Ultrafast breast DCE-MRI: comparative analysis of semi-quantitative and pharmacokinetic parameters with gadoterate meglumine versus gadobutrol in malignant lesions and background parenchymal enhancement
Introduction
Breast cancer is now the most commonly diagnosed malignancy worldwide, with an estimated 2.3 million new cases and 685,000 deaths in 2020 (1,2). Early detection markedly improves outcomes, yet standard mammography sensitivity can fall to 25–59% in dense breasts—vs. 85–90% in fatty tissue—resulting in missed lesions in up to one-third of high-density cases (3-5). These data underscore the pivotal role of breast magnetic resonance imaging (MRI) in both high-risk and dense-breast populations and motivate ongoing refinement of advanced protocols, such as ultrafast dynamic acquisitions.
Ultrafast dynamic contrast-enhanced MRI (DCE-MRI) has emerged as a powerful tool in breast imaging, enabling high temporal resolution assessment of contrast kinetics for improving visualization of malignant neovascularity and reducing the obscuring effects of background parenchymal enhancement (BPE) (6,7). Traditional DCE-MRI protocols, with typical temporal resolutions of 60–120 seconds, may obscure the earliest enhancement patterns that often distinguish malignant neovascularity from benign or BPE and often fail to capture these early kinetics, limiting sensitivity for small or rapidly enhancing lesions (7).
Gadolinium-based contrast agents (GBCAs) have transformed MRI by improving lesion conspicuity and diagnostic confidence. Two widely used macrocyclic agents are gadobutrol (Gadavist, 1.0 mol/L, non-ionic) and gadoterate meglumine (Dotarem, 0.5 mol/L, ionic). Among macrocyclic GBCAs, gadobutrol (Gadavist) and gadoterate meglumine (Dotarem) differ in key physicochemical properties: Gadobutrol exhibits a higher longitudinal relaxivity (r₁≈4.8–5.5 L·mmol−1·s−1 in plasma at 1.5 T) compared to gadoterate meglumine (r₁≈3.3–3.8 L·mmol−1·s−1), potentially yielding greater early-phase signal enhancement (8,9). These relaxivity differences may influence peak enhancement amplitude, curve morphology, and quantitative reproducibility, particularly in ultrafast imaging where bolus dispersion and rapid wash-in dynamics dominate (8).
Nevertheless, despite individual studies demonstrating the promise of ultrafast DCE-MRI parameters and the established relaxivity differences between macrocyclic agents, comprehensive, head-to-head comparisons of Gadavist vs. Dotarem using ultrafast protocols remain lacking, particularly those that systematically evaluate both semi-quantitative and pharmacokinetic parameters in the presence of BPE. To address this gap, we analyzed a cohort of 94 breast lesions—34 imaged with Gadavist and 60 with Dotarem—assessing semi-quantitative metrics, including the upper limit of enhancement (A), uptake rate (α), maximal enhancement slope (A*α), area under the enhancement-time curve for the first 30 seconds (AUC30), bolus arrival time (BAT), and time to 90% of maximal enhancement (T90), along with pharmacokinetic parameters comprising the volume transfer constant (Ktrans) and the volume of extravascular extracellular space per unit volume of tissue (Ve).
This study aimed to directly compare Gadavist and Dotarem in ultrafast breast DCE-MRI by evaluating tumor-to-BPE ratios, diagnostic accuracy, and effect sizes to clarify each agent’s strengths and guide clinical contrast selection. We present this article in accordance with the STROBE reporting checklist (available at https://qims.amegroups.com/article/view/10.21037/qims-2025-1111/rc).
Methods
This retrospective observational cross-sectional study was conducted at the Breast Imaging Center and MRI Research Center (MRIRC), Biological Science Division, Department of Radiology, University of Chicago, between November 7, 2020, and May 30, 2023. The study was approved by the University of Chicago Institutional Review Board (No. IRB19-2074) and was conducted in compliance with the Health Insurance Portability and Accountability Act (HIPAA). Individual consent for this retrospective analysis was waived. This study was conducted in accordance with the Declaration of Helsinki and its subsequent amendments.
