with WNT, SHH, group 3, and group 4 tumors are around 95%, 75%, 50%, and 75%, respectively, while the prevalence rates of metastatic MB are around 5–10%, 15–20%, 40–45%, and 40–50% for the corresponding subtypes (3).
The gold standard in subgrouping MB relies on the genetic profiling of tissues obtained from surgical resection or biopsy. However, these surgical sampling methods are invasive and may not be essential for some low-risk patients. In addition, the genetic analysis of MB can be expensive and is often not covered by medical insurance across the globe. As a result, the universal translation of molecular subgrouping of MB into routine clinical practice has been hampered (4).
Magnetic resonance imaging (MRI) is the most important imaging modality for diagnosing pediatric MB. Conventional MRI techniques, such as T1-weighted (T1w), T2-weighted (T2w), and fluid-attenuated inversion recovery (FLAIR) imaging sequences, are the workhorses for routine diagnosis of MB in children. These structural MRI techniques have been used in earlier studies to qualitatively characterize MB (4-6), identifying that the tumor location and enhancement pattern differ across MB subgroups. For example, group 3 and group 4 tumors predominantly arise around the midline fourth ventricle, SHH tumors frequently occur in the cerebellar hemispheres, and WNT tumors mostly form in the cerebellar peduncle/ cerebellopontine angle cistern (4,6). While qualitative image features can offer some clues about MB subgroups, these features are subjective and prone to variability, leading to inconsistent results (4,7).
Recently, researchers have resorted to advanced imaging techniques for subgrouping MB. Advanced diffusion MRI, perfusion MRI, and magnetic resonance (MR) spectroscopy can provide complementary physiological and functional information for subgrouping pediatric MB (8). For example, MR spectroscopy studies have shown that creatine, myo-inositol, and lipid concentrations are key predictors for differentiating combined group 3/4 tumors from SHH ones (9).
Amide proton transfer (APT) imaging (10), a variant of chemical exchange saturation transfer (CEST) imaging (11), is an emerging molecular MRI technique that can probe proteins and peptides noninvasively via their chemical exchange with the bulk water protons. APT MRI has been successfully used to differentiate low- and high-grade gliomas (12) and stratify risk groups of abdominal tumors in children (13). However, to the best of our knowledge, APT MRI has not been applied to subgrouping MB. A recent proteomic study analyzed the contents of 13,000 proteins and found that protein expression levels could not only successfully differentiate the four MB subgroups, but also further subdivide the SHH subgroup into SHHa and SHHb subtypes (14). Thus, we hypothesize that the APT signals correlate with the molecular subgroups of pediatric MB.
In recent studies, the T2-FLAIR mismatch sign has played a significant role in identifying the IDH-mutant astrocytoma (15,16). This non-invasive marker may aid in the treatment decision processes in these glioma patients. Similarly, in this study, we propose the molecular-structural MRI mismatch signs based on the advanced APT technique and conventional T2w or FLAIR images. We then compare the performance of the molecular-structural mismatch signs with the native APTw metric for distinguishing the molecular subgroups among pediatric MB patients non-invasively. We present this article in accordance with the STARD reporting checklist (available at https://qims.amegroups.com/article/view/10.21037/qims-2025-183/rc).
Methods
The study was conducted in accordance with the Declaration of Helsinki and its subsequent amendments. This prospective study was approved by the Ethics Committee of the Children’s Hospital at Zhejiang University School of Medicine (No. 2019-IRB-142), and informed consent was obtained from the legal guardian of each participant.
Patient cohort
From February 2018 to April 2022, sixty newly diagnosed patients with confirmed MB were consecutively enrolled in this prospective study and underwent brain MRI examinations. A summary of the patient selection process is shown in Figure 1. The inclusion criteria were as follows: (I) patients with pathologically confirmed MB; (II) ≤18 years old at diagnosis; (III) no prior treatment related to MB; and (IV) eligible for MRI. The exclusion criteria were as follows: (I) lack of molecular analysis; (II) none of the 4 molecular subtypes [not otherwise specified (NOS)]; and (III) incomplete MRI data.
