Gray matter alterations and pain-related emotional processing in patients with adenomyosis-associated dysmenorrhea: a neuroimaging perspective
Introduction
Adenomyosis, also known as internal endometriosis, is a common benign gynecological disorder characterized by the presence of ectopic endometrial glands and stroma within the myometrium (1). Its reported prevalence varies widely, ranging from 8.8% to 88%, and is influenced by factors such as age, cultural background, ethnicity, and prior uterine surgeries (2). Clinically, adenomyosis presents with a range of symptoms, including heavy menstrual bleeding, progressive dysmenorrhea, dyspareunia, infertility, and miscarriage. Among these, dysmenorrhea and abnormal uterine bleeding are the most common reasons for seeking medical care (3). Severe dysmenorrhea can disrupt appetite and sleep, significantly reducing quality of life. Moreover, chronic cyclic pain and infertility are often associated with psychological issues, such as anxiety and depression (4,5). Previous studies (6-9) have elucidated the pathogenesis of adenomyosis-associated dysmenorrhea (AAD), highlighting the complex interplay of inflammatory and neurogenic pain mediators. These factors stimulate visceral and peritoneal nerve fibers, contributing to spinal hyperalgesia and central sensitization. However, the precise mechanisms underlying dysmenorrhea in adenomyosis remain poorly understood (9,10).
Growing evidence from neuroimaging studies, particularly magnetic resonance imaging (MRI), underscores the role of brain regions involved in pain perception and integration in chronic pain conditions (11). Dysmenorrhea has been associated with central sensitization, as well as both functional and structural brain alterations (12). Voxel-based morphometry (VBM) is a valuable technique for quantifying gray matter volume (GMV) and provides insights into pain-induced structural alterations and neuroplasticity (13). GMV abnormalities have been reported across various chronic pain disorders, including migraine (14), postherpetic neuralgia (15), trigeminal neuralgia (16,17), low back pain (18), fibromyalgia (19), primary dysmenorrhea (12), complex regional pain syndrome, and knee osteoarthritis (20). For example, Liu et al. (17) observed significantly reduced GMV in the right fusiform gyrus (FFG), right hippocampus, and temporoparietal regions in patients with trigeminal neuralgia. Similarly, Tu et al. (12) reported GMV alterations in several brain regions in individuals with primary dysmenorrhea, noting significant correlations between menstrual pain severity and GMV changes in the left thalamus, right caudate nucleus, and hypothalamus. Despite these findings, limited research has investigated GMV alterations in cases of secondary dysmenorrhea, particularly those related to adenomyosis.
In this prospective study, we employed VBM to examine disparities in gray matter between patients with AAD and healthy controls (HCs). Given the heightened pain-related emotional responses observed in individuals with AAD, we hypothesized that GMV alterations would occur in specific brain regions, particularly those associated with pain processing and emotional regulation. We present this article in accordance with the STROBE reporting checklist (available at https://qims.amegroups.com/article/view/10.21037/qims-2025-764/rc).
Methods
Participants
From 2023 to 2024, 51 patients with AAD and 51 HC participants—matched for age, sex, and education level—were recruited from Guangdong Second Provincial General Hospital. The diagnosis of AAD was confirmed by two experienced gynecologists (≥15 years of clinical practice) based on the diagnostic criteria outlined in the Chinese Expert Consensus on the Diagnosis and Treatment of Adenomyosis (2020 edition), issued by the Chinese Medical Association. All patients exhibited characteristic imaging features of adenomyosis, as verified through pelvic MRI and/or gynecological ultrasound.
Inclusion criteria for patients with AAD were as follows: (I) aged between 18 and 50 years and right-handed; (II) experiencing progressively worsening dysmenorrhea with or without excessive and/or prolonged menstruation and not currently seeking fertility treatment; (III) having a history of dysmenorrhea lasting at least 6 months, with an average visual analog scale (VAS) pain score of ≥4 (on a scale of 0 to 10) during the 3 months preceding enrollment; (IV) scheduled for uterine artery embolization and fully informed of its potential complications.