Patient recruitment
The patient cohort was drawn from women who received breast MRIs at our institution during the study period for a range of diagnostic reasons, including breast pain, breast lumpiness, palpable breast masses, or nipple discharge. One patient was excluded due to inability to tolerate the prone position secondary to spinal pathology, yielding 79 evaluable participants: 30 imaged with Gadavist and 49 with Dotarem. Semi-quantitative kinetic parameters were then derived from these studies.
Women between the ages of 25 and 80 who underwent breast MRI for diagnostic purposes were included if they exhibited suspicion for breast cancer [Breast Imaging-Reporting and Data System (BI-RADS) category 4 or 5] or known breast malignancy (BI-RADS category 6). According to the BI-RADS lexicon, category 4 lesions carry a malignancy risk of 2–95%, and category 5 lesions have a malignancy risk greater than 95%. All index lesions required core needle biopsy for histopathologic confirmation.
Exclusion criteria included a history of adverse reactions to GBCAs, impaired renal function, defined as a glomerular infiltration rate less than 60 mL/min/1.73 m2, and poor image quality.
MRI acquisition
All patients underwent MRI examination in the prone position on a Philips 3.0 T TX scanner (Achieva or Ingenia, Philips Healthcare, Best, the Netherlands) with a 16-channel bilateral breast coil (Mammo Trak, Philips Healthcare) with a standard dose of gadoterate meglumine (Dotarem®, Guerbet, Princeton, NJ, USA) or gadobutrol (Gadavist®): 0.1 mM/kg that was injected at 2 mL/second, followed by a saline flush of 20 mL through the antecubital vein. Abbreviated DCE-MRI that includes an ultrafast DCE-MRI sequence in the axial orientation. Both the Gadavist and Dotarem cohorts were imaged using the same MRI scanner and identical imaging parameters, ensuring technical consistency between groups. The acquisition parameters for the ultrafast and high spatial resolution sequence are summarized in Table 1. The ultrafast DCE-MRI protocol consisted of 5 pre-contrast phases and 19 post-contrast phases.
Table 1
| Parameter | Ultrafast DCE-MRI | High spatial resolution DCE-MRI |
|---|---|---|
| Repetition time/echo time (ms) | 3.2/1.6 | 4.8/2.4 |
| Voxel dimensions (mm3) | 1.5×1.5×4.0 | 0.8×0.8×1.6 |
| SENSE factor—RL | 3.0 | 2.5 |
| SENSE factor—FH | 2.0 | 2.0 |
| Partial Fourier (half scan) | 0.65 (ky), 0.7 (kz) | 0.85 (ky), 1.0 (kz) |
| Temporal resolution (seconds) | 3.5 to 4.6 | 61 to 79.5 |
| Slice count | 80 to 110 | 220 to 275 |
| Flip angle | 10° | 10° |
| Field of view (AP × RL, mm2) | 320×320 to 360×360 | 320×320 to 360×360 |
| Fat suppression technique | SPAIR | SPAIR |
AP, anteroposterior; DCE-MRI, dynamic contrast-enhanced magnetic resonance imaging; FH, foot-head; RL, right-left; SENSE, sensitivity encoding; SPAIR, spectral attenuated inversion recovery.
Image analysis
Data analysis was performed with an in-house MATLAB platform and three-dimensional (3D) Slicer (10). Ultrafast images were motion corrected by a non-rigid registration method (11). A semi-automatic volumetric segmentation of the lesions was performed with 3D Slicer by using the ‘Level Tracing’ tool on the subtraction ultrafast image (the last post-contrast image—pre-contrast image) by a radiologist with 5 years of experience of breast imaging. The ‘Level Tracing’ tool automatically generated a border of the region by searching for voxels with similar intensity value in the same slice. The volumetric tumor region was then captured using the ‘Grow from Seeds’ tool by growing the ’seed’ tumor area into a 3D volume (12). All lesion segmentations in both the Gadavist and Dotarem cohorts were performed blinded to the histopathological outcomes. A slice of normal parenchyma enhancement (BPE) at the central part of the contralateral breast was selected randomly without any suspicious lesion and then segmented. Then a region of interest (ROI)-based data analysis was used for the quantitative analysis.