Molecular subgrouping
All patients in this study underwent surgical resection within one week after MRI acquisition. The tumor tissues were preserved in RNAlater solution and sent out to third-party companies (Genetron Health or GenomiCare Biotechnology) for proprietary genetic testing and reporting of MB subgroups.
MR imaging techniques
All patients underwent MRI examinations on a 3 Tesla scanner (Philips Healthcare). As for conventional structural MRI, pre-contrast and post-contrast T1w, T2w, and FLAIR sequences were executed. As for molecular APT MRI, a frequency-stabilized turbo-spin-echo CEST sequence was run (17,18). The CEST saturation power was 2 µT, and the saturation duration was 0.8 s, in line with the recent APT consensus paper (19). At the beginning of the CEST experiment, an unsaturated reference (M0) image was acquired at the offset of 1,565 ppm, serving as the baseline for subsequent measurements. The APT sequence was implemented in a single-slice manner through the greatest cross-section of the tumor. Detailed acquisition parameters for the MRI sequences are shown in Table S1.
Image processing
The workflow of the image processing pipeline is shown in Figure 2. The conventional structural images were registered to APT source images at 3.5 ppm. Then, the region of interest (ROI) encircling the whole tumor was initially delineated on the unsaturated APT source image by two pediatric radiologists (H.Z. and X.M., both with 10 years of experience) who were unaware of the patient’s MB subtype information. Furthermore, the two ROIs drawn by the two radiologists for the same participant were intersected to generate a combined one. Finally, all voxels in the combined ROI went through a quality assurance process to automatically remove artifact ones (12) for further processing.
All acquired APT images were coregistered to the saturated image frame at 3.5 ppm (20) using the FLIRT (V6.0, FMRIB, Oxford University) tool (21). All image preprocessing procedures were implemented in MATLAB (R2021b, MathWorks). The water saturation shift referencing method was used to obtain and correct the main field inhomogeneity for each voxel (22). Then the APT signal was quantified by the APTw metric using the asymmetric analysis method with the reference frame at −3.5 ppm (Zref) and the label frame at 3.5 ppm (Zlab), i.e., APTw = Zref-Zlab (23).
The T2w and FLAIR images were normalized by the mean values of the voxels within the combined ROI to account for differences in image intensity scaling, respectively. The APTw maps were then divided by the normalized T2w and FLAIR images voxelwise to generate APTw/T2w and APTw/FLAIR images, respectively. Then, the difference maps between APTw images and the two generated ones (APTw/T2w and APTw/FLAIR) were named APTw-T2w and APTw-FLAIR mismatch images, respectively.
An automatic ROI-shrinking algorithm (12) was applied to the APTw maps, using the preprocessed ROI described above, to select the largest subregion as the final ROI with signal intensity exceeding a pre-defined histogram cutoff. The histogram cutoff is enumerated from 0th to 99th percentiles with a step size of 1th percentile. Then, the mean values of APTw maps and molecular-structural mismatch images in the final ROI at different cutoff values were calculated for the succeeding analysis.
Statistical analysis
Due to the limited number of patients, only binary categorization was performed to discriminate the molecular subgroups of MB, e.g., WNT vs. non-WNT. The one-way analysis of variance (ANOVA) was performed to compare age differences across the four molecular subgroups, while the Chi-squared test was used to evaluate gender differences among the subgroups. The Shapiro-Wilk test was used to assess the normality of the mean value data. Data that followed a normal distribution were presented as mean ± standard deviation, and subgroup differences were assessed using two-sample independent t-tests. For data that did not follow a normal distribution, they were presented as median (range), and rank sum tests were employed for comparisons between subgroups. The diagnostic performance of each mean value of APTw and molecular-structural mismatch images was assessed by the area under the curve (AUC) of the receiver operating characteristic (ROC) curves. The statistical significance of the differences between AUC values was evaluated with the DeLong test method (24) and a P value below 0.05 was considered to indicate statistical significance. All statistical analyses were performed with MATLAB (R2021b, MathWorks).