Exclusion criteria for both groups were as follows: (I) being pregnant or lactating, (II) having a pituitary gland disorder, (III) having a pelvic organ disorder, (IV) having a history of neurological or psychiatric illness, (V) having a severe or life-threatening medical condition, (VI) having a history of brain trauma or neurosurgery, (VII) having a documented history of alcohol or substance abuse, (VII) having used oral contraceptives or hormonal therapy within the past 6 months, and (IX) having any contraindications to MRI scanning.
Clinical and demographic data were obtained directly from patients or retrieved from electronic medical records. Information on age, pain duration, and menstrual cycle characteristics was collected through structured questionnaires and patient interviews. Blood-related laboratory results, including hemoglobin concentration and serum CA125 levels, were retrieved from the hospital’s electronic records. These laboratory tests were conducted within 24 h of the fMRI scan for patients in the AAD group. No blood tests were conducted for the HC group. All participants completed the Hamilton Anxiety Rating Scale (HAMA) and the Hamilton Depression Rating Scale (HAMD) to assess their emotional state. In addition, patients with AAD completed a VAS assessment to evaluate pain severity prior to MRI scanning.
The study was conducted in accordance with the Declaration of Helsinki and its subsequent amendments. The study was approved by the Human Research Ethics Committee of Guangdong Second Provincial General Hospital. Written informed consent was obtained from all participants before their enrollment.
MRI acquisition
Structural MRI data were acquired using a 3.0T Philips Ingenia scanner (Philips Healthcare, Best, The Netherlands) with a 32-channel head coil at the Department of Medical Imaging, Guangdong Second Provincial General Hospital. Participants were positioned supine, and head motion was minimized using foam padding and restraining straps, consistent with previously established procedures (21) Functional MRI data were collected concurrently with high-resolution three-dimensional T1-weighted images (T1WI) using the following parameters: repetition time (TR) =25 ms; echo time (TE) =4.1 ms; flip angle (FA) =30º; slice thickness =1.0 mm with no gap; field of view (FOV) =230 mm × 230 mm; matrix =230 mm × 230 mm; 160 sagittal slices. In addition, all participants underwent T2-weighted fluid-attenuated inversion recovery (FLAIR) imaging to exclude visible intracranial lesions. Image evaluation was independently performed by two board-certified radiologists, each with over 15 years of experience in neuroimaging.
MRI imaging analysis
Structural MRI data were preprocessed using the Computational Anatomy Toolbox (CAT12; http://www.neuro.uni-jena.de/cat/), implemented in SPM12 (Statistical Parametric Mapping; http://www.fil.ion.ucl.ac.uk/spm) running on MATLAB (MathWorks, Natick, MA, USA) (21). All T1-weighted images were visually inspected for artifacts prior to preprocessing. The images were first corrected for bias field inhomogeneities and then segmented into gray matter (GM), white matter (WM), and cerebrospinal fluid (CSF). The segmented GM images were then spatially normalized to the standard Montreal Neurological Institute (MNI) space using the high-dimensional DARTEL (Diffeomorphic Anatomical Registration Through Exponentiated Lie Algebra) algorithm to enhance inter-subject registration accuracy. The resulting modulated GM maps were smoothed with an 8-mm full-width at half-maximum (FWHM) isotropic Gaussian kernel to improve signal-to-noise ratio and account for inter-individual anatomical variability. Total intracranial volume (TIV) was estimated during the segmentation process and included as a covariate in subsequent statistical analyses to control for individual differences in brain size.
Statistical analysis
Statistical analyses were performed using SPSS version 20.0 (IBM Corp., Armonk, NY, USA). Two-sample t-tests were used to compare demographic and clinical variables—including age, years of education, VAS scores, HAMA scores, and HAMD score—between the AAD and HC groups. For the VBM analysis, between-group differences in regional GMV were assessed using two-tailed two-sample t-tests. Multiple comparisons were corrected using Gaussian Random Field (GRF) theory, with a voxel-level threshold of P<0.001 (uncorrected) and a cluster-level threshold of P<0.05 (FWE-corrected). Partial correlation analyses were conducted within the AAD group to examine relationships between GMV and clinical variables, controlling for age, sex, and years of education. A two-tailed P<0.05 was considered statistically significant. Where appropriate, multiple comparisons were adjusted using the false discovery rate (FDR) correction.