Average signal enhancement in each lesion and the selected normal parenchymal ROIs was calculated. The signal enhancement ratio over time per ROI, was fitted with an empirical mathematic model (EMM):
Where Spost(t) denotes the average signal intensity over the ROI at time ‘t’, and Spre is the average signal intensity over ROI from the pre-contrast image, A is the upper limit of initial contrast agent uptake, α (s−1) is the rate of contrast agent uptake, t0 is the bolus arrival time (BAT). Then the maximum enhancement slope is calculated as A*α (s−1).
The secondary parameter, AUC30 of percent signal enhancement (PSE(t)), was obtained by integrating Eq. [1].
Where t30= 30 s.
T90 was also calculated as a surrogate for time-to-peak enhancement.
To illustrate the definitions of the semi-quantitative metrics used in this study, a simulated DCE curve is shown in Figure 1.
In additional to EMM, Tofts model was used to obtain quantitative pharmacokinetic parameters (13). Contrast agent concentration curve, C(t), in lesions and normal parenchyma ROI was calculated using a previously published method (14) and fitted with the Tofts model:
where Ktrans refers to the volume transfer constant, Ve is the extravascular extracellular space (EES) fractional volume, and Cp(t) is the arterial input function (AIF) that was traced over an ROI within the descending thoracic aorta for individual patient. BAT in the aorta was calculated using Eq. [1]. BATs in lesions and parenchyma were calculated relative to the BAT in the thoracic aorta.
Statistical analysis
Statistical analyses were performed using Python 3.11 with the SciPy and Statsmodels libraries. All methods and results were reviewed by a qualified biostatistician to ensure analytical accuracy. Differences in kinetic-parameter distributions between malignant lesions and BPE were assessed with two-sided Wilcoxon rank-sum tests, and effect sizes were quantified as Cohen’s d using the pooled standard deviation. Diagnostic accuracy for each parameter—A, α, A*α, AUC30, BAT, T90, Ktrans, and Ve—was summarized by sensitivity, specificity, and area under the receiver operating characteristic curve (AUROC), and optimal cut-offs were chosen by maximizing Youden’s index. Inter-agent differences in AUROC between the Gadavist (34 lesions) and Dotarem (60 lesions) cohorts were examined with the independent-sample Hanley-McNeil z-test (α=0.05). Statistical significance was defined as P<0.05.
Results
Demographic data
A total of 94 pathologically confirmed breast lesions were analyzed in 79 women (age range, 34–81 years). The study flow was demonstrated in Figure 2. In the Dotarem subgroup (49 patients), 60 lesions were identified: 58 malignancies—comprising 3 ductal carcinomas in situ (DCIS), 49 invasive ductal carcinomas (IDC), 2 invasive lobular carcinomas (ILC), and 2 mixed IDC/ILC tumors—and 2 benign lesions (chronic mastitis and a borderline phyllodes tumor). The Gadavist subgroup included 30 patients with 34 lesions, of which 32 were malignant (5 DCIS, 26 IDC, and 1 ILC) and 2 were benign (one fibroadenoma and one intraductal papilloma). Overall, the study population comprised 90 malignant and 4 benign lesions.
Absolute tumor and relative tumor to BPE signal enhancement
As shown in Figure 3, compared with Dotarem, Gadavist produced a steeper early-phase wash-in and a higher plateau of absolute lesion enhancement. At 20 seconds post-injection, tumor enhancement averaged approximately 60% with Gadavist vs. 40% with Dotarem, plateauing at approximately 100% and 85–90%, respectively, by 90–100 seconds. BPE was slightly higher with Gadavist (≈27% at 100 seconds) than with Dotarem (≈23%).
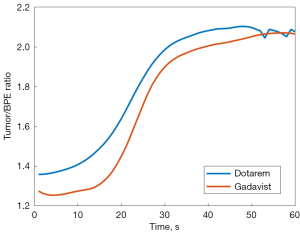
To better evaluate lesion conspicuity, the tumor-to-BPE signal enhancement ratio was plotted over time (Figure 4). Dotarem consistently demonstrated a higher tumor-to-BPE ratio throughout the first 50 seconds, primarily due to its lower BPE. Although both agents converged toward similar ratios after 50 seconds, the early-phase superiority of Dotarem in relative contrast suggests enhanced lesion conspicuity during dynamic imaging. Figure 5 presents representative cases illustrating these patterns, with Gadavist showing stronger tumor enhancement and Dotarem demonstrating lower BPE, contributing to greater relative contrast in the early phase.
