Comparison of association between intrathoracic and abdominal visceral adipose tissue areas with metabolic syndrome and cardiometabolic risk factors: a cross-sectional study
Introduction
Obesity is associated with an increased risk of developing metabolic syndrome (MS). MS has been defined as a clustering of multiple risk factors that include abdominal fat accumulation, lipid abnormalities, hypertension, and insulin resistance (1). Obesity is often defined by anthropometric indices, including body mass index (BMI) and waist circumference (WC). However, BMI and WC cannot differentiate visceral adipose tissue (VAT) from subcutaneous adipose tissue (SAT). Different fat depots may have differential associations with vascular and metabolic diseases. Excessive VAT accumulation may contribute to the development of vascular and metabolic diseases (2,3). By comparison, SAT is reported as a weaker indicator of metabolic diseases (4,5). Hence, an accurate assessment of fat in different body regions is integral to understanding obesity-related comorbidities.
Chest and abdominal computed tomography (CT), as a high-resolution cross-sectional imaging modality, provides a means of accurately quantifying fat distribution and separating fat into intrathoracic and abdominal visceral, and subcutaneous compartments (6,7). Multiple volume imaging is recognized as the gold standard for such measures. Many studies have demonstrated that VAT measured in a single CT slice through the abdomen correlates significantly with the total volume of VAT, and is a good representation of total VAT accumulation (8,9). Considering the time-consuming nature, high cost, and radiation exposure of multi-slice CT scans, the cross-sectional areas of abdominal adipose tissue have been measured on single CT slices. The L2/3 intervertebral disc level has been recommended as an optimal anatomic site for abdominal fat measurement in a single CT slice using quantitative computed tomography (QCT) (10). With the increasing clinical use of chest low-dose CT (LDCT) imaging for lung cancer screening, there is an opportunity to gain insight into fat distribution by QCT measurement based on chest LDCT images (11).
The way in which fat is distributed is an important factor for the assessment of cardiometabolic risk (12). Researchers have investigated the relationship between abdominal VAT and SAT in terms of MS (13,14). Intrathoracic adipose tissue (IAT) is a marker that has been shown to be reproducible by chest CT imaging, and appears to correlate with serologic markers of vascular inflammation (15). Intrathoracic and pericardial fat volumes are associated with the extent of coronary artery calcification and MS (16). Recently, Chen et al. (17) discovered an association between mediastinal and intrathoracic fat volumes and the presence of MS.
However, whether VAT has a stronger association with MS and cardiometabolic risk factors (CMRFs) than IAT is not yet known. Similar studies investigating both IAT and VAT areas derived from CT in the Chinese population are limited. Along with the implementation of quantifying fat distribution in a single slice, it is necessary to compare IAT and abdominal VAT for discriminating patients with MS and CMRFs, as the distribution of truncal fat varies among different anatomic levels. In this study, we aimed to compare the associations between cross-sectional IAT areas at multiple levels and abdominal VAT areas with MS and CMRFs using QCT based on chest LDCT. Meanwhile, we investigated and compared the predictive value of the IAT and VAT areas for MS and the presence of two or more (≥2) CMRFs. We present this article in accordance with the STROBE reporting checklist (available at https://qims.amegroups.com/article/view/10.21037/qims-24-2402/rc).
Methods
The retrospective study protocol was conducted in accordance with the Declaration of Helsinki and its subsequent amendments and was approved by the institutional Ethics Committee of Zhejiang Provincial People’s Hospital (No. KY2024180). The requirement for informed consent was waived due to the retrospective nature of the study.
Participants
We retrospectively collected patients who underwent chest LDCT for lung cancer screening and QCT examination for adipose tissue quantification to assess visceral obesity during health check-ups from June 2019 to December 2019 in Zhejiang Provincial People’s Hospital. The patients were excluded if they had: (I) taken hormones or drugs that might alter body fat distribution, such as prednisone or growth hormone; (II) malignant tumor and metabolic disease, such as known hyperthyroidism or hypothyroidism; or (III) cirrhosis accompanied by ascites. A total of 327 participants were initially included, but 71 participants were subsequently excluded because of the lack of WC data. Finally, a total of 256 participants were included, comprising 150 men and 106 women aged 50–87 years who were all Chinese.
Chest LDCT scan protocol
Chest LDCT scan ranged from the apex of the lung to the inferior border of the L2 vertebra. Scan parameters were set in accordance with the “China Health Quantitative CT Big Data Project Research Program” (11), as follows: 120 kVp, average 30 mAs with automatic tube current, 512×512 matrices, and 500 mm scan field of view (FOV), and reconstructed utilizing a slice thickness of 1.25 mm and standard kernel of adaptive statistical iterative reconstruction (ASiR) in the CT scanner (Optima CT540, GE Healthcare, Chicago, IL, USA).
QCT measurements of adipose tissue
Chest LDCT images in QCT format were post-processed. The adipose tissue was measured with the Tissue Composition Module of QCT software (Mindways Software Inc., Austin, TX, USA). Using QCT software, adipose tissue was automatically segmented and mapped in blue color, and the outer contour of abdominal wall was semi-automatically outlined on the single L2/3 intervertebral space slice. The abdominal total adipose tissue (TAT) and VAT areas (cm2) were automatically calculated, and TAT areas minus VAT areas were equal to SAT areas. The IAT measurements were retrospectively performed at the single slice of each intervertebral space level in the chest because the optimal level of IAT measurement was not yet clear. A well-trained physician (L.H.Z.) manually outlined the outer contour of mediastinum, and IAT areas (cm2) were automatically calculated by the QCT software (Figure 1).
Anthropometric measurements and blood tests
Anthropometric measurements, including height, weight, and WC at the umbilical level, were collected by adhering to standardized methods. BMI was calculated as weight in kilograms divided by the square of the height in meters. Venous blood samples were taken and used for measurement of fasting plasma glucose (FPG) by glucose oxidase method, and lipid profile testing, including triglycerides (TG) and high-density lipoprotein cholesterol (HDL-C), by enzymatic method using an autoanalyzer (Beckman Coulter, Brea, CA, USA). Systolic blood pressure (SBP) and diastolic blood pressure (DBP) were measured using an electronic sphygmomanometer (Omron Healthcare Company, Kyoto, Japan).