Results
Demographic and clinical features
Our study included 51 patients with AAD and 51 HCs. Demographic and clinical characteristics are summarized in Table 1. No significant differences were observed between the two groups in age or education level (both P>0.05). However, patients with AAD exhibited significantly higher HAMA and HAMD scores compared with HCs (P<0.05), indicating greater levels of anxiety and depression.
Table 1
| Characteristic | AAD patients (n=51) | HC participants (n=41) | P value |
|---|---|---|---|
| Age (years) | 40.75±4.78 | 39.78±4.44 | 0.296 |
| Menstrual phase (days) | 4–13 | 4–7 | 0.001 |
| During of dysmenorrhea (years) | 5.65±5.20 | N/A | – |
| VAS score | 7.75±1.91 | N/A | – |
| HAMA score | 20.51±4.50 | 3.94±2.44 | <0.001 |
| HAMD score | 22.82±4.47 | 4.94±3.98 | <0.001 |
| CA125 (U/mL) | 149.20±134.01 | N/A | – |
| Hemoglobin (g/L) | 102.88±23.22 | N/A | – |
Data are presented as mean ± standard deviation; the menstrual phase is maximum and minimum values. AAD, adenomyosis-associated dysmenorrhea; CA125, carbohydrate antigen 125; HAMA, Hamilton Anxiety Rating Scale; HAMD, Hamilton Depression Rating Scale; HC, healthy controls; N/A, not applicable; VAS, visual analogue score.
Morphometry analysis
Compared with HCs, patients with AAD demonstrated significantly reduced GMV in the right FFG, right parahippocampal gyrus (PHG), and left superior frontal gyrus (Table 2; Figure 1). Conversely, increased GMV was observed in the right lingual gyrus and bilateral thalamus of patients with AAD (Table 2; Figure 2).
Table 2
| Brain region | MNI coordinate (X, Y, Z) | Voxels | Peak intensity |
|---|---|---|---|
| Right fusiform gyrus | 33, −34.5, −21 | 28 | −3.671 |
| Right parahippocampal gyrus | 22.5, −36, −12 | 17 | −3.823 |
| Left superior frontal gyrus | −19.5, 57, 18 | 16 | −3.776 |
| Right lingual gyrus | 15, −102, −12 | 78 | 4.517 |
| Right thalamus | 19.5, −18, −1.5 | 117 | 5.509 |
| Left thalamus | −18, −18, −4.5 | 114 | 5.134 |
AAD, adenomyosis-associated dysmenorrhea; GMV, gray matter volume; MNI, Montreal Neurological Institute.
Correlation analysis
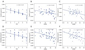
In the AAD group, significant negative correlations were observed between GMV and clinical scores. Specifically, GMV in the right FFG was negatively correlated with VAS scores (r=−0.638, P<0.001), HAMD scores (r=−0.371, P=0.008), and HAMA scores (r=−0.322, P=0.003). Similarly, GMV in the right PHG was negatively correlated with VAS scores (r=−0.436, P=0.002), HAMD scores (r=−0.422, P=0.002), and HAMA scores (r=−0.484, P<0.001) (Figure 3).
Discussion
In our study, we observed significant GMV alterations in patients with AAD compared with HCs using VBM. Notable changes were detected in the right FFG, right PHG, right lingual gyrus, left superior frontal gyrus, and bilateral thalamus. Additionally, significant correlations were found between reduced GMV in the right FFG and PHG and clinical measures of pain and emotional distress, suggesting a strong relationship between regional brain structure and symptom severity in AAD.