Kinetic parameter analysis
Quantitative discrimination of kinetic parameters
Across both contrast agents, amplitude-dominated kinetics (A, α, A*α, AUC30) showed the clearest malignant-to-BPE separation (Wilcoxon P<0.001 for every metric). When comparing lesions across agents, absolute enhancement was consistently higher with Gadavist, showing a 24% greater A, a 0.5% s−1 higher α, and a 3.2%·s larger early AUC30 relative to Dotarem. Nevertheless, the relative discrimination between lesion and BPE remained large for both agents (Cohen’s d ≈1.3–2.6). The permeability parameter Ktrans displayed a medium-to-large effect with Gadavist (d=0.94), while a small-to-medium effect was observed with Dotarem (d=0.48), according to Cohen’s benchmarks. Timing metrics (BAT, T90) and the Ve produced small or inconsistent effects: BAT reached significance only with Dotarem (P=0.003), and Ve discriminated malignancies from BPE for Gadavist (d=0.75) but not for Dotarem (d=−0.13). Semi‑quantitative and pharmacokinetic differences were demonstrated in Table 2.
Table 2
| Parameters | Gadavist (n=32) | Dotarem (n=58) | |||||||
|---|---|---|---|---|---|---|---|---|---|
| Lesions | BPE | P value | Cohen’s d | Lesions | BPE | P value | Cohen’s d | ||
| A (%) | 111.28±47.27 | 23.83±14.74 | <0.001 | 2.53 | 87±31 | 21.39±14.30 | <0.001 | 2.61 | |
| α (%/s) | 9.62±5.23 | 4.49±2.18 | <0.001 | 1.29 | 9.1±4.7 | 3.78±1.86 | <0.001 | 1.42 | |
| A*α (s−1) | 0.11±0.08 | 0.01±0.01 | <0.001 | 1.78 | 0.09±0.06 | 0.01±0.01 | <0.001 | 1.76 | |
| AUC30 | 17.16±9.96 | 2.06±1.94 | <0.001 | 2.14 | 14.0±7.7 | 1.57±1.37 | <0.001 | 2.13 | |
| BAT (s) | 12.89±5.87 | 13.46±7.54 | 0.870 | –0.08 | 11.3±6.6 | 9.59±6.90 | 0.003 | 0.26 | |
| T90 (s) | 32.30±13.72 | 45.78±11.61 | <0.001 | –1.06 | 31.4±10.6 | 44.12±13.01 | <0.001 | –1.09 | |
| Ktrans (min−1) | 0.71±0.99 | 0.06±0.07 | 0.001 | 0.94 | 0.41±1.05 | 0.03±0.06 | <0.001 | 0.48 | |
| Ve | 0.21±0.25 | 0.07±0.09 | 0.003 | 0.75 | 0.22±0.29 | 0.26±0.35 | 0.854 | –0.13 | |
Data are presented as mean ± SD. P values from Wilcoxon rank-sum test comparing malignant lesion versus BPE. Cohen’s d effect sizes for tumor-BPE separation. A, upper limit of enhancement; α, uptake rate; A*α, maximal enhancement slope; AUC30, area under the enhancement-time curve for the first 30 seconds; BAT, bolus arrival time; BPE, background parenchymal enhancement; EMM, empirical mathematical model; Ktrans, volume transfer constant; SD, standard deviation; T90, time to 90% of maximal enhancement; Ve, volume of extravascular extracellular space per unit volume of tissue.
Distribution of lesion-wise malignant tumor to BPE ratios
Figures 6,7 depict the tumor-to-BPE ratio for kinetic parameters of Gadavist and Dotarem. Box-and-whisker analysis revealed significantly higher ratios for early-wash-in parameters (A, A*α, AUC30, Ktrans), with median ratios ranging from 8- to 16-fold greater than background, along with narrow interquartile ranges (IQRs), indicating consistent lesion conspicuity across both contrast agents. Specifically, A*α and AUC30 exhibited not only the highest median ratios but also the least variability, as evidenced by their tight IQRs, reflecting their robustness. By contrast, bolus-timing metrics (BAT, T90) clustered near unity (medians ≈1.0) with minimal dispersion, and Ve ratios displayed substantial heterogeneity and overlap between agents, suggesting limited discriminative value.