Definition of MS and CMRFs
The MS was defined using the 2005 International Diabetes Federation (IDF) criteria (1) as the WC plus any two CMRFs. WC ≥90 cm in men, ≥80 cm in women. CMRFs included the following: (I) raised TG (≥1.7 mmol/L) or specific treatment for this lipid abnormality; (II) reduced HDL-C (<1.03 mmol/L in men, <1.29 mmol/L in women) or specific treatment for this lipid abnormality; (III) raised SBP/DBP (≥130/85 mmHg) or treatment for previously diagnosed hypertension; (IV) raised FPG (≥5.6 mmol/L) or previously diagnosed type 2 diabetes.
Statistical analysis
Continuous variables were visually assessed for normal distribution using QQ-plots. Continuous variables were summarized using the mean ± standard deviation (SD) if normally distributed and the median and interquartile range (IQR) if not normally distributed. Continuous variables were compared between the two groups using an independent samples t-test, whereas TG and FPG were compared using Mann-Whitney U test because they were abnormally distributed. Categorical variables were analyzed using the χ2 test. Spearman correlation was used to assess the correlations of adipose tissue with TG and FPG, respectively. The correlations of adipose tissue with other CMRFs were analyzed using Pearson’s correlation coefficient. Logistic regression was used to calculate the odds ratio (OR) and 95% confidence interval (CI) of IAT and VAT for MS and the presence of ≥2 CMRFs after adjusting for age, sex, and BMI. The OR was expressed per SD increase to facilitate comparisons between adipose tissue variables. Receiver operating characteristic (ROC) curve analyses were used to compare the predictive performance of the adipose tissue for MS and the presence of ≥2 CMRFs according to the area under the curve (AUC) of the ROC curve. The larger the AUC, the greater the predictive power of each indicator. DeLong’s test was used to assess the difference of AUC values. The Youden index was used to identify optimal cut-off values. Statistical analysis was performed using the software SPSS 22.0 (IBM Corp., Armonk, NY, USA) and MedCalc 18.11.3 (MedCalc Software, Ostend, Belgium). A two-tailed P value <0.05 was considered significant.
Results
Population characteristics
The characteristics of the participants are shown in Table 1. The following prevalence percentages of the 256 participants were observed: 30.08% for hypertriglyceridemia, 28.52% for low HDL-C, 55.47% for hypertension, and 24.22% for hyperglycemia. There was no statistically significant difference in the age, SBP, and FPG between men and women (P>0.05). The BMI, WC, DBP, TG, and IAT areas at each level, VAT areas, and TAT areas of men were higher than those of women (P<0.01), but HDL-C and SAT areas were lower than those of women (P<0.001). We focused on the IAT areas at the T1/2–T7/8 levels, where fat located in the thorax for all participants. The IAT areas were gradually significantly increased from the T4/5 to T7/8 levels in all participants (P<0.01).
Table 1
| Variables | N | All (n=256) | Men (n=150) | Women (n=106) | P value |
|---|---|---|---|---|---|
| Age (years) | 256 | 57.82±7.13 | 57.6±6.9 | 58.1±7.5 | 0.594 |
| BMI (kg/m2) | 256 | 24.09±2.82 | 24.69±2.60 | 23.24±2.89 | <0.001 |
| WC (cm) | 256 | 83.50±8.63 | 87.01±7.54 | 78.53±7.59 | <0.001 |
| SBP (mmHg) | 256 | 133.06±18.48 | 134.08±19.474 | 131.61±16.965 | 0.294 |
| DBP (mmHg) | 256 | 78.56±11.303 | 80.91±11.342 | 75.24±10.426 | <0.001 |
| TG (mmol/L) | 256 | 1.31 (0.98–1.84) | 1.35 (1.01–2.03) | 1.24 (0.93–1.61) | 0.008 |
| HDL-C (mmol/L) | 256 | 1.31±0.36 | 1.20±0.26 | 1.46±0.39 | <0.001 |
| FPG (mmol/L) | 256 | 5.10 (4.81–5.56) | 5.11 (4.82–5.61) | 5.06 (4.77–5.55) | 0.418 |
| T1/2 IAT (cm2) | 256 | 12.20±3.51 | 13.23±3.56 | 10.74±2.87 | <0.001 |
| T2/3 IAT (cm2) | 256 | 11.05±3.93 | 12.77±8.63 | 8.63±2.71 | <0.001 |
| T3/4 IAT (cm2) | 256 | 11.70±5.14 | 13.67±5.18 | 8.93±3.58 | <0.001 |
| T4/5 IAT (cm2) | 256 | 13.98±6.85 | 15.74±7.13 | 11.49±5.59 | <0.001 |
| T5/6 IAT (cm2) | 256 | 19.75±8.45 | 21.60±8.66 | 17.13±7.42 | <0.001 |
| T6/7 IAT (cm2) | 256 | 27.05±11.73 | 29.18±12.24 | 24.03±10.28 | <0.001 |
| T7/8 IAT (cm2) | 256 | 34.62±12.35 | 37.48±12.60 | 30.57±10.83 | <0.001 |
| T8/9 IAT (cm2) | 231 | 37.82±11.68 | 41.12±11.94 | 32.93±9.40 | <0.001 |
| T9/10 IAT (cm2) | 173 | 37.61±12.14 | 42.00±11.85 | 31.00±9.28 | <0.001 |
| T10/11 IAT (cm2) | 43 | 34.07±11.48 | 38.39±11.28 | 27.47±8.42 | 0.001 |
| L2/3 VAT (cm2) | 256 | 207.96±63.22 | 238.60±58.43 | 164.60±40.29 | <0.001 |
| L2/3 SAT (cm2) | 256 | 95.59±36.41 | 83.16±27.26 | 113.19±40.39 | <0.001 |
| L2/3 TAT (cm2) | 256 | 303.56±77.90 | 321.76±77.42 | 277.79±71.33 | <0.001 |
Values are given as mean ± standard deviation or median (interquartile range). BMI, body mass index; DBP, diastolic blood pressure; FPG, fasting plasma glucose; HDL-C, high density lipoprotein cholesterol; IAT, intrathoracic adipose tissue; SBP, systolic blood pressure; SAT, subcutaneous adipose tissue; TAT, total adipose tissue; TG, triglyceride; VAT, visceral adipose tissue; WC, waist circumference.