We observed GMV alterations in the bilateral thalamus, right lingual gyrus, and left superior frontal gyrus. Previous studies have indicated associations between pain perception and the thalamus (22-27), lingual gyrus (28-30), and left superior frontal gyrus (26,31,32). Specifically, the thalamus plays a crucial role in modulating both the affective and sensory dimensions of pain. Animal studies have demonstrated that the thalamus modulates neuropathic pain through the hyperpolarization-activated cyclic nucleotide-gated 2 channel (33). Henderson et al. (34), integrating magnetic resonance spectroscopy, arterial spin labeling, and VBM analysis, reported that reduced levels of the inhibitory neurotransmitter γ-aminobutyric acid (GABA) in the thalamus may disrupt its firing patterns and cortical rhythms, contributing to sustained pain perception. The lingual gyrus has also been linked to pain-related brain activity. Using the amplitude of low-frequency fluctuation (ALFF) method, Yang et al. (30) and Zheng et al. (35) reported increased ALFF values in the lingual gyrus in individuals experiencing toothaches and in patients with Parkinson’s disease suffering dopa-responsive pain, respectively. In addition, the left superior frontal gyrus, located in the upper part of the prefrontal cortex, has been associated with pain regulation and the development of chronic pain. This region is involved in the modulation of key neurochemicals such as GABA, dopamine D2, and glutamate, which may underlie the observed connections between pain, depression, anxiety, and cognitive decline (36). In a study by Cao et al. (26), which combined voxel-mirrored homotopic connectivity (VMHC) and functional connectivity (FC) analyses, patients with migraines exhibited altered VMHC in the bilateral thalamus and abnormal FC between the bilateral thalamus and the left superior frontal gyrus. Notably, increased FC was observed between the left thalamus and the left superior frontal gyrus. Similarly, Khatibi et al. (28), using a combination of electrocutaneous stimulation, nociceptive flexion reflex, and fMRI, reported activation in the thalamus, lingual gyrus, FFG, and cerebellum (lobules I–IV) when participants viewed dynamic facial expressions of pain and fear. Together with these findings, our results suggest that the thalamus, lingual gyrus, and superior frontal gyrus may be particularly susceptible to structural and functional alterations in the context of chronic pain in patients with AAD. Furthermore, GMV abnormalities in these regions may contribute to the emotional comorbidities commonly observed in chronic pain conditions, such as anxiety and depression.
In our study, we observed significantly decreased GMV in the right FFG and right PHG in patients with AAD compared to HCs. Previous research has similarly reported structural alterations in these regions in association with chronic pain. For example, Qiu et al. (37) and Li et al. (38) found significant GMV differences in the FFG among patients with postherpetic neuralgia and chronic low back pain, respectively. Using VBM and neurostimulation, Ter Minassian et al. (39) identified the FFG as a key node within the default mode network that becomes activated during pain perception. While traditionally associated with facial and visual processing, recent studies (39-41) suggest that the FFG also contributes to the emotional and cognitive dimensions of pain and may be involved in affective pain processing through its integration within the default mode network. The PHG, a component of the limbic system, contributes significantly to memory consolidation, visuospatial processing, contextual memory, emotional regulation, and pain modulation (20,42). A meta-analysis of GMV alterations in chronic pain conditions identified the hippocampus and PHG as the only regions consistently showing increased GMV across studies (43). Using VBM, Baliki et al. (20) observed altered gray matter density in the insula and hippocampal regions in patients with chronic back pain and osteoarthritis. Similarly, Ruscheweyh et al. (44) found positive correlations between GMV in the PHG, hippocampus, FFG, putamen, and insula and scores on a pain sensitivity questionnaire. Reduced GMV in the PHG may reflect impaired emotional regulation and memory processing in response to repeated pain episodes, potentially contributing to heightened pain sensitivity or persistent pain catastrophizing. In our study, GMV in both the FFG and PHG was negatively correlated with the severity of dysmenorrhea in patients with AAD, suggesting that these regions may be involved in the central modulation of adenomyosis-related menstrual pain. However, given the cross-sectional design of our study, causality cannot be inferred. The findings represent correlations only, and future longitudinal or interventional studies are needed to clarify whether these observed structural changes are a consequence of chronic pain or reflect predisposing neural traits.