Diagnostic accuracy
Sensitivity and specificity at Youden-optimized thresholds
Table 3 summarized diagnostic performance across kinetic parameters. In our cohort, Dotarem showed significantly higher sensitivity for A, α, A*α, AUC30, and Ktrans (all P<0.05), while Gadavist had slightly higher specificity in some parameters. Notably, Ktrans reached 98.3% sensitivity with Dotarem compared to 59.4% for Gadavist (P<0.001). Specificity remained high for both agents, with most differences not reaching statistical significance. These findings suggest that Dotarem may offer improved sensitivity for certain kinetic metrics, whereas Gadavist provides comparable specificity and distinct kinetic characteristics.
Table 3
| Parameter | Gadavist | Dotarem | P value (sensitivity) | P value (specificity) | |||
|---|---|---|---|---|---|---|---|
| Sensitivity (%, 95% CI) |
Specificity (%, 95% CI) |
Sensitivity (%, 95% CI) |
Specificity (%, 95% CI) |
||||
| A | 81.3 (63.6, 92.8) | 100 (15.8, 100) | 96.7 (88.5,99.6) | 85.7 (72.8, 94.1) | 0.019 | 0.038 | |
| α | 53.1 (34.7, 70.9) | 100 (15.8, 100) | 71.7 (58.6, 82.5) | 89.8 (77.8, 96.6) | 0.044 | 0.077 | |
| A*α | 71.9 (53.3, 86.3) | 100 (15.8, 100) | 95.0 (86.1, 99.0) | 91.8 (80.4, 97.7) | 0.003 | 0.143 | |
| AUC30 | 71.9 (53.3, 86.3) | 100 (15.8, 100) | 96.7 (88.5, 99.6) | 91.8 (80.4, 97.7) | 0.001 | 0.143 | |
| BAT | 71.8 (60.0, 90.7) | 50.0 (1.3, 98.7) | 41.7 (29.1, 55.1) | 75.5 (61.1, 86.7) | 0.017 | 0.032 | |
| T90 | 100 (15.8, 100) | 43.8 (26.4, 62.3) | 85.7 (72.8, 94.1) | 70.0 (56.8, 81.2) | 0.025 | 0.038 | |
| Ktrans | 59.4 (40.6, 76.3) | 100 (15.8, 100) | 98.3 (91.1, 100) | 77.6 (63.4, 88.2) | <0.001 | 0.002 | |
| Ve | 100 (89.1, 100) | 50.0 (1.3, 98.7) | 95.0 (86.1, 99.0) | 42.9 (28.8, 57.8) | 0.549 | 0.646 | |
P value is calculated by Fisher’s exact test. A, upper limit of enhancement; α, uptake rate; A*α, maximal enhancement slope; AUC30, area under the enhancement-time curve for the first 30 seconds; BAT, bolus arrival time; CI, confidence interval; Ktrans, volume transfer constant; T90, time to 90% of maximal enhancement; Ve, volume of extravascular extracellular space per unit volume of tissue.
AUROC at Youden-optimized thresholds
The comparative forest plot analysis in Figure 8 revealed that, after normalization to BPE, Gadavist and Dotarem showed comparable performance for core wash-in metrics, with no statistically significant differences in AUROC for A (0.91 vs. 0.955; P=0.295) or α (0.77 vs. 0.868; P=0.150). Dotarem yields higher AUROC values for A*α (0.962 vs. 0.86; P=0.044), AUC30 (0.963 vs. 0.86; P=0.041), and Ktrans (0.938 vs. 0.80; P=0.022). Conversely, Gadavist showed a higher AUROC for Ve (0.75 vs. 0.578; P=0.036), potentially reflecting subtle differences in contrast dispersion or pharmacokinetic model fitting. AUROC values for BAT and T90 did not differ significantly (P=0.488 and 0.159, respectively), indicating limited discriminatory value for these time-based parameters.
Discussion
In our comparative analysis of ultrafast DCE-MRI using Gadavist and Dotarem across 94 histologically confirmed breast lesions, Dotarem demonstrated higher sensitivity in early wash-in parameters, while Gadavist offered slightly better specificity. Both agents produced strong effect sizes for amplitude- and area-based metrics, confirming their value for malignancy detection despite BPE.