The comparison of adipose tissue in participants with and without MS, or the presence of two or more CMRFs
Of the 256 participants, 65 (25.39%) had MS, and 111 (43.36%) had ≥2 CMRFs. The comparison of adipose tissue areas in participants with and without MS, or the presence of ≥2 CMRFs is shown in Table 2. The IAT areas at each level, VAT areas, and SAT areas in patients with MS or the presence of ≥2 CMRFs were higher than those without MS or the presence of ≥2 CMRFs (P<0.05). Among the levels of T1/2 to T7/8, the IAT areas at the T6/7 level had the largest mean difference between patients with and without MS (10.25 cm2), or the presence of ≥2 CMRFs (7.56 cm2). The mean differences of VAT and SAT areas between patients with and without MS were higher than those between patients with and without the presence of ≥2 CMRFs.
Table 2
| Variables | Metabolic syndrome | The presence of two or more cardiometabolic risk factors | |||||||
|---|---|---|---|---|---|---|---|---|---|
| Presence (n=65) | Absence (n=191) | MD | P value | Presence (n=111) | Absence (n=145) | MD | P value | ||
| T1/2 IAT (cm2) | 13.32±3.75 | 11.82±3.34 | 1.51 | 0.003 | 13.17±3.49 | 11.46±3.35 | 1.71 | <0.001 | |
| T2/3 IAT (cm2) | 12.92±4.18 | 10.42±3.64 | 2.51 | <0.001 | 12.25±4.20 | 10.13±3.45 | 2.12 | <0.001 | |
| T3/4 IAT (cm2) | 14.69±5.44 | 10.69±4.63 | 4.00 | <0.001 | 13.47±5.29 | 10.35±4.60 | 3.13 | <0.001 | |
| T4/5 IAT (cm2) | 18.53±7.27 | 12.44±5.98 | 6.10 | <0.001 | 16.69±7.06 | 11.91±5.93 | 4.77 | <0.001 | |
| T5/6 IAT (cm2) | 25.34±9.04 | 17.85±7.34 | 7.50 | <0.001 | 22.97±8.76 | 17.29±7.33 | 5.68 | <0.001 | |
| T6/7 IAT (cm2) | 34.69±12.24 | 24.44±10.36 | 10.25 | <0.001 | 31.33±12.56 | 23.77±9.91 | 7.56 | <0.001 | |
| T7/8 IAT (cm2) | 41.11±12.38 | 32.41±11.57 | 8.70 | <0.001 | 38.22±12.52 | 31.86±11.52 | 6.36 | <0.001 | |
| L2/3 VAT (cm2) | 249.06±57.89 | 193.97±58.83 | 55.09 | <0.001 | 231.25±58.26 | 190.16±61.22 | 41.11 | <0.001 | |
| L2/3 SAT (cm2) | 120.27±38.70 | 87.20±31.55 | 33.07 | <0.001 | 101.26±39.27 | 91.25±33.55 | 10.01 | 0.029 | |
Values are given as mean ± SD. IAT, intrathoracic adipose tissue; MD, mean difference; SAT, subcutaneous adipose tissue; SD, standard deviation; VAT, visceral adipose tissue.
Correlations between adipose tissue and CMRFs
The correlations between adipose tissue areas and CMRFs are shown in Figure 2. Higher fat measures including IAT and VAT were associated with higher SBP, DBP, FPG, and TG, and lower HDL-C. IAT areas at the T1/2 level were significantly correlated with CMRFs (P<0.01), except for FPG (P=0.075). VAT areas and IAT areas at the T2/3 to T7/8 levels were significantly correlated with all CMRFs (P<0.05). However, abdominal SAT areas were not significantly correlated with CMRFs (P=0.323–0.870), except for SBP (P=0.006). The VAT areas showed stronger correlations with TG (r=0.357, P<0.001), HDL-C (r=−0.422, P<0.001), SBP (r=0.275, P<0.001), DBP (r=0.289, P<0.001), and FPG (r=0.224, P<0.001) than IAT areas at each level.
Logistic regression analysis of adipose tissue with MS and the presence of two or more CMRFs
Logistic regression analysis demonstrated that the IAT areas at each level and VAT areas were associated with MS (P<0.01) and the presence of ≥2 CMRFs (P<0.001) after adjusting for sex and age (Table 3). Among adipose tissue at different anatomical positions, the IAT areas at the T2/3 level showed the highest odds ratio (OR) of 1.265 [95% confidence interval (CI): 1.145–1.398] for MS, and of 1.196 (95% CI: 1.097–1.305) for the presence of ≥2 CMRFs, and higher than those of VAT areas (OR =1.034, 95% CI: 1.024–1.045 and OR =1.017, 95% CI: 1.011–1.024). After adjusting for sex, age, and BMI, the IAT areas at each level were not associated with MS (P>0.05), but were associated with the presence of ≥2 CMRFs (P=0.001–0.039), except at the T7/8 level. The IAT areas at the T2/3 level also showed the highest OR of 1.112 (95% CI: 1.006–1.229) for the presence of ≥2 CMRFs (P=0.039). The VAT areas were associated with both MS (OR =1.022, 95% CI: 1.009–1.034, P=0.001) and the presence of ≥2 CMRFs (OR =1.015, 95% CI: 1.006–1.025, P=0.001) after adjusting for sex, age, and BMI.