Interestingly, we also found significant negative correlations between GMV in the FFG and HAMA scores and between GMV in the PHG and HAMD scores. The cyclical nature of AAD episodes makes patients particularly susceptible to psychological distress, including heightened anxiety and depressive symptoms, which often revolve around menstrual pain and the anticipation of recurring lower abdominal pain. Consequently, individuals with AAD often experience a state of emotional arousal. Both the FFG and PHG are key regions involved in visual processing. Notably, studies by Wang et al. (45) and Mu et al. (46) demonstrated that recurrent menstrual pain in women with primary dysmenorrhea affects pain-related empathetic brain regions that are significantly influenced by visual stimuli. Based on these findings, we hypothesize that the reduced GMV in the right FFG and PHG may reflect emotional responses (e.g., anxiety, depression, and heightened pain-related empathy) induced by chronic dysmenorrhea in AAD patients.
There are several limitations in this study that warrant consideration. First, the relatively small sample size may limit the generalizability of our findings. Second, as a cross-sectional study, this research captures only a single time point, thus limiting causal inferences. We detected GMV alterations in patients with AAD and proposed that these changes may be related to dysmenorrhea and its associated emotional responses. However, we could not determine which brain changes are plastic (i.e., reversible) versus persistent, nor could we pinpoint which GMV alterations are specifically associated with emotional symptoms rather than pain itself. Future longitudinal studies—especially those conducted before and after surgical or medical interventions—are needed to clarify these distinctions. Finally, while adenomyosis was excluded in HCs using MRI, pathological confirmation was not available. This raises the possibility that early-stage or mild cases may have been inadvertently included in the control group. Future studies should incorporate more comprehensive diagnostic criteria to ensure accurate group classification.
Conclusions
In summary, VBM analysis revealed abnormal GMV in various brain regions in patients with AAD, including the right FFG, right PHG, right lingual gyrus, left superior frontal gyrus, and bilateral thalamus. These GMV alterations were associated with chronic pain and emotional symptoms such as anxiety, depression, and pain-related empathy. Together, these findings enhance our understanding of the neural mechanisms underlying the complex interplay between pain and emotional processing in individuals with AAD.
Acknowledgments
We thank the patients for their participation in the study and the medical and nurse staff for their collaboration in the realization of this work.
Footnote
Reporting Checklist: The authors have completed the STROBE reporting checklist. Available at https://qims.amegroups.com/article/view/10.21037/qims-2025-764/rc
Data Sharing Statement: Available at https://qims.amegroups.com/article/view/10.21037/qims-2025-764/dss
Funding: This study was funded by grants from
Conflicts of Interest: All authors have completed the ICMJE uniform disclosure form (available at https://qims.amegroups.com/article/view/10.21037/qims-2025-764/coif). The authors have no conflicts of interest to declare.
Ethical Statement: The authors are accountable for all aspects of the work in ensuring that questions related to the accuracy or integrity of any part of the work are appropriately investigated and resolved. The study was conducted in accordance with the Declaration of Helsinki and its subsequent amendments. The study was approved by the Human Research Ethics Committee of Guangdong Second Provincial General Hospital. Written informed consent was obtained from all participants before their enrollment.
Open Access Statement: This is an Open Access article distributed in accordance with the Creative Commons Attribution-NonCommercial-NoDerivs 4.0 International License (CC BY-NC-ND 4.0), which permits the non-commercial replication and distribution of the article with the strict proviso that no changes or edits are made and the original work is properly cited (including links to both the formal publication through the relevant DOI and the license). See: https://creativecommons.org/licenses/by-nc-nd/4.0/.
