Brain temperature mapping based on chemical exchange saturation transfer signal at 2 ppm
Introduction
The human brain is remarkably sensitive to temperature (1). Governed by metabolism and circulation, brain temperature not only signifies the thermal homeostasis of the tissue, but also serves as a target in neuroprotective therapy (2). The impact of brain temperature has been evidenced in multiple disorders such as traumatic brain injury, cerebrovascular events, and psychiatric diseases (3,4). Although human brain temperature has a relatively wide range and fluctuates 2–3 ℃ under physiological conditions, a temperature higher than 40 ℃ or lower than 33 ℃ is destructive to neural cells, leading to blood-brain barrier dysfunction and histochemical failure (5). Besides its pathophysiological relevance, brain temperature also impacts the targeted therapy of brain cancer. Hyperthermia has been found to synergistically enhance the effectiveness of nanosonosensitizers in glioblastoma treatment (6), yet may deactivate temperature-sensitive medicines (7).
Non-invasive human brain thermometry remains challenging. Among the various in vivo thermometry techniques, approaches based on magnetic resonance imaging (MRI) are advantageous, as the MRI signals of brain tissue are largely temperature-dependent. magnetic resonance thermometry (MRT) based on hydrogen T1 relaxation time, proton resonance frequency shift (PRFS), or diffusion coefficient have accomplished excellent sensitivity and linearity (8). The PRFS-based thermometry is the most commonly utilized approach due to its convenience and robust linear thermal response across a wide temperature range, which could be directly measured via the proton magnetic resonance spectroscopy (1H-MRS) or inferred from the phase difference induced by temperature change (9). However, PRFS thermometry has deficiencies such as limited spatial and temporal resolution, long acquisition time, and inadequacy for adipose tissue. As an alternative, T1-based thermometry is less susceptible to magnetic field inhomogeneity and motion artifact, but its feasibility is dampened by the linear thermal response across a rather narrow temperature range and the requirement of coefficient calibration for different tissue types (10). In general, these MRT techniques are limited either for the non-absolute temperature measurement, inapplicability to tissue rich in lipid, or lack of nimbleness in the technical configuration (11).
Chemical exchange saturation transfer (CEST) MRI is an emerging molecular imaging technique that enables the detection of low-concentration solute molecules via the water signal. Saturation of the labile solute protons is transferred to water protons through chemical exchange, the accumulative effect of which will eventually attenuate the water signal to a detectable scale, leading to higher detection sensitivity and signal-to-noise gain compared to the traditional 1H-MRS imaging (12-14). These advantages contribute to the outstanding metabolite detection capability of CEST, particularly under pathological conditions with decreased metabolite concentration. In addition, the temperature dependency of the CEST effects of endogenous labile protons may provide a mechanism for label-free brain thermometry (15). Rapid CEST imaging covering the whole brain is becoming available with the advancements of the acquisition and processing strategies (16,17), which will significantly promote the clinical applicability of CEST MRI as an alternative for the in vivo brain temperature mapping with enhanced sensitivity and high spatial resolution (18). This would have great implications for brain research, not only favoring the inference of brain physiology and pathology, but also allowing the monitoring of the treatment response with thermo-sensitive surgery or medicines (19).
Among various endogenous metabolites investigated with CEST imaging, creatine (Cr) is increasingly highlighted in brain researches due to its relatively high concentration (20), key role in energy turnover (21), intermediate chemical exchange rate, and main contribution of the CEST signal at 2 ppm (CEST@2ppm) (22,23). Cr level was found to decrease in brains with schizophrenia (24) or glioma with later malignant transformation (25). CEST has been applied to estimate the in vivo Cr distribution and characterize multiple brain diseases including tumor and neurodegenerative diseases (26,27). Therefore, the chemical exchange of the labile protons of the endogenous Cr and its thermal dependence may substrate a mechanism allowing for the absolute temperature measurement of the brain. This study aimed to investigate the temperature dependency of CEST effect of Cr (CrCEST) and contemplate its feasibility for brain temperature mapping.
Methods
CrCEST experiments with nuclear magnetic resonance (NMR) spectrometry
Phantoms containing phosphate-buffered saline (PBS), 1% deuterium oxide (D2O), and Cr monohydrate (CrM) of various concentrations (20, 40, and 80 mM) and pH values (7.5, 7.2, and 5.8) were made for CEST imaging under different temperature settings (21, 24, 28, 31, 34, 37, 40, and 43 ℃) (Table 1). CrCEST experiments were performed on a Bruker NMR spectrometer (400 MHz Avance III HD; Bruker, Billerica, MA, USA) equipped with a cryogenically cooled probe. The CEST sequence consisted of a continuous wave (CW) saturation pulse (duration time tsat =4 s, saturation power B1 =0.23 µT). The whole Z-spectrum contained a total of 221 frequency offsets ranging from −3 to 3 ppm (increments of 0.03 ppm), −5 to −3 ppm (increments of 0.2 ppm), and +3 to +5 ppm (increments of 0.2 ppm). The reference signal (S0) was acquired at +200 ppm. To validate the reproducibility of CrCEST thermometry, the Z-spectra of C0 phantom {[Cr] =40 mM and pH =7.2} were acquired repeatedly with the same experiment parameters under 37 ℃ on 3 different days to test the repeatability.