Table 3
| Variables | Metabolic syndrome | The presence of two or more cardiometabolic risk factors | |||
|---|---|---|---|---|---|
| OR (95% CI) | P value | OR (95% CI) | P value | ||
| Model 1: adjust for sex and age | |||||
| T1/2 IAT (cm2) | 1.164 (1.059–1.280) | 0.002 | 1.168 (1.074–1.270) | <0.001 | |
| T2/3 IAT (cm2) | 1.265 (1.145–1.398) | <0.001 | 1.196 (1.097–1.305) | <0.001 | |
| T3/4 IAT (cm2) | 1.224 (1.136–1.318) | <0.001 | 1.159 (1.087–1.235) | <0.001 | |
| T4/5 IAT (cm2) | 1.167 (1.105–1.233) | <0.001 | 1.128 (1.076–1.183) | <0.001 | |
| T5/6 IAT (cm2) | 1.127 (1.080–1.176) | <0.001 | 1.095 (1.055–1.136) | <0.001 | |
| T6/7 IAT (cm2) | 1.082 (1.052–1.113) | <0.001 | 1.061 (1.035–1.088) | <0.001 | |
| T7/8 IAT (cm2) | 1.064 (1.036–1.093) | <0.001 | 1.044 (1.020–1.069) | <0.001 | |
| L2/3 VAT (cm2) | 1.034 (1.024–1.045) | <0.001 | 1.017 (1.011–1.024) | <0.001 | |
| Model 2: adjust for sex, age, and BMI | |||||
| T1/2 IAT (cm2) | 1.009 (0.905–1.126) | 0.866 | 1.103 (1.007–1.208) | 0.035 | |
| T2/3 IAT (cm2) | 1.061 (0.942–1.196) | 0.329 | 1.112 (1.006–1.229) | 0.039 | |
| T3/4 IAT (cm2) | 1.076 (0.985–1.175) | 0.104 | 1.103 (1.023–1.190) | 0.011 | |
| T4/5 IAT (cm2) | 1.056 (0.989–1.129) | 0.104 | 1.097 (1.036–1.162) | 0.001 | |
| T5/6 IAT (cm2) | 1.038 (0.985–1.093) | 0.161 | 1.069 (1.020–1.119) | 0.005 | |
| T6/7 IAT (cm2) | 1.025 (0.990–1.061) | 0.167 | 1.041 (1.010–1.073) | 0.010 | |
| T7/8 IAT (cm2) | 0.999 (0.965–1.035) | 0.967 | 1.018 (0.989–1.047) | 0.234 | |
| L2/3 VAT (cm2) | 1.022 (1.009–1.034) | 0.001 | 1.015 (1.006–1.025) | 0.001 | |
BMI, body mass index; CI, confidence interval; IAT, intrathoracic adipose tissue; OR, odds ratio; VAT, visceral adipose tissue.
Predictive ability of IAT and VAT for identifying MS and the presence of two or more CMRFs
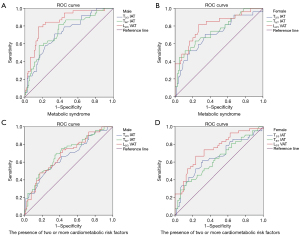
We compared IAT at the T2/3 and T6/7 levels with VAT for predicting MS and the presence of ≥2 CMRFs (Figure 3), because IAT areas at the T2/3 level had the highest OR for prediction and IAT areas at T6/7 level showed the largest mean difference between patients with and without MS or the presence of ≥2 CMRFs. The VAT areas showed significantly higher predictive power (AUC =0.845) than IAT areas at the T2/3 (AUC =0.725) and T6/7 (AUC =0.743) levels for predicting MS (P=0.004, P=0.021, respectively) in males. However, VAT areas (AUC =0.685) showed no significantly different predictive power when compared with IAT areas at the T2/3 (AUC =0.659) and T6/7 (AUC =0.700) levels for predicting the presence of ≥2 CMRFs (P=0.345–0.704) in males. VAT areas had higher AUC values (AUC: 0.806 and 0.748) for predicting MS and the presence of ≥2 CMRFs than IAT areas at the T2/3 (AUC: 0.707 and 0.657) and T6/7 (AUC: 0.748 and 0.636) levels without a statistically significant difference (P=0.071–0.711) in females. The cut-off values and predictive performance of VAT and IAT areas for predicting MS and the presence of ≥2 CMRFs are shown in Table 4.
Table 4
| Variables | Male | Female | |||||||||
|---|---|---|---|---|---|---|---|---|---|---|---|
| Cut-off point (cm2) | Sensitivity (%) | Specificity (%) | AUC (95% CI) | P value | Cut-off point (cm2) | Sensitivity (%) | Specificity (%) | AUC (95% CI) | P value | ||
| Metabolic syndrome | |||||||||||
| T2/3 IAT | >13.1 | 71.05 | 66.07 | 0.725 (0.646–0.794) | <0.001 | >8.5 | 70.37 | 65.82 | 0.707 (0.611–0.792) | <0.001 | |
| T6/7 IAT | >26.7 | 81.58 | 61.61 | 0.743 (0.666–0.811) | <0.001 | >22.2 | 74.07 | 59.49 | 0.748 (0.655–0.828) | <0.001 | |
| L2/3 VAT | >267.7 | 78.95 | 84.82 | 0.845 (0.777–0.899) | <0.001 | >169.8 | 81.48 | 73.42 | 0.806 (0.718–0.877) | <0.001 | |
| The presence of two or more cardiometabolic risk factors | |||||||||||
| T2/3 IAT | >13.6 | 50.72 | 75.31 | 0.659 (0.578–0.735) | <0.001 | >8.5 | 61.90 | 68.75 | 0.657 (0.559–0.747) | 0.005 | |
| T6/7 IAT | >26.3 | 69.57 | 64.20 | 0.700 (0.620–0.772) | <0.001 | >21 | 61.90 | 56.25 | 0.636 (0.537–0.727) | <0.001 | |
| L2/3 VAT | >231.6 | 73.91 | 56.79 | 0.685 (0.604–0.758) | <0.001 | >169.8 | 66.67 | 76.56 | 0.748 (0.654–0.827) | <0.001 | |
AUC, area under the curve; CI, confidence interval; IAT, intrathoracic adipose tissue; VAT, visceral adipose tissue.