Results
Patient demographics
As presented in Figure 1, among the 60 newly diagnosed patients enrolled, 6 subjects were excluded due to a lack of molecular analysis reports, 3 persons were excluded because of being identified as “not otherwise specified”, and 5 patients were excluded owing to missing APT or other image data. For the 46 patients (mean age at diagnosis: 75.1±43.4 months; 33 males) included in the final analysis, the number of patients with WNT, SHH, group 3 and group 4 MB were 5 (10.8%), 13 (28.3%), 9 (19.6%), and 19 (41.3%), respectively. There were no significant differences in age or gender among the four molecular subgroups. Patients’ demographics are listed in Table 1.
Table 1
| Variables | WNT | SHH | Group 3 | Group 4 | P value |
|---|---|---|---|---|---|
| No. of patients | 5 | 13 | 9 | 19 | |
| Age at diagnosis, months | 0.091 | ||||
| Mean ± SD | 95.6±51.8 | 51.5±42.1 | 89.2±42.9 | 79.1±38.5 | |
| Median [range] | 108 [22–146] | 37 [6–132] | 94 [30–151] | 63 [32–161] | |
| Gender (male/female), n | 2/3 | 11/2 | 6/3 | 14/5 | 0.296 |
SD, standard deviation; SHH, sonic hedgehog; WNT, wingless.
Comparison of representative MB cases
Figure 3 shows anatomical FLAIR, APTw, APTw/FLAIR, and APTw-FLAIR mismatch images from representative patients with and without mismatch signs. In Figure 3A, the SHH patient shows a clear mismatch sign, with a high APTw signal in the tumor region that does not correspond to a high FLAIR signal. In contrast, the group 4 patient in Figure 3B does not exhibit this mismatch. These findings support our hypothesis that APTw-FLAIR mismatch signs may be useful for differentiating MB subgroups. Similar results based on APTw and T2w images are displayed in Figure S1.
Comparison of mean values between MB subgroups
As displayed in Table 2, the mean values calculated from the APTw and APTw-T2w mismatch images of the WNT subgroup were notably higher than the non-WNT subgroup at the optimal histogram cutoff levels. Conversely, the mean value derived from the APTw-FLAIR mismatch image of the WNT subgroup was significantly lower than that of the non-WNT subgroup at the optimal histogram cutoff level. In contrast, the mean values obtained from the images of SHH, group 3, and group 4 did not exhibit significant differences when compared to the counterpart subgroups at the optimal histogram cutoff levels, respectively.
Table 2
| Metrics | APTw | APTw-T2w mismatch | APTw-FLAIR mismatch |
|---|---|---|---|
| WNT | |||
| Yes | 3.95 (3.24–4.60) | 0.347 (0.294–0.863) | −0.484±0.935 |
| No | 3.25 (1.81–4.51) | 0.243±0.108 | 0.028±0.086 |
| Histogram cutoff | 63% | 61% | 3% |
| P value | 0.007* | 0.004* | <0.001* |
| SHH | |||
| Yes | 3.57±0.94 | 1.04±0.95 | 0.433±0.245 |
| No | 0.349±0.217 | 1.19±0.82 | 1.08±2.45 |
| Histogram cutoff | 86% | 99% | 99% |
| P value | 0.144 | 0.576 | 0.354 |
| Group 3 | |||
| Yes | 2.41 (1.88–3.37) | 1.25 (0.262–2.63) | 0.022 (−0.001 to 0.059) |
| No | 2.62 (0.673–3.90) | 1.11±0.89 | 0.016±0.273 |
| Histogram cutoff | 2% | 99% | 9% |
| P value | 0.618 | 0.158 | 0.102 |
| Group 4 | |||
| Yes | 2.41±0.635 | 0.264±0.151 | 0.053±0.120 |
| No | 2.51 (0.647–3.88) | 0.349±0.217 | −0.084±0.416 |
| Histogram cutoff | 1% | 66% | 3% |
| P value | 0.503 | 0.144 | 0.169 |
Data that follow a normal distribution are presented as mean ± standard deviation, and those do not follow a normal distribution are presented as median (range). *, P<0.05. APTw, amide proton transfer-weighted; FLAIR, fluid-attenuated inversion recovery; ROI, region of interest; SHH, sonic hedgehog; T2w, T2-weighted; WNT, wingless.