Table 1
| Phantom | pH | Cr (mM) | Temperature (℃) |
|---|---|---|---|
| C0 | 7.2 | 40 | 21–43 |
| C1 | 7.2 | 20 | 37 |
| C2 | 7.2 | 80 | 37 |
| pH1 | 5.8 | 40 | 37 |
| pH2 | 7.5 | 40 | 37 |
Cr, creatine.
Z-spectra of phantoms were flipped and then fitted with a 2-pool Lorentzian model {Eq. [1]}, corresponding to direct water saturation (DS) and CrCEST effect around +2.0 ppm. The apparent chemical offset was utilized to represent the frequency difference between the CrCEST peak and water with the frequency offset of the DS pool consistently set as 0 ppm.
Where is the frequency offset relative to water, , , and represent the amplitude, frequency offset, and linewidth of the CEST peak for the ith proton pool, respectively (N=2). All data processing was performed using custom-written scripts on Matlab 2020b (MathWorks, Natick, MA, USA). The relationships between experiment temperatures and the apparent offsets (), the amplitude, the linewidth as well as the integral of the CrCEST peak were estimated with regression analysis using SPSS 19.0 (IBM Corp., Armonk, NY, USA).
Temperature mapping of phantoms with 5.0 T MR scanner
CrM of 80 mM prepared in PBS was titrated to a pH value of 6.6, and then poured into tubes (diameter of 10 mm). Phantoms were then arranged in a cylindrical container which was connected to a water circulation system (ARCTIC PC200-A25; Thermo Fisher Scientific, Waltham, MA, USA) for temperature maintenance. The real-time phantom temperature was monitored using an MR-compatible fluorescent optic-fiber thermometer (FOTS-DINA-1000; INDIGO, Suzhou, China). Temperature mapping of phantoms at eight temperatures (13.5, 19.2, 21.1, 24.5, 25.0, 28.0, 32.7, and 37.4 ℃) was obtained based on the apparent chemical shift of Cr acquired on a UIH Jupiter 5.0 T scanner (United Imaging Healthcare, Shanghai, China) with a quadrature birdcage transmit/48-channel receiver coil. The CW CEST sequence consisted of a 4-second hard irradiation pulse (B1 of 0.6 µT), followed by single-shot fast spin echo (SS-FSE) acquisition. The main readout parameters were repetition time/echo time (TR/TE) =5,000/7.12 ms, echo train length =30, generalized autocalibrating partially parallel acquisition (GRAPPA) acceleration factor =2, flip angle (FA) =110°, field of view (FOV) =140×140 mm2, matrix size =100×100, and slice thickness 8 mm. The offset frequency range was −3 to +3 ppm with intervals of 0.03 ppm. The total acquisition time was 16 minutes 56 seconds. The CrCEST imaging was repeated with another three saturation powers (B1 of 0.4, 0.5, and 0.7 µT) to estimate the effects of B1 values on CrCEST measurement. In addition, the CEST signal at −300 ppm was repeatedly measured 30 times under 24.5 ℃ and B1 of 0.6 µT to assess the amplifier stability during the long CW saturation. B1 map of the selected phantom slice was acquired with a dual refocusing echo acquisition mode (DREAM) sequence after CEST scans (28).
Z-spectra under each temperature were obtained within a circular region of interest (ROI) encompassing the entire imaging slice of Cr phantom (diameter of 10 mm). The B0 shift was corrected voxel-by-voxel using the water saturation shift referencing (WASSR) method (29). Subsequently, the apparent offset of CrCEST peak was calculated based on the 2-pool Lorentzian fitting of the ROI-averaged Z-spectrum. The linear relationship between the temperature and the apparent offset of CrCEST was estimated with regression analysis in SPSS 19.0, which was subsequently used to conduct the voxel-wise temperature mapping of phantom. Simulation experiments were performed to estimate the potential effects of spectral resolution and signal-to-noise ratio (SNR) on the Z-spectra fitting and the measurement of CrCEST chemical offset. Different levels of Gaussian noise with the standard deviation ranging from 0.005 to 0.1 were added to the original Z-spectra to simulate various SNR levels. Down- and up-sampling of the raw Z-spectra were performed to simulate different acquisition intervals (0.006 to 0.150 ppm). The fitting quality was assessed by the goodness of fit (R2) for Z-spectra and the homogeneity of CrCEST apparent offset maps was characterized by the intra-slice standard deviation.