Discussion
Adipose tissue can be reliably and accurately measured by QCT (10). In this study, we used QCT based on chest LDCT to investigate the association between the cross-sectional IAT areas at different anatomic levels and abdominal VAT areas with MS and CMRFs. Our results showed that the VAT areas had stronger correlations with TG (r=0.357, P<0.001), HDL-C (r=−0.422, P<0.001), SBP (r=0.275, P<0.001), DBP (r=0.289, P<0.001), and FPG (r=0.224, P<0.001) than IAT areas at each level. After adjusting for sex, age, and BMI, the IAT areas at each level were not significantly associated with MS (P>0.05), but the VAT areas were still significantly associated with MS (P=0.001).
Some findings have suggested strong sex specificity for regional adipose tissue distributions, with women having a higher proportion of SAT in gluteal-femoral and abdominal regions; men, by contrast, have more VAT in the abdominal region (2,18). In our study, the abdominal VAT and TAT areas of men were higher than those of women (P<0.001), but the SAT areas were lower than those of women (P<0.001), which is consistent with prior study (18). In addition, we found that IAT distribution also differed according to sex, with men having higher IAT areas at different anatomical levels than women (P<0.01). Haider et al. (19) reported that IAT volume was significantly higher in men as compared to women, which is consistent with our finding.
Patients with MS have increased amounts of adipose tissue inside the thorax (20) as well as within the abdominal cavity. Both VAT and SAT have been shown to be increased in patients with MS (P<0.001) (21). Our study also showed that both VAT and SAT areas at the L2/3 level of patients with MS or the presence of ≥2 CMRFs were higher than those without MS or the presence of ≥2 CMRFs (P<0.05). Besides, the mean differences of VAT and SAT areas between patients with and without MS were higher than those between patients with and without the presence of ≥2 CMRFs, which may be because patients with MS have higher WC than those with ≥2 CMRFs. In our study, variations in IAT areas were found in slices at different levels, as well as in different participants. The IAT areas at the T6/7 level had the largest mean difference between patients with and without MS (10.25 cm2) or the presence of ≥2 CMRFs (7.56 cm2), but its mean difference was much smaller than that of VAT areas (55.09 and 41.11 cm2, respectively), which may result from the greater visceral space for ectopic fat accumulation in the abdomen than thorax. IAT areas at each level of the patients with MS or the presence of ≥2 CMRFs were higher than those without MS or the presence of ≥2 CMRFs (P<0.05) in our study. Consistent with our results, Chen et al. (17) also reported that patients with MS had significantly greater mediastinal and intrathoracic fat volumes when compared to those without MS, respectively.
Traditionally, CT measurement of VAT has been made at the umbilicus or L4/L5 level, partially due to the convenience of locating the umbilicus. A single-slice measurement of VAT at the upper abdominal level (L2/3 or L3/4) might provide better risk assessments for MS or cardiovascular disease (22-26). The measurement site of VAT at the upper abdominal level rather than the L4/5 level would better characterize the association of VAT with the MS in men (22,23); however, the impact of the level of the VAT measurement is somewhat less in women (24). There is evidence to show that a greater deposition of the more metabolically active visceral adipocytes within the omental and mesenteric depots is located in the upper abdomen within the region between L1–2 and L3–4 (25,26). Recently, Cheng et al. (10) demonstrated that VAT area measurements at the L2/3 level had the strongest association with the total VAT volume in a Chinese population. Therefore, in our study, the VAT at the L2/3 level was measured with QCT based on chest LDCT and compared with IAT. At present, the optimal site of measurement of IAT is not clear and defined. Given that the associations between IAT and MS may be altered depending on the measurement site of IAT, we measured the IAT areas at different levels.
A number of studies agree that VAT is a metabolic organ that mostly contributes to the metabolic consequences of obesity (3,13,14,21,27), whereas reports regarding SAT are controversial (3-5,12,21,27). SAT does not contribute to CMRFs beyond a measure of generalized or central adiposity (28). In this study, we found that abdominal SAT areas were not significantly correlated with CMRFs (P>0.05), other than SBP (P=0.006), whereas VAT areas were significantly correlated with all CMRFs, which suggests that differential CMRFs associated with fat type and location may contribute to the underlying mechanisms. Increased VAT is associated with overproduction of metabolically active substances, including hemostasis, pro-inflammatory, and fibrinolysis biomarkers that mediate the relationship with CMRFs (28). IAT is also an important indicator for cardiometabolic diseases (16), and consists of pericardial fat and the surrounding mediastinal fat. IAT and pericardial fat are associated with more adverse CMRFs (28,29). Pericardial fat has been shown to increase inflammatory gene expression and protein secretion and have a higher concentration of inflammatory cells when compared with subcutaneous fat (17,30). Pericardial fat might act as a local stimulator for coronary atherosclerotic lesions, whereas mediastinal fat may be a marker of MS and coronary artery disease (17). In our study, the IAT areas at the levels of T2/3 to T7/8 were significantly correlated with all CMRFs (P<0.05). Among the CT-derived fat depots, VAT has been shown to have the strongest correlations with each of the CMRFs (28), which is consistent with our study. In our study, the VAT areas showed stronger correlations with all CMRFs than IAT areas at each level. Importantly, the magnitude of the association between adipose tissues and CMRFs varied by fat depot type, suggesting that the potential adverse contribution of adipose tissues on cardiometabolic health is not the same (28).