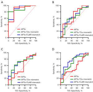
Subgrouping performance of molecular-structural mismatch signs
Table 3 presents the performance of mean values within shrunken ROIs of APTw, APTw-T2w mismatch, and APTw-FLAIR mismatch images for distinguishing four molecular MB subgroups at the optimal histogram cutoffs. The ROC curves of them are displayed in Figure 4. The mean value of the APTw-T2w mismatch image was the best one for identifying the WNT subgroup with an AUC of 0.90 (P≥0.76 for all pairwise comparisons). The AUC values of ROC curves distinguishing the SHH subgroup were 0.66, 0.61, and 0.67 for APTw, APTw-T2w mismatch, and APTw-FLAIR mismatch images (P≥0.48 for all pairwise comparisons), respectively. Plus, the mean value from the APTw-FLAIR mismatch image was the most successful one for separating the group 3 subtype, with an AUC of 0.68 (P=0.40 and 0.86, compared with APTw and APTw-T2w mismatch images, respectively). Lastly, the mean value from the APTw-FLAIR mismatch image generated the highest AUC of 0.77 for differentiating the group 4 category, which was not significantly different from the APTw and APTw-T2w mismatch results (P≥0.07). The accuracies, specificities, and sensitivities of the mean values from APTw maps and molecular-structural mismatch images for distinguishing four molecular subgroups at their respective optimal histogram cutoffs are shown in Table S2. The accuracy of the mean values from molecular-structural mismatch images is the same as that from APTw map for identifying the WNT and group 3 subgroups. However, for differentiating the SHH subgroup, the accuracy from molecular-structural mismatch images is lower than that from APTw map, while for distinguishing the group 4 subgroup, they are higher.
Table 3
| Metrics | AUC | 95% CI | ROC threshold, % | Histogram cutoff, % |
|---|---|---|---|---|
| WNT vs. non-WNT | ||||
| APTw | 0.87 | 0.69–1.00 | 3.89 | 63 |
| APTw-T2w mismatch | 0.9 | 0.80–1.00 | 0.69 | 61 |
| APTw-FLAIR mismatch | 0.89 | 0.73–1.00 | −0.03 | 3 |
| SHH vs. non-SHH | ||||
| APTw | 0.66 | 0.47–0.85 | 2.69 | 86 |
| APTw-T2w mismatch | 0.61 | 0.42–0.79 | 0.44 | 99 |
| APTw-FLAIR mismatch | 0.67 | 0.48–0.82 | 0.26 | 99 |
| Group 3 vs. non-group 3 | ||||
| APTw | 0.56 | 0.34–0.77 | 3.90 | 2 |
| APTw-T2w mismatch | 0.66 | 0.45–0.85 | 4.32 | 99 |
| APTw-FLAIR mismatch | 0.68 | 0.50–0.85 | −1.48 | 9 |
| Group 4 vs. non-group 4 | ||||
| APTw | 0.56 | 0.39–0.73 | 1.79 | 1 |
| APTw-T2w mismatch | 0.67 | 0.51–0.83 | 0.22 | 66 |
| APTw-FLAIR mismatch | 0.77 | 0.63–0.90 | 0.01 | 3 |
APTw, amide proton transfer-weighted; AUC, area under the curve; CI, confidence interval; FLAIR, fluid-attenuated inversion recovery; ROC, receiver operating characteristic; ROI, region of interest; SHH, sonic hedgehog; T2w, T2-weighted; WNT, wingless.