Temperature mapping of the ex vivo swine brain with 5.0 T MR scanner
We collected two swine brains from a local slaughterhouse immediately after death. Samples were placed into saline solution at pH of 7.0 and maintained in a cylindrical container. All samples were prepared directly before MRI scanning. The temperature maintenance and monitor equipment, MR scanner, and the head coil were the same as the Cr phantom experiments on the 5.0 T MR scanner. CEST MRI scanning of swine brains was performed at three temperatures (16.0, 24.6, and 33.8 ℃). The CW CEST sequence consisted of a 4-second hard irradiation pulse (B1 of 0.4 µT), followed by SS-FSE acquisitions. The main readout parameters were TR/TE =6,000/7.6 ms, echo train length =30, GRAPPA acceleration factor =2, FA =110°, FOV =140×140 mm2, matrix size =100×100, and slice thickness of 4 mm. The frequency offset range was -4 to +4 ppm with an interval of 0.04 ppm. The total acquisition time was 20 minutes and 19 seconds. The single-voxel 1H-MRS spectra of three 10×10×10-mm3 isotropic volumes of interest (VOIs) randomly positioned in the frontal and occipital lobes of swine brains were obtained with the stimulated echo acquisition mode sequence (STEAM) at the time of sample preparation, 9 and 12 hours after the preparation, respectively. The main sequence parameters were TR/TE =2,000/20 ms, FA =90°, number of data points =2,048, averages =128, and the bandwidth for water suppression of 3,000 Hz.
An adaptive denoising strategy was introduced to improve the measurement of CEST data by principal component analysis (PCA) in combination with an appropriate data-driven extraction of relevant information (30). The averaged Z-spectra for each of the 4 randomly drawn ROIs in the swine brain were fitted using a 6-pool Lorentzian model which includes DS at 0.0 ppm, magnetization transfer (MT) at -2.0 ppm, relayed nuclear Overhauser effect (rNOE) at −3.5 ppm, rNOE at −1.6 ppm, CEST@2ppm, and amide proton transfer (APT) at +3.5 ppm. Subsequently, the Z-spectra of all voxels within the imaging slice were estimated with the fitted Lorentzian parameters of ROI Z-spectra as initial values, generating maps of apparent chemical offset for CEST@2ppm. Finally, the temperature mapping of swine brains was conducted according to the temperature dependency of apparent offset of CrCEST estimated in the Cr phantom experiment.
Results
Temperature dependency of CrCEST determined by NMR experiments
Repeatability of NMR experiment was assessed with phantom C0 {[Cr] =40 mM, pH =7.2, and temperature =37 ℃} on 3 different days. The apparent chemical offset of Cr was 1.984±0.003 ppm, representing the frequency difference between water and the guanidinium protons of Cr (Cr-Guan) () (Figure S1 and Table S1), which indicated a high repeatability and minimized variability. Temperature was linearly regressed with the apparent offsets of CrCEST peak () (R2=0.98, F=369.04, P<0.001) {Eq. [2]} (Figure 1), whereas the other CrCEST parameters (amplitude, linewidth, and integral) showed a complicated profile of temperature dependency. Concentration and pH of Cr phantoms imposed no significant effect on the apparent frequency offset of CrCEST peak (Figure 2), but obviously affected the amplitude, linewidth, and integral. The amplitude and integral of CrCEST peak increased with Cr concentration (temperature =37 ℃) (Figure S2). The amplitude, linewidth, and integral of CrCEST peak varied with the solution acidity in a non-linear manner (Figure S2).
Temperature mapping of Cr phantoms at 5.0 T
The linear relationship of experiment temperature and apparent offset of CrCEST peak was further confirmed by CrCEST experiments on the 5.0 T MR scanner (Figure 3). The Z-spectrum of Cr phantom {[Cr] =80 mM and pH =6.6} acquired at 19.2 ℃ is shown in Figure 3A. CrCEST offset increases approximately +0.05 ppm for every 10 ℃ change in temperature (R2=0.94, F=95.35, P<0.001) {Eq. [3]} (Figure 3B), which is in concordance with the temperature dependency coefficient estimated by the NMR experiments. This relationship was applied to each voxel to generate the temperature map of the phantom slice (Figure 3C). The fitted temperatures were significantly correlated with the experiment temperatures (r=0.96, P<0.001) (Figure 3D).