IAT has a pro-inflammatory activity similar to that found in abdominal VAT (15,30). In our study, IAT areas at the T2/3 level showed the highest OR (1.196 and 1.112) among different anatomical levels and a slightly higher OR than that of VAT areas (1.017 and 1.015) for the presence of ≥2 CMRFs. Therefore, increased IAT areas at the T2/3 level were associated with an increased risk of the presence of ≥2 CMRFs. Due to the smaller amount of fat when compared with abdominal fat, the contribution of intrathoracic fat to the systemic effect on atherosclerosis might be limited (17). Our study also showed that the IAT areas at each level were much smaller than the VAT areas. Despite that the OR reflects the ability of adipose tissue to differentiate patients with and without MS or the presence of ≥2 CMRFs, the variations (mean difference: 2.51 and 2.12 cm2) of IAT areas at the T2/3 level between patients with and without MS or the presence of ≥2 CMRFs were very small when compared with VAT areas (mean difference: 55.09 and 41.11 cm2) in this study.
A Framingham Heart study reported the significant independent relationship between VAT and cardiovascular diseases even after adjusting for BMI (31). Carr et al. (13) and Goodpaster et al. (14) also reported that VAT is associated with an increased incidence of MS. Similar to the above-mentioned studies, the VAT areas were significantly associated with MS (P=0.001) after adjusting for sex, age, and BMI in our study. However, the IAT areas at each level were significantly associated with MS after adjusting for sex and age (P<0.01), but not significantly associated after further adjusting for BMI (P>0.05) in our study. Chen et al. (17) found an association between mediastinal and intrathoracic fat volumes with MS, but they did not perform regression analyses or adjust for BMI.
We achieved acceptable predictive powers of IAT and VAT areas for predicting MS and the presence of ≥2 CMRFs in men and women. The VAT areas showed significantly higher predictive power (AUC=0.845) than IAT areas at the T2/3 (AUC =0.725) and T6/7 (AUC =0.743) levels for predicting the MS in males (P<0.05). Moreover, VAT areas had higher AUC values (AUC: 0.806 and 0.748) for predicting MS and the presence of ≥2 CMRFs than IAT areas at T2/3 (AUC: 0.707 and 0.657) and T6/7 (AUC: 0.748 and 0.636) levels without a statistically significant difference (P>0.05) in females. Recently, Hou et al. (32) reported that VAT areas in the abdomen were able to diagnose MS (AUC: 0.788).
In our study, the optimal cut-off values of VAT areas to predict patients with MS were 267.7 cm2 for men and 169.8 cm2 for women, or with the presence of ≥2 CMRFs were 231.6 cm2 for men and 169.8 cm2 for women. Huo et al. (24) reported cut-off values for VAT areas at L2/3 level of 142 cm2 for men and 115 cm2 for women to identify patients with one or more CMRFs in a Chinese population. Compared to their study (24), our cut-off values of VAT areas were higher. The possible reasons are as follows: first, our cut-off values of VAT areas were to identify patients with MS (WC plus any two CMRFs) rather than patients with one or more CMRFs. Moreover, the ages and mean VAT areas of our included population were higher than those in their study (24). The VAT areas at the umbilical level >100 cm2 were proposed to define abdominal obesity for both men and women in Japan (33). A Korean study recommended the optimal VAT cut-off values of 100 cm2 for men and 70 cm2 for women to identify increased metabolic risk (34). Despite the different cut-off values in the aforementioned studies, sex differences were marked in VAT cut-off values in our study and the previous studies (24,34). Besides, the cut-off values of IAT areas on a single CT slice were firstly established for predicting MS and the presence of ≥2 CMRFs in our study. With chest LDCT imaging for lung cancer screening becoming more prevalent, an opportunity emerges for quantifying IAT and VAT using QCT-based chest LDCT. IAT and abdominal VAT measurement by QCT is accurate and fast, as well as easy to perform during clinical practice. Considering the higher radiation dose in a CT scan, our results indicate that it is possible to estimate the IAT areas and calculate the cut-off values from a single slice of CT for the MS or the presence of ≥2 CMRFs.
This study has several limitations. First, our population was derived from a single center; the generalizability of our results may be somewhat limited, but should not affect the internal validity. Furthermore, this study analyzed a relatively small opportunistic sample. As the chest LDCT data used in the current study were all obtained from lung cancer screening and QCT examination, no extra radiation was involved. Further confirmation via large sample studies is needed. In addition, several risk factors (alcohol intake, smoking, physical activity levels, and menopausal status) that may be related to adipose tissue were not accounted for. The QCT software did not exclude the bowel contents from the VAT measurement, which might have caused a slight over-estimation of VAT areas. Finally, we measured IAT at each level, without specifically separating the pericardial and mediastinal fat.
Conclusions
Quantification of IAT and VAT was associated with CMRFs. Although the strength of the correlation was affected by the measurement site of IAT, VAT remained significantly more highly associated with all CMRFs than IAT, regardless of measurement site. VAT had much higher variation than IAT between patients with and without MS or the presence of ≥2 CMRFs. Adjusting for sex, age, and BMI, VAT was shown to be an independent predictor of MS rather than IAT. VAT may have slightly better predictive value for MS and the presence of ≥2 CMRFs. Therefore, VAT should be a primary target for obesity intervention.
Acknowledgments
None.
Footnote
Reporting Checklist: The authors have completed the STROBE reporting checklist. Available at https://qims.amegroups.com/article/view/10.21037/qims-24-2402/rc
Data Sharing Statement: Available at https://qims.amegroups.com/article/view/10.21037/qims-24-2402/dss
Funding: This study received funding from
Conflicts of Interest: All authors have completed the ICMJE uniform disclosure form (available at https://qims.amegroups.com/article/view/10.21037/qims-24-2402/coif). The authors have no conflicts of interest to declare.
Ethical Statement: The authors are accountable for all aspects of the work in ensuring that questions related to the accuracy or integrity of any part of the work are appropriately investigated and resolved. The retrospective study protocol was conducted in accordance with the Declaration of Helsinki and its subsequent amendments and was approved by the institutional Ethics Committee of Zhejiang Provincial People’s Hospital (No. KY2024180). The requirement for informed consent was waived due to the retrospective nature of the study.