Discussion
In this study, we explored the feasibility of the molecular-structural mismatch signs for differentiating the four molecular subgroups in pediatric patients with MB. The AUC of determining the WNT subgroup using the mean value of the APTw-T2w mismatch image was 0.90. The mean values of APTw-FLAIR mismatch images achieved AUCs of 0.67, 0.68, and 0.77 for distinguishing SHH, group 3, and group 4 subgroups, respectively.
APT MRI can probe proteins and peptides in tissues noninvasively and has been shown to be a valuable technique in numerous clinical applications (25). Although it is currently infeasible to directly link the APT MRI signal with specific groups of proteins, a recent proteomic study does show protein concentrations vary among MB molecular subgroups (14). However, in this study, the APT MRI-based APTw metric does not exhibit favorable performance in discriminating MB subgroups. This result may be attributed to that the APTw metric based on the asymmetric analysis method contains contaminating factors, such as MTC and NOE effects (11). Other confounding factors include amine protons from side chains in mobile proteins and peptides, which may also contribute to APT signal measurements (26). Thus, more precise metrics (23) for quantifying the APT effect will be employed in future studies. In addition, though the APT sequence parameters used in this study were within the recommended range (19), they might not be optimal for imaging pediatric MB and should be specifically tailored in the future.
Recent studies have already applied the T2-FLAIR mismatch sign for lower-grade glioma subgrouping (15,16). Here, as an improvement, we combined advanced APT and conventional T2w/FLAIR images to propose molecular-structural mismatch signs for distinguishing MB subgroups. The performance improvement compared with the native APTw metric is unsurprising, as the molecular-structural mismatch contains complementary molecular and structural information, as shown in Figure 3 and Figure S1. However, the pathophysiology of the molecular-structural mismatch signs is unclear and remains to be studied in the future.
In this study, we employed an automatic ROI-shrinking algorithm based on the histogram analysis of APTw values to generate a series of sub-ROIs. This approach only requires an initial ROI delineated by an experienced pediatric radiologist. The algorithm offers three key advantages. First, it simplifies the process, ensures reproducibility, and alleviates the need for manual delineation of detailed ROIs. Second, it evaluates the z-spectrum quality of each pixel within the initial ROIs, effectively eliminating those affected by motion artifacts or residual main field inhomogeneity. Third, the algorithm enables us to analyze the most aggressive regions of malignant tumors, which often exhibit higher APT signals (27). As displayed in Table 3, implementing this automated ROI-shrinking algorithm resulted in improved AUCs for distinguishing MB subgroups, since the highest AUC values were obtained at the non-zero histogram cutoffs.
MB, a rare malignant brain tumor, exhibits a lower incidence of the WNT subgroup compared to other molecular subgroups (4,9,28). In this study, the observed proportion of the WNT subgroup was also significantly lower than that of the other subgroups, which might affect the robustness of the analysis method due to data imbalance (29). Subsequently, we validated our method using a cohort of 14 additional cases from the same center, including 2 WNT, 7 SHH, 2 group 3, and 3 group 4 cases. The classification results for the WNT subgroup diverged from those in the previous main text (Table S3), confirming that data imbalance impacts method robustness. In contrast, the classification results for the other subgroups remained consistent. Future work will implement corrective strategies to mitigate imbalance-related effects and collect a larger number of patients from multiple centers.
There were some limitations in this study. First, although the mean values calculated from molecular-structural mismatch images showed relatively more favorable performance for distinguishing four molecular subgroups compared with the APTw metric maps, these analyses were conducted on a small cohort of patients from a single site. In particular, the WNT subgroup had a limited sample size, which has affected the robustness of the binary classification outcomes. Second, the APT data acquisition was conducted in a single-slice manner instead of 3D imaging due to scan time limitations, and thus, part of the tumor tissues were inevitably missed. In the future, fast whole-brain APT imaging sequences should be explored (30,31). Last, while our current study design did not permit a direct investigation into the pathophysiology, we can propose plausible hypotheses based on existing knowledge. The molecular-structural mismatch signs might reflect fundamental differences in how specific molecular drivers (e.g., WNT vs. SHH vs. group 3/4) influence tumor cell proliferation, migration, and interaction with the microenvironment. These factors could ultimately manifest as discordant imaging phenotypes. Although the precise pathophysiology origin of the molecular-structural mismatch is unclear, it does not diminish its clinical utility, similar to the highly valuable T2-FLAIR mismatch sign.