References
- Li Q, Huang J, Zhang XY, Feng WW, Hua KQ. Dysmenorrhea in patients with adenomyosis: A clinical and demographic study. J Gynecol Obstet Hum Reprod 2021;50:101761. [Crossref] [PubMed]
- Upson K, Missmer SA. Epidemiology of Adenomyosis. Semin Reprod Med 2020;38:89-107. [Crossref] [PubMed]
- Chen Q, Li YW, Wang S, Fan QB, Shi HH, Leng JH, Sun DW, Lang JH, Zhu L. Clinical Manifestations Of Adenomyosis Patients With Or Without Pain Symptoms. J Pain Res 2019;12:3127-33. [Crossref] [PubMed]
- Alcalde AM, Martínez-Zamora MÁ, Gracia M, Ros C, Rius M, Nicolás I, Carmona F. Impact of Adenomyosis on Women's Psychological Health and Work Productivity: A Comparative Cross-Sectional Study. J Womens Health (Larchmt) 2021;30:1653-9. [Crossref] [PubMed]
- Guo SW, Groothuis PG. Is it time for a paradigm shift in drug research and development in endometriosis/adenomyosis? Hum Reprod Update 2018;24:577-98. [Crossref] [PubMed]
- Carrarelli P, Yen CF, Funghi L, Arcuri F, Tosti C, Bifulco G, Luddi A, Lee CL, Petraglia F. Expression of Inflammatory and Neurogenic Mediators in Adenomyosis. Reprod Sci 2017;24:369-75. [Crossref] [PubMed]
- Nanda A. K T, Banerjee P, Dutta M, Wangdi T, Sharma P, Chaudhury K, Jana SK. Cytokines, Angiogenesis, and Extracellular Matrix Degradation are Augmented by Oxidative Stress in Endometriosis. Ann Lab Med 2020;40:390-7. [Crossref] [PubMed]
- Carrarelli P, Luddi A, Funghi L, Arcuri F, Batteux F, Dela Cruz C, Tosti C, Reis FM, Chapron C, Petraglia F. Urocortin and corticotrophin-releasing hormone receptor type 2 mRNA are highly expressed in deep infiltrating endometriotic lesions. Reprod Biomed Online 2016;33:476-83. [Crossref] [PubMed]
- Gruber TM, Mechsner S. Pathogenesis of Endometriosis: The Origin of Pain and Subfertility. Cells 2021;10:1381. [Crossref] [PubMed]
- Che X, Wang J, Sun W, He J, Wang Q, Zhu D, et al. Effect of Mifepristone vs Placebo for Treatment of Adenomyosis With Pain Symptoms: A Randomized Clinical Trial. JAMA Netw Open 2023;6:e2317860. [Crossref] [PubMed]
- Ossipov MH, Morimura K, Porreca F. Descending pain modulation and chronification of pain. Curr Opin Support Palliat Care 2014;8:143-51. [Crossref] [PubMed]
- Tu CH, Niddam DM, Yeh TC, Lirng JF, Cheng CM, Chou CC, Chao HT, Hsieh JC. Menstrual pain is associated with rapid structural alterations in the brain. Pain 2013;154:1718-24. [Crossref] [PubMed]
- Maihofner C, Nickel FT, Seifert F. Neuropathic pain and neuroplasticity in functional imaging studies. Schmerz 2010;24:137-45. [Crossref] [PubMed]
- Rocca MA, Ceccarelli A, Falini A, Colombo B, Tortorella P, Bernasconi L, Comi G, Scotti G, Filippi M. Brain gray matter changes in migraine patients with T2-visible lesions: a 3-T MRI study. Stroke 2006;37:1765-70. [Crossref] [PubMed]
- Zhang Y, Cao S, Yuan J, Song G, Yu T, Liang X. Functional and Structural Changes in Postherpetic Neuralgia Brain Before and Six Months After Pain Relieving. J Pain Res 2020;13:909-18. [Crossref] [PubMed]
- Yan J, Li M, Wang T, et al. Structural changes in the gray matter in patients with trigeminal neuralgia: a voxel-based morphometric study. Nan Fang Yi Ke Da Xue Xue Bao 2015;35:1180-3.