Open Access Statement: This is an Open Access article distributed in accordance with the Creative Commons Attribution-NonCommercial-NoDerivs 4.0 International License (CC BY-NC-ND 4.0), which permits the non-commercial replication and distribution of the article with the strict proviso that no changes or edits are made and the original work is properly cited (including links to both the formal publication through the relevant DOI and the license). See: https://creativecommons.org/licenses/by-nc-nd/4.0/.
References
- Alberti KG, Zimmet P, Shaw JIDF Epidemiology Task Force Consensus Group. The metabolic syndrome--a new worldwide definition. Lancet 2005;366:1059-62. [Crossref] [PubMed]
- Yang Q, Xu H, Zhang H, Li Y, Chen S, He D, Yang G, Ban B, Zhang M, Liu F. Serum triglyceride glucose index is a valuable predictor for visceral obesity in patients with type 2 diabetes: a cross-sectional study. Cardiovasc Diabetol 2023;22:98. [Crossref] [PubMed]
- Neeland IJ, Ayers CR, Rohatgi AK, Turer AT, Berry JD, Das SR, Vega GL, Khera A, McGuire DK, Grundy SM, de Lemos JA. Associations of visceral and abdominal subcutaneous adipose tissue with markers of cardiac and metabolic risk in obese adults. Obesity (Silver Spring) 2013;21:E439-47. [Crossref] [PubMed]
- Neeland IJ, Ross R, Després JP, Matsuzawa Y, Yamashita S, Shai I, Seidell J, Magni P, Santos RD, Arsenault B, Cuevas A, Hu FB, Griffin B, Zambon A, Barter P, Fruchart JC, Eckel RH. Visceral and ectopic fat, atherosclerosis, and cardiometabolic disease: a position statement. Lancet Diabetes Endocrinol 2019;7:715-25. [Crossref] [PubMed]
- Wan H, Wang Y, Xiang Q, Fang S, Chen Y, Chen C, Zhang W, Zhang H, Xia F, Wang N, Lu Y. Associations between abdominal obesity indices and diabetic complications: Chinese visceral adiposity index and neck circumference. Cardiovasc Diabetol 2020;19:118. [Crossref] [PubMed]
- Grace J, Leader JK, Nouraie SM, Pu J, Chandra D, Zhang Y, Sciurba FC, Bon J. Mediastinal and Subcutaneous Chest Fat Are Differentially Associated with Emphysema Progression and Clinical Outcomes in Smokers. Respiration 2017;94:501-9. [Crossref] [PubMed]
- Park HJ, Shin Y, Park J, Kim H, Lee IS, Seo DW, Huh J, Lee TY, Park T, Lee J, Kim KW. Development and Validation of a Deep Learning System for Segmentation of Abdominal Muscle and Fat on Computed Tomography. Korean J Radiol 2020;21:88-100. [Crossref] [PubMed]
- Irlbeck T, Massaro JM, Bamberg F, O'Donnell CJ, Hoffmann U, Fox CS. Association between single-slice measurements of visceral and abdominal subcutaneous adipose tissue with volumetric measurements: the Framingham Heart Study. Int J Obes (Lond) 2010;34:781-7. [Crossref] [PubMed]
- Sottier D, Petit JM, Guiu S, Hamza S, Benhamiche H, Hillon P, Cercueil JP, Krausé D, Guiu B. Quantification of the visceral and subcutaneous fat by computed tomography: interobserver correlation of a single slice technique. Diagn Interv Imaging 2013;94:879-84. [Crossref] [PubMed]
- Cheng X, Zhang Y, Wang C, Deng W, Wang L, Duanmu Y, Li K, Yan D, Xu L, Wu C, Shen W, Tian W. The optimal anatomic site for a single slice to estimate the total volume of visceral adipose tissue by using the quantitative computed tomography (QCT) in Chinese population. Eur J Clin Nutr 2018;72:1567-75. [Crossref] [PubMed]
- Wu Y, Guo Z, Fu X, Wu J, Gao J, Zeng Q, Fu H, Cheng X. The study protocol for the China Health Big Data (China Biobank) project. Quant Imaging Med Surg 2019;9:1095-102. [Crossref] [PubMed]
- Liu J, Fox CS, Hickson DA, May WD, Hairston KG, Carr JJ, Taylor HA. Impact of abdominal visceral and subcutaneous adipose tissue on cardiometabolic risk factors: the Jackson Heart Study. J Clin Endocrinol Metab 2010;95:5419-26. [Crossref] [PubMed]
- Carr DB, Utzschneider KM, Hull RL, Kodama K, Retzlaff BM, Brunzell JD, Shofer JB, Fish BE, Knopp RH, Kahn SE. Intra-abdominal fat is a major determinant of the National Cholesterol Education Program Adult Treatment Panel III criteria for the metabolic syndrome. Diabetes 2004;53:2087-94. [Crossref] [PubMed]
- Goodpaster BH, Krishnaswami S, Harris TB, Katsiaras A, Kritchevsky SB, Simonsick EM, Nevitt M, Holvoet P, Newman AB. Obesity, regional body fat distribution, and the metabolic syndrome in older men and women. Arch Intern Med 2005;165:777-83. [Crossref] [PubMed]
- Yun CH, Lin TY, Wu YJ, Liu CC, Kuo JY, Yeh HI, Yang FS, Chen SC, Hou CJ, Bezerra HG, Hung CL, Cury RC. Pericardial and thoracic peri-aortic adipose tissues contribute to systemic inflammation and calcified coronary atherosclerosis independent of body fat composition, anthropometric measures and traditional cardiovascular risks. Eur J Radiol 2012;81:749-56. [Crossref] [PubMed]