Absolute tumor and relative tumor to BPE signal enhancement
Gadavist demonstrated a steeper early-phase wash-in and higher absolute tumor enhancement compared to Dotarem, consistent with its higher concentration and relaxivity (8). However, when normalized to BPE, Dotarem exhibited a higher tumor-to-BPE enhancement ratio in the early post-contrast phase, driven by its lower BPE, suggesting improved relative lesion conspicuity. While Gadavist’s broader dynamic range may facilitate early lesion detection and shorter acquisition protocols, it also introduces greater inter-lesion variability and high-value outliers, potentially compromising reproducibility. In contrast, Dotarem’s more consistent enhancement may be preferable in standardized or multi-center protocols (15). These results highlight the balance between achieving high contrast and reproducibility in dynamic imaging.
Kinetic parameter analysis
Quantitative discrimination of kinetic parameters
Both agents showed strong tumor and BPE differentiation in early-wash-in parameters (A, α, A*α, AUC30), with high statistical significance (P<0.001) and large effect sizes (Cohen’s d>1.7). A*α and AUC30 were particularly robust and consistent across agents. Gadavist yielded a higher effect size for Ktrans, indicating greater dynamic enhancement between malignant lesions and BPE for Ktrans. In contrast, Dotarem showed more uniform performance across early semi-quantitative metrics. Timing parameters (BAT, T90) and Ve were less reliable, with inconsistent or minimal discriminatory power. These findings highlight early-phase composite parameters as the most dependable for lesion detection and suggest contrast agent selection should reflect the balance between pharmacokinetic strength and reproducibility.
Distribution of lesion-wise malignant tumor to BPE ratios
Tumor-to-BPE ratio distributions (Figures 6,7) demonstrated the superior performance of early-wash-in metrics, particularly A, A*α, AUC30, and Ktrans, which consistently yielded high ratios with low variability, reflecting robust lesion conspicuity in both contrast agents. A*α and AUC30 were especially discriminative, with minimal overlap between lesions and background. In contrast, timing parameters (BAT, T90) and Ve showed near-unity ratios and greater dispersion, indicating susceptibility to physiological and acquisition variability. These findings highlight the translational value of early-phase composite parameters and support their prioritization in protocol design and interpretation.
Diagnostic accuracy
Sensitivity and specificity at Youden-optimized thresholds
Dotarem demonstrated significantly higher sensitivity across key kinetic parameters (A, α, A*α, AUC30, and Ktrans; all P<0.05), with Ktrans reaching 98.3% sensitivity compared to 59.4% with Gadavist (P<0.001), suggesting improved lesion detectability. In contrast, Gadavist showed slightly higher specificity across most parameters, including A, α, A*α, AUC30, and Ktrans. These results suggest Dotarem may be preferable in sensitivity-driven scenarios such as screening or equivocal cases, whereas Gadavist may offer advantages in settings where specificity is prioritized, such as treatment monitoring.
Although Clauser et al. (16) reported lower specificity for Dotarem compared to gadobenate dimeglumine (Multihance®) in conventional DCE-MRI, this likely reflects differences in contrast agents, imaging protocols, and diagnostic endpoints. Notably, no prior study directly compares Dotarem and Gadavist within an ultrafast DCE-MRI framework, limiting cross-study generalizability. Our findings instead reflect Dotarem’s performance under high temporal resolution conditions focused on early kinetic metrics.
AUROC at Youden-optimized thresholds
These results underscore that not all ultrafast DCE-MRI kinetic parameters are equally robust to the choice of GBCAs. For clinical protocols and computer-aided detection (CAD) applications, prioritizing A*α, AUC30, and Ktrans—which demonstrated both high discriminatory powers to differentiate malignancies from BPE and strong inter-agent consistency—may improve reproducibility across sites and contrast agents. While AUROC values above 0.7 are generally considered acceptable and above 0.8 as strong for discriminative performance, this metric reflects statistical classification and does not necessarily equate to clinical diagnostic utility. For example, although Gadavist showed higher AUROC for Ve (0.75 vs. 0.58), Ve also exhibited low reproducibility, limiting its practical utility. These findings highlight the importance of careful threshold selection and potential protocol harmonization when extracellular volume measures are employed. Future studies should incorporate within-subject comparisons to validate these findings and explore generalizability across varied clinical settings.