Conclusions
In conclusion, we have proposed the molecular-structural mismatch sign and demonstrated its potential to distinguish molecular MB subgroups in children noninvasively. Although further studies with extensive genomic and histopathological analyses are needed to clarify the underlying pathophysiology, this simple, non-invasive marker may provide clinical value to the diagnosis of pediatric MB and may contribute to improving patient outcomes.
Acknowledgments
None.
Footnote
Reporting Checklist: The authors have completed the STARD reporting checklist. Available at https://qims.amegroups.com/article/view/10.21037/qims-2025-183/rc
Data Sharing Statement: Available at https://qims.amegroups.com/article/view/10.21037/qims-2025-183/dss
Funding: This study was supported by
Conflicts of Interest: All authors have completed the ICMJE uniform disclosure form (available at https://qims.amegroups.com/article/view/10.21037/qims-2025-183/coif). F.Z. and Y.Z. serve as unpaid editorial board members of Quantitative Imaging in Medicine and Surgery. W.C. is an employee of Philips Healthcare. Y.Z. reports that this study was supported by the National Key Research and Development Program of China (Nos. 2023YFE0210300 and 2024YFC2707700), Key R&D Program of Zhejiang Province (No. 2022C04031), and Fundamental Research Funds for the Central Universities (No. 2025ZFJH01). The other authors have no conflicts of interest to declare.
Ethical Statement: The authors are accountable for all aspects of the work in ensuring that questions related to the accuracy or integrity of any part of the work are appropriately investigated and resolved. The study was conducted in accordance with the Declaration of Helsinki and its subsequent amendments. This study was approved by the Ethics Committee of the Children’s Hospital at Zhejiang University School of Medicine (No. 2019-IRB-142). Written informed consent was obtained from each participant’s legal guardian.
Open Access Statement: This is an Open Access article distributed in accordance with the Creative Commons Attribution-NonCommercial-NoDerivs 4.0 International License (CC BY-NC-ND 4.0), which permits the non-commercial replication and distribution of the article with the strict proviso that no changes or edits are made and the original work is properly cited (including links to both the formal publication through the relevant DOI and the license). See: https://creativecommons.org/licenses/by-nc-nd/4.0/.
References
- Partap S, Curran EK, Propp JM, Le GM, Sainani KL, Fisher PG. Medulloblastoma incidence has not changed over time: a CBTRUS study. J Pediatr Hematol Oncol 2009;31:970-1. [Crossref] [PubMed]
- Northcott PA, Korshunov A, Witt H, Hielscher T, Eberhart CG, Mack S, Bouffet E, Clifford SC, Hawkins CE, French P, Rutka JT, Pfister S, Taylor MD. Medulloblastoma comprises four distinct molecular variants. J Clin Oncol 2011;29:1408-14. [Crossref] [PubMed]
- Ostrom QT, Cioffi G, Gittleman H, Patil N, Waite K, Kruchko C, Barnholtz-Sloan JS. CBTRUS Statistical Report: Primary Brain and Other Central Nervous System Tumors Diagnosed in the United States in 2012-2016. Neuro Oncol 2019;21:v1-v100. [Crossref] [PubMed]