- Dey D, Wong ND, Tamarappoo B, Nakazato R, Gransar H, Cheng VY, Ramesh A, Kakadiaris I, Germano G, Slomka PJ, Berman DS. Computer-aided non-contrast CT-based quantification of pericardial and thoracic fat and their associations with coronary calcium and Metabolic Syndrome. Atherosclerosis 2010;209:136-41. [Crossref] [PubMed]
- Chen O, Sharma A, Ahmad I, Bourji N, Nestoiter K, Hua P, Hua B, Ivanov A, Yossef J, Klem I, Briggs WM, Sacchi TJ, Heitner JF. Correlation between pericardial, mediastinal, and intrathoracic fat volumes with the presence and severity of coronary artery disease, metabolic syndrome, and cardiac risk factors. Eur Heart J Cardiovasc Imaging 2015;16:37-46. [Crossref] [PubMed]
- Fox CS, Massaro JM, Hoffmann U, Pou KM, Maurovich-Horvat P, Liu CY, Vasan RS, Murabito JM, Meigs JB, Cupples LA, D'Agostino RB Sr, O'Donnell CJ. Abdominal visceral and subcutaneous adipose tissue compartments: association with metabolic risk factors in the Framingham Heart Study. Circulation 2007;116:39-48. [Crossref] [PubMed]
- Haider A, Possner M, Messerli M, Bengs S, Osto E, Maredziak M, Portmann A, Fiechter M, Giannopoulos AA, Treyer V, Gaisl T, von Felten E, Patriki D, Benz DC, Fuchs TA, Gräni C, Pazhenkottil AP, Buechel RR, Kaufmann PA, Gebhard C. Quantification of intrathoracic fat adds prognostic value in women undergoing myocardial perfusion imaging. Int J Cardiol 2019;292:258-64. [Crossref] [PubMed]
- Momesso DP, Bussade I, Epifanio MA, Schettino CD, Russo LA, Kupfer R. Increased epicardial adipose tissue in type 1 diabetes is associated with central obesity and metabolic syndrome. Diabetes Res Clin Pract 2011;91:47-53. [Crossref] [PubMed]
- Matsha TE, Ismail S, Speelman A, Hon GM, Davids S, Erasmus RT, Kengne AP. Visceral and subcutaneous adipose tissue association with metabolic syndrome and its components in a South African population. Clin Nutr ESPEN 2019;32:76-81. [Crossref] [PubMed]
- Kuk JL, Church TS, Blair SN, Ross R. Does measurement site for visceral and abdominal subcutaneous adipose tissue alter associations with the metabolic syndrome? Diabetes Care 2006;29:679-84. [Crossref] [PubMed]
- Demerath EW, Reed D, Rogers N, Sun SS, Lee M, Choh AC, Couch W, Czerwinski SA, Chumlea WC, Siervogel RM, Towne B. Visceral adiposity and its anatomical distribution as predictors of the metabolic syndrome and cardiometabolic risk factor levels. Am J Clin Nutr 2008;88:1263-71. [Crossref] [PubMed]
- Huo L, Li K, Deng W, Wang L, Xu L, Shaw JE, Jia P, Zhou D, Cheng XG. Optimal cut-points of visceral adipose tissue areas for cardiometabolic risk factors in a Chinese population: a cross-sectional study. Diabet Med 2019;36:1268-75. [Crossref] [PubMed]
- Rebuffé-Scrive M, Anderson B, Olbe L, Björntorp P. Metabolism of adipose tissue in intraabdominal depots in severely obese men and women. Metabolism 1990;39:1021-5. [Crossref] [PubMed]
- Motoshima H, Wu X, Sinha MK, Hardy VE, Rosato EL, Barbot DJ, Rosato FE, Goldstein BJ. Differential regulation of adiponectin secretion from cultured human omental and subcutaneous adipocytes: effects of insulin and rosiglitazone. J Clin Endocrinol Metab 2002;87:5662-7. [Crossref] [PubMed]
- Kim S, Cho B, Lee H, Choi K, Hwang SS, Kim D, Kim K, Kwon H. Distribution of abdominal visceral and subcutaneous adipose tissue and metabolic syndrome in a Korean population. Diabetes Care 2011;34:504-6. [Crossref] [PubMed]
- Lee JJ, Pedley A, Hoffmann U, Massaro JM, Levy D, Long MT. Visceral and Intrahepatic Fat Are Associated with Cardiometabolic Risk Factors Above Other Ectopic Fat Depots: The Framingham Heart Study. Am J Med 2018;131:684-692.e12. [Crossref] [PubMed]
- Thanassoulis G, Massaro JM, Hoffmann U, Mahabadi AA, Vasan RS, O'Donnell CJ, Fox CS. Prevalence, distribution, and risk factor correlates of high pericardial and intrathoracic fat depots in the Framingham heart study. Circ Cardiovasc Imaging 2010;3:559-66. [Crossref] [PubMed]
- Chatterjee TK, Stoll LL, Denning GM, Harrelson A, Blomkalns AL, Idelman G, Rothenberg FG, Neltner B, Romig-Martin SA, Dickson EW, Rudich S, Weintraub NL. Proinflammatory phenotype of perivascular adipocytes: influence of high-fat feeding. Circ Res 2009;104:541-9. [Crossref] [PubMed]
- Britton KA, Massaro JM, Murabito JM, Kreger BE, Hoffmann U, Fox CS. Body fat distribution, incident cardiovascular disease, cancer, and all-cause mortality. J Am Coll Cardiol 2013;62:921-5. [Crossref] [PubMed]
- Hou B, Li Y, Liu C, Zhang Y, Wen D, Li X. Assessment of body compositions in the prediction of metabolic syndrome in adults. Quant Imaging Med Surg 2024;14:5891-901. [Crossref] [PubMed]
- Examination Committee of Criteria for. 'Obesity Disease' in Japan; Japan Society for the Study of Obesity. New criteria for 'obesity disease' Japan. Circ J 2002;66:987-92. [Crossref] [PubMed]
- Han JH, Park HS, Kim SM, Lee SY, Kim DJ, Choi WH. Visceral adipose tissue as a predictor for metabolic risk factors in the Korean population. Diabet Med 2008;25:106-10. [Crossref] [PubMed]