This study has several limitations. First, its retrospective, single-center design and modest sample size (34 Gadavist- and 60 Dotarem-enhanced lesions) may limit the generalizability of our findings. Although Gadavist is more commonly used in our clinical practice, a larger number of Dotarem cases were intentionally included to ensure adequate statistical power for evaluating its diagnostic performance. This cohort imbalance may introduce selection bias and affect comparability. Second, we did not include matching for potential confounders such as patient age, lesion type, and hormonal status, which may influence enhancement kinetics. Third, all scans were acquired at a 3 T scanner and a standardized ultrafast DCE-MRI protocol, which reduces technical variability but may limit applicability to other platforms or field strengths. While every lesion had histopathologic confirmation, we did not assess long-term outcomes or recurrence. Finally, inter-scanner and inter-site reproducibility were not evaluated. Future prospective studies should include matched or randomized cohorts, control for biological confounders, and incorporate multi-institutional imaging with longitudinal follow-up to validate and generalize these findings.
Conclusions
In ultrafast breast DCE-MRI, Gadavist exhibited stronger early enhancement kinetics, including higher absolute tumor enhancement, whereas Dotarem was associated with lower BPE and improved early tumor-to-BPE contrast. In this cohort, Dotarem showed greater sensitivity for select semi-quantitative and pharmacokinetic parameters (A, α, A*α, AUC30, Ktrans), while Gadavist showed slightly higher specificity. These findings support contrast agent selection based on the diagnostic emphasis and balancing enhancement characteristics.
Acknowledgments
We would like to thank GUERBET for support.
Footnote
Reporting Checklist: The authors have completed the STROBE reporting checklist. Available at https://qims.amegroups.com/article/view/10.21037/qims-2025-1111/rc
Data Sharing Statement: Available at https://qims.amegroups.com/article/view/10.21037/qims-2025-1111/dss
Funding: None.
Conflicts of Interest: All authors have completed the ICMJE uniform disclosure form (available at https://qims.amegroups.com/article/view/10.21037/qims-2025-1111/coif). The authors have no conflicts of interest to declare.
Ethical Statement: The authors are accountable for all aspects of the work in ensuring that questions related to the accuracy or integrity of any part of the work are appropriately investigated and resolved.
Open Access Statement: This is an Open Access article distributed in accordance with the Creative Commons Attribution-NonCommercial-NoDerivs 4.0 International License (CC BY-NC-ND 4.0), which permits the non-commercial replication and distribution of the article with the strict proviso that no changes or edits are made and the original work is properly cited (including links to both the formal publication through the relevant DOI and the license). See: https://creativecommons.org/licenses/by-nc-nd/4.0/.
References
- Giaquinto AN, Sung H, Newman LA, Freedman RA, Smith RA, Star J, Jemal A, Siegel RL. Breast cancer statistics 2024. CA Cancer J Clin 2024;74:477-95. [Crossref] [PubMed]
- Arnold M, Morgan E, Rumgay H, Mafra A, Singh D, Laversanne M, Vignat J, Gralow JR, Cardoso F, Siesling S, Soerjomataram I. Current and future burden of breast cancer: Global statistics for 2020 and 2040. Breast 2022;66:15-23. [Crossref] [PubMed]
- Lord SJ, Lei W, Craft P, Cawson JN, Morris I, Walleser S, Griffiths A, Parker S, Houssami N. A systematic review of the effectiveness of magnetic resonance imaging (MRI) as an addition to mammography and ultrasound in screening young women at high risk of breast cancer. Eur J Cancer 2007;43:1905-17. [Crossref] [PubMed]
- Faheem M, Tam HZ, Nougom M, Suaris T, Jahan N, Lloyd T, Johnson L, Aggarwal S, Ullah M, Thompson EW, Brentnall AR. Role of Supplemental Breast MRI in Screening Women with Mammographically Dense Breasts: A Systematic Review and Meta-analysis. J Breast Imaging 2024;6:355-77. [Crossref] [PubMed]
- Glechner A, Wagner G, Mitus JW, Teufer B, Klerings I, Böck N, Grillich L, Berzaczy D, Helbich TH, Gartlehner G. Mammography in combination with breast ultrasonography versus mammography for breast cancer screening in women at average risk. Cochrane Database Syst Rev 2023;3:CD009632. [Crossref] [PubMed]
- Kataoka M, Honda M, Sagawa H, Ohashi A, Sakaguchi R, Hashimoto H, Iima M, Takada M, Nakamoto Y. Ultrafast Dynamic Contrast-Enhanced MRI of the Breast: From Theory to Practice. J Magn Reson Imaging 2024;60:401-16. [Crossref] [PubMed]
- Pineda FD, Medved M, Wang S, Fan X, Schacht DV, Sennett C, Oto A, Newstead GM, Abe H, Karczmar GS. Ultrafast Bilateral DCE-MRI of the Breast with Conventional Fourier Sampling: Preliminary Evaluation of Semi-quantitative Analysis. Acad Radiol 2016;23:1137-44. [Crossref] [PubMed]
- 1137-44.