- Liu H, Hou H, Li F, Zheng R, Zhang Y, Cheng J, Han S. Structural and Functional Brain Changes in Patients With Classic Trigeminal Neuralgia: A Combination of Voxel-Based Morphometry and Resting-State Functional MRI Study. Front Neurosci 2022;16:930765. [Crossref] [PubMed]
- Buckalew N, Haut MW, Morrow L, Weiner D. Chronic pain is associated with brain volume loss in older adults: preliminary evidence. Pain Med 2008;9:240-8. [Crossref] [PubMed]
- Kuchinad A, Schweinhardt P, Seminowicz DA, Wood PB, Chizh BA, Bushnell MC. Accelerated brain gray matter loss in fibromyalgia patients: premature aging of the brain? J Neurosci 2007;27:4004-7. [Crossref] [PubMed]
- Baliki MN, Schnitzer TJ, Bauer WR, Apkarian AV. Brain morphological signatures for chronic pain. PLoS One 2011;6:e26010. [Crossref] [PubMed]
- Ashburner J. A fast diffeomorphic image registration algorithm. Neuroimage 2007;38:95-113. [Crossref] [PubMed]
- You HJ, Lei J, Pertovaara A. Thalamus: The 'promoter' of endogenous modulation of pain and potential therapeutic target in pathological pain. Neurosci Biobehav Rev 2022;139:104745. [Crossref] [PubMed]
- Yen CT, Lu PL. Thalamus and pain. Acta Anaesthesiol Taiwan 2013;51:73-80. [Crossref] [PubMed]
- Groh A, Krieger P, Mease RA, Henderson L. Acute and Chronic Pain Processing in the Thalamocortical System of Humans and Animal Models. Neuroscience 2018;387:58-71. [Crossref] [PubMed]
- Habig K, Krämer HH, Lautenschläger G, Walter B, Best C. Processing of sensory, painful and vestibular stimuli in the thalamus. Brain Struct Funct 2023;228:433-47. [Crossref] [PubMed]
- Cao ZM, Chen YC, Liu GY, Wang X, Shi AQ, Xu LF, Li ZJ, Huo JW, Zhang YN, Liu N, Yan CQ, Wang J. Abnormalities of Thalamic Functional Connectivity in Patients with Migraine: A Resting-State fMRI Study. Pain Ther 2022;11:561-74. [Crossref] [PubMed]
- Scharf AC, Gronewold J, Eilers A, Todica O, Moenninghoff C, Doeppner TR, de Haan B, Bassetti CL, Hermann DM. Depression and anxiety in acute ischemic stroke involving the anterior but not paramedian or inferolateral thalamus. Front Psychol 2023;14:1218526. [Crossref] [PubMed]
- Khatibi A, Roy M, Chen JI, Gill LN, Piche M, Rainville P. Brain responses to the vicarious facilitation of pain by facial expressions of pain and fear. Soc Cogn Affect Neurosci 2023;18:nsac056. [Crossref] [PubMed]
- Yuan Z, Wang W, Zhang X, Bai X, Tang H, Mei Y, Zhang P, Qiu D, Zhang X, Zhang Y, Yu X, Sui B, Wang Y. Altered functional connectivity of the right caudate nucleus in chronic migraine: a resting-state fMRI study. J Headache Pain 2022;23:154. [Crossref] [PubMed]
- Yang J, Li B, Yu QY, Ye L, Zhu PW, Shi WQ, Yuan Q, Min YL, He YL, Shao Y. Altered intrinsic brain activity in patients with toothaches using the amplitude of low-frequency fluctuations: a resting-state fMRI study. Neuropsychiatr Dis Treat 2019;15:283-91. [Crossref] [PubMed]
- Yu S, Liu L, Chen L, Su M, Shen Z, Yang L, Li A, Wei W, Guo X, Hong X, Yang J. Classification of primary dysmenorrhea by brain effective connectivity of the amygdala: a machine learning study. Brain Imaging Behav 2022;16:2517-25. [Crossref] [PubMed]