- Perreault S, Ramaswamy V, Achrol AS, Chao K, Liu TT, Shih D, Remke M, Schubert S, Bouffet E, Fisher PG, Partap S, Vogel H, Taylor MD, Cho YJ, Yeom KW. MRI surrogates for molecular subgroups of medulloblastoma. AJNR Am J Neuroradiol 2014;35:1263-9. [Crossref] [PubMed]
- Łastowska M, Jurkiewicz E, Trubicka J, Daszkiewicz P, Drogosiewicz M, Malczyk K, Grajkowska W, Matyja E, Cukrowska B, Pronicki M, Perek-Polnik M, Perek D, Dembowska-Bagińska B. Contrast enhancement pattern predicts poor survival for patients with non-WNT/SHH medulloblastoma tumours. J Neurooncol 2015;123:65-73. [Crossref] [PubMed]
- Patay Z, DeSain LA, Hwang SN, Coan A, Li Y, Ellison DW. MR Imaging Characteristics of Wingless-Type-Subgroup Pediatric Medulloblastoma. AJNR Am J Neuroradiol 2015;36:2386-93. [Crossref] [PubMed]
- Teo WY, Shen J, Su JM, Yu A, Wang J, Chow WY, Li X, Jones J, Dauser R, Whitehead W, Adesina AM, Chintagumpala M, Man TK, Lau CC. Implications of tumor location on subtypes of medulloblastoma. Pediatr Blood Cancer 2013;60:1408-10. [Crossref] [PubMed]
- Dangouloff-Ros V, Varlet P, Levy R, Beccaria K, Puget S, Dufour C, Boddaert N. Imaging features of medulloblastoma: Conventional imaging, diffusion-weighted imaging, perfusion-weighted imaging, and spectroscopy: From general features to subtypes and characteristics. Neurochirurgie 2021;67:6-13. [Crossref] [PubMed]
- Blüml S, Margol AS, Sposto R, Kennedy RJ, Robison NJ, Vali M, Hung LT, Muthugounder S, Finlay JL, Erdreich-Epstein A, Gilles FH, Judkins AR, Krieger MD, Dhall G, Nelson MD, Asgharzadeh S. Molecular subgroups of medulloblastoma identification using noninvasive magnetic resonance spectroscopy. Neuro Oncol 2016;18:126-31. [Crossref] [PubMed]
- Zhou J, Zhu H, Lim M, Blair L, Quinones-Hinojosa A, Messina SA, Eberhart CG, Pomper MG, Laterra J, Barker PB, van Zijl PC, Blakeley JO. Three-dimensional amide proton transfer MR imaging of gliomas: Initial experience and comparison with gadolinium enhancement. J Magn Reson Imaging 2013;38:1119-28. [Crossref] [PubMed]
- van Zijl PC, Yadav NN. Chemical exchange saturation transfer (CEST): what is in a name and what isn't? Magn Reson Med 2011;65:927-48. [Crossref] [PubMed]
- Zhang H, Yong X, Ma X, Zhao J, Shen Z, Chen X, Tian F, Chen W, Wu D, Zhang Y. Differentiation of low- and high-grade pediatric gliomas with amide proton transfer imaging: added value beyond quantitative relaxation times. Eur Radiol 2021;31:9110-9. [Crossref] [PubMed]
- Jia X, Wang W, Liang J, Ma X, Chen W, Wu D, Lai C, Zhang Y. Risk stratification of abdominal tumors in children with amide proton transfer imaging. Eur Radiol 2022;32:2158-67. [Crossref] [PubMed]
- Archer TC, Ehrenberger T, Mundt F, Gold MP, Krug K, Mah CK, et al. Proteomics, Post-translational Modifications, and Integrative Analyses Reveal Molecular Heterogeneity within Medulloblastoma Subgroups. Cancer Cell 2018;34:396-410.e8. [Crossref] [PubMed]
- Broen MPG, Smits M, Wijnenga MMJ, Dubbink HJ, Anten MHME, Schijns OEMG, Beckervordersandforth J, Postma AA, van den Bent MJ. The T2-FLAIR mismatch sign as an imaging marker for non-enhancing IDH-mutant, 1p/19q-intact lower-grade glioma: a validation study. Neuro Oncol 2018;20:1393-9. [Crossref] [PubMed]
- Jain R, Johnson DR, Patel SH, Castillo M, Smits M, van den Bent MJ, Chi AS, Cahill DP. "Real world" use of a highly reliable imaging sign: "T2-FLAIR mismatch" for identification of IDH mutant astrocytomas. Neuro Oncol 2020;22:936-43. [Crossref] [PubMed]