- Szomolanyi P, Rohrer M, Frenzel T, Noebauer-Huhmann IM, Jost G, Endrikat J, Trattnig S, Pietsch H. Comparison of the Relaxivities of Macrocyclic Gadolinium-Based Contrast Agents in Human Plasma at 1.5, 3, and 7 T, and Blood at 3 T. Invest Radiol 2019;54:559-64. [Crossref] [PubMed]
- Maravilla KR, San-Juan D, Kim SJ, Elizondo-Riojas G, Fink JR, Escobar W, Bag A, Roberts DR, Hao J, Pitrou C, Tsiouris AJ, Herskovits E, Fiebach JB. Comparison of Gadoterate Meglumine and Gadobutrol in the MRI Diagnosis of Primary Brain Tumors: A Double-Blind Randomized Controlled Intraindividual Crossover Study (the REMIND Study). AJNR Am J Neuroradiol 2017;38:1681-8. [Crossref] [PubMed]
- Fedorov A, Beichel R, Kalpathy-Cramer J, Finet J, Fillion-Robin JC, Pujol S, Bauer C, Jennings D, Fennessy F, Sonka M, Buatti J, Aylward S, Miller JV, Pieper S, Kikinis R. 3D Slicer as an image computing platform for the Quantitative Imaging Network. Magn Reson Imaging 2012;30:1323-41. [Crossref] [PubMed]
- Vercauteren T, Pennec X, Perchant A, Ayache N. Diffeomorphic demons: efficient non-parametric image registration. Neuroimage 2009;45:S61-72. [Crossref] [PubMed]
- Ren Z, Pineda FD, Howard FM, Hill E, Szasz T, Safi R, Medved M, Nanda R, Yankeelov TE, Abe H, Karczmar GS. Differences Between Ipsilateral and Contralateral Early Parenchymal Enhancement Kinetics Predict Response of Breast Cancer to Neoadjuvant Therapy. Acad Radiol 2022;29:1469-79. [Crossref] [PubMed]
- Tofts PS, Brix G, Buckley DL, Evelhoch JL, Henderson E, Knopp MV, Larsson HB, Lee TY, Mayr NA, Parker GJ, Port RE, Taylor J, Weisskoff RM. Estimating kinetic parameters from dynamic contrast-enhanced T(1)-weighted MRI of a diffusable tracer: standardized quantities and symbols. J Magn Reson Imaging 1999;10:223-32. [Crossref] [PubMed]
- Ren Z, Pineda FD, Howard FM, Fan X, Nanda R, Abe H, Kulkarni K, Karczmar GS. Bilateral asymmetry of quantitative parenchymal kinetics at ultrafast DCE-MRI predict response to neoadjuvant chemotherapy in patients with HER2+ breast cancer. Magn Reson Imaging 2023;104:9-15. [Crossref] [PubMed]
- Guglielmo FF, Mitchell DG, Gupta S. Gadolinium contrast agent selection and optimal use for body MR imaging. Radiol Clin North Am 2014;52:637-56. [Crossref] [PubMed]
- Clauser P, Helbich TH, Kapetas P, Pinker K, Bernathova M, Woitek R, Kaneider A, Baltzer PAT. Breast lesion detection and characterization with contrast-enhanced magnetic resonance imaging: Prospective randomized intraindividual comparison of gadoterate meglumine (0.15 mmol/kg) and gadobenate dimeglumine (0.075 mmol/kg) at 3T. J Magn Reson Imaging 2019;49:1157-65. [Crossref] [PubMed]