- Tsai YH, Yuan R, Patel D, Chandrasekaran S, Weng HH, Yang JT, Lin CP, Biswal BB. Altered structure and functional connection in patients with classical trigeminal neuralgia. Hum Brain Mapp 2018;39:609-21. [Crossref] [PubMed]
- Yan Y, Zhu M, Cao X, Xu G, Shen W, Li F, Zhang J, Luo L, Zhang X, Zhang D, Liu T. Thalamocortical Circuit Controls Neuropathic Pain via Up-regulation of HCN2 in the Ventral Posterolateral Thalamus. Neurosci Bull 2023;39:774-92. [Crossref] [PubMed]
- Henderson LA, Peck CC, Petersen ET, Rae CD, Youssef AM, Reeves JM, Wilcox SL, Akhter R, Murray GM, Gustin SM. Chronic pain: lost inhibition? J Neurosci 2013;33:7574-82. [Crossref] [PubMed]
- Zheng JH, Sun WH, Ma JJ, Wang ZD, Chang QQ, Dong LR, Shi XX, Li MJ. Differences in Brain Activity Between Dopa-Responsive and -Unresponsive Pain in Parkinson's Disease. Pain Ther 2022;11:959-70. [Crossref] [PubMed]
- Ong WY, Stohler CS, Herr DR. Role of the Prefrontal Cortex in Pain Processing. Mol Neurobiol 2019;56:1137-66. [Crossref] [PubMed]
- Qiu J, Du M, Yang J, Lin Z, Qin N, Sun X, Li L, Zou R, Wei J, Wu B, Liu J, Zhang Z. The brain's structural differences between postherpetic neuralgia and lower back pain. Sci Rep 2021;11:22455. [Crossref] [PubMed]
- Li T, Zhang S, Kurata J. Suppressed descending pain modulatory and enhanced sensorimotor networks in patients with chronic low back pain. J Anesth 2018;32:831-43. [Crossref] [PubMed]
- Ter Minassian A, Ricalens E, Humbert S, Duc F, Aubé C, Beydon L. Dissociating anticipation from perception: Acute pain activates default mode network. Hum Brain Mapp 2013;34:2228-43. [Crossref] [PubMed]
- Edmiston EK, Chase HW, Jones N, Nhan TJ, Phillips ML, Fournier JC. Differential role of fusiform gyrus coupling in depressive and anxiety symptoms during emotion perception. Soc Cogn Affect Neurosci 2024;19:nsae009. [Crossref] [PubMed]
- Spagna A, Hajhajate D, Liu J, Bartolomeo P. Visual mental imagery engages the left fusiform gyrus, but not the early visual cortex: A meta-analysis of neuroimaging evidence. Neurosci Biobehav Rev 2021;122:201-17. [Crossref] [PubMed]
- Aminoff EM, Kveraga K, Bar M. The role of the parahippocampal cortex in cognition. Trends Cogn Sci 2013;17:379-90. [Crossref] [PubMed]
- Smallwood RF, Laird AR, Ramage AE, Parkinson AL, Lewis J, Clauw DJ, Williams DA, Schmidt-Wilcke T, Farrell MJ, Eickhoff SB, Robin DA. Structural brain anomalies and chronic pain: a quantitative meta-analysis of gray matter volume. J Pain 2013;14:663-75. [Crossref] [PubMed]
- Ruscheweyh R, Wersching H, Kugel H, Sundermann B, Teuber A. Gray matter correlates of pressure pain thresholds and self-rated pain sensitivity: a voxel-based morphometry study. Pain 2018;159:1359-65. [Crossref] [PubMed]
- Wang C, Liu Y, Dun W, Zhang T, Yang J, Wang K, Mu J, Zhang M, Liu J. Effects of repeated menstrual pain on empathic neural responses in women with primary dysmenorrhea across the menstrual cycle. Hum Brain Mapp 2021;42:345-56. [Crossref] [PubMed]
- Mu J, Wang Q, Dun W, Yang J, Wang K, Zhang M, Liu J. The effects of long-term menstrual pain on pain empathy in women with primary dysmenorrhea. Pain 2021;162:2051-9. [Crossref] [PubMed]