- Liu R, Zhang H, Niu W, Lai C, Ding Q, Chen W, Liang S, Zhou J, Wu D, Zhang Y. Improved chemical exchange saturation transfer imaging with real-time frequency drift correction. Magn Reson Med 2019;81:2915-23. Erratum in: Magn Reson Med 2020;83:1884. [Crossref] [PubMed]
- Liu R, Zhang H, Qian Y, Hsu YC, Fu C, Sun Y, Wu D, Zhang Y. Frequency-stabilized chemical exchange saturation transfer imaging with real-time free-induction-decay readout. Magn Reson Med 2021;85:1322-34. [Crossref] [PubMed]
- Zhou J, Zaiss M, Knutsson L, Sun PZ, Ahn SS, Aime S, et al. Review and consensus recommendations on clinical APT-weighted imaging approaches at 3T: Application to brain tumors. Magn Reson Med 2022;88:546-74. [Crossref] [PubMed]
- Zhang Y, Heo HY, Lee DH, Zhao X, Jiang S, Zhang K, Li H, Zhou J. Selecting the reference image for registration of CEST series. J Magn Reson Imaging 2016;43:756-61. [Crossref] [PubMed]
- Jenkinson M, Bannister P, Brady M, Smith S. Improved optimization for the robust and accurate linear registration and motion correction of brain images. Neuroimage 2002;17:825-41. [Crossref] [PubMed]
- Kim M, Gillen J, Landman BA, Zhou J, van Zijl PC. Water saturation shift referencing (WASSR) for chemical exchange saturation transfer (CEST) experiments. Magn Reson Med 2009;61:1441-50. [Crossref] [PubMed]
- Heo HY, Lee DH, Zhang Y, Zhao X, Jiang S, Chen M, Zhou J. Insight into the quantitative metrics of chemical exchange saturation transfer (CEST) imaging. Magn Reson Med 2017;77:1853-65. [Crossref] [PubMed]
- Sun X, Xu W. Fast implementation of DeLong’s algorithm for comparing the areas under correlated receiver operating characteristic curves. IEEE Signal Processing Letters 2014;21:1389-93.
- Zhou J, Heo HY, Knutsson L, van Zijl PCM, Jiang S. APT-weighted MRI: Techniques, current neuro applications, and challenging issues. J Magn Reson Imaging 2019;50:347-64. [Crossref] [PubMed]
- Sun C, Zhao Y, Zu Z. Validation of the presence of fast exchanging amine CEST effect at low saturation powers and its influence on the quantification of APT. Magn Reson Med 2023;90:1502-17. [Crossref] [PubMed]
- Park JE, Kim HS, Park KJ, Choi CG, Kim SJ. Histogram Analysis of Amide Proton Transfer Imaging to Identify Contrast-enhancing Low-Grade Brain Tumor That Mimics High-Grade Tumor: Increased Accuracy of MR Perfusion. Radiology 2015;277:151-61. [Crossref] [PubMed]
- Kim JW, Park SH, Choi SA, Kim SK, Koh EJ, Won JK, Nam SM, Phi JH. Molecular subgrouping of medulloblastoma in pediatric population using the NanoString assay and comparison with immunohistochemistry methods. BMC Cancer 2022;22:1221. [Crossref] [PubMed]
- He H, Garcia EA. Learning from imbalanced data. IEEE Transactions on Knowledge and Data Engineering 2009;21:1263-84. [Crossref]
- Zhang Y, Zu T, Liu R, Zhou J. Acquisition sequences and reconstruction methods for fast chemical exchange saturation transfer imaging. NMR Biomed 2023;36:e4699. [Crossref] [PubMed]
- Zhang Y, Yong X, Liu R, Tang J, Jiang H, Fu C, Wei R, Hsu YC, Sun Y, Luo B, Wu D. Whole-brain chemical exchange saturation transfer imaging with optimized turbo spin echo readout. Magn Reson Med 2020;84:1161-72. [Crossref] [PubMed]