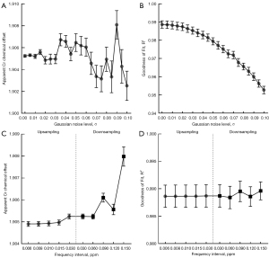
The effects of SNR level and spectral resolution on Z-spectra fitting and CrCEST offset measurement were assessed. With the noise level increasing, the goodness of Z-spectra fitting gradually declined, and the standard deviation of Cr chemical offset maps amplified but remained within 0.003 ppm, suggesting a temperature measurement error of less than 1 ℃ (Figure 4A,4B). Subsequently, down- and up-sampling of the raw Z-spectra were performed, resulting in different spectral resolutions ranging from 0.006 to 0.150 ppm. When the spectral resolution was larger than 0.120 ppm, the CrCEST offset significantly changed (Figure 4C), whereas the Z-spectra fitting was not affected by the spectral resolution (Figure 4D). These findings suggest that CrCEST-based thermometry would be beneficial from a high SNR level and spectral resolution. However, an acquisition with small frequency intervals would result in prolonged scan time and extra specific absorption rate (SAR). Thus, the acquisition with variable spectral intervals may serve as an alternative, setting a small step size around the Cr peak yet a large step size in other frequency ranges. This optimized acquisition method would not only ensure the sensitivity and accuracy of CrCEST signal quantification but also reduce scan time, enhancing the clinical applicability of CrCEST-based thermometry.
Furthermore, the CEST signal (S/S0) at −300 ppm of Cr phantom {[Cr] =80 mM and pH =6.6} was repeatably measured 30 times at 24.5 ℃ with the saturation time of 4 seconds and B1 of 0.6 µT. The signal variability was smaller than 1% (Figure S3), suggesting amplifier stability during the long-time CW CrCEST scan. Subsequently, the influence of B1 inhomogeneity on CrCEST was evaluated. The CrCEST scan of phantom (80 mM, pH =6.6, and 24.5 ℃) was repeated with four different B1 values (0.4, 0.5, 0.6, and 0.7 µT). The amplitude and linewidth of CrCEST peak increased with the saturation power augmentation, whereas the apparent chemical offsets were stable at 1.905±0.002 ppm (Figure 5), illustrating the negligible effect of B1 inhomogeneity on the measurement of the apparent CrCEST chemical offset. In addition, the B1 maps of Cr phantom obtained at different temperatures suggesting the homogeneity of B1 map did not vary significantly with the temperature (Figure S4).
Temperature mapping of ex vivo swine brain at 5.0 T
The detectable amount of Cr was confirmed by 1H-MRS in the swine brains during the experiments (Figures S5-S7). CEST imaging of ex vivo swine brain was conducted under three temperatures (16.0, 24.6, and 33.8 ℃) (Figure 6). Z-spectrum fitting was performed voxel-by-voxel using a 6-pool Lorentzian function to generate the maps of apparent chemical shift of the peak of CEST@2ppm. Z-spectra of the four randomly drawn ROIs under these temperatures are summarized in Figure S8. The apparent Cr chemical shifts of each ROI exhibited a linear correlation with temperature at a slope of +0.06 to +0.08 ppm for every 10 ℃ changes in temperature (all P<0.001) (Figure 6G).
Discussion
CEST MRI is an emerging molecular imaging technique to noninvasively detect metabolites in low concentrations and measure pH values based on the proton-exchange properties of endogenous labile hydrogens (31,32). The exchange rate and resonance frequency of exchangeable protons are sensitive to temperature, which may provide a novel mechanism for label-free in vivo thermometry via CEST imaging.
With a relatively high concentration in the brain and a single CEST peak of which the chemical offset has a linear temperature dependency, Cr is the agent of choice to probe the absolute temperature of the brain (Figures S9,S10). In addition, CrCEST MRI showed significantly higher sensitivity (103 times at 3 T) and SNR gain (14.8 times at 11.7 T) compared to the conventional Cr MRS (13,14). Therefore, CrCEST-based thermometry may serve as an alternative to the 1H-MRS thermometry.
Strong linear temperature dependency of the apparent CrCEST chemical offset for Cr phantoms was detected in both the 400 MHz NMR and the CEST imaging experiments at 5.0 T in the current study. Despite the small temperature dependency coefficient (+0.005 ppm/℃), the high consistency of CrCEST offset in the repeated NMR studies suggests the intrinsic proton-exchange properties of Cr rather than random experimental artifacts. However, the temperature dependency coefficient of CrCEST offset of this work cannot be fully explained by the temperature dependency of water proton which is known to be −0.01 ppm/℃ (9). We hypothesize that thermal response of the Cr-Guan may contribute in part to the temperature dependence coefficient. 1H-MR spectra of the guanidinium (Guan) were further acquired with Cr phantoms at different temperatures using a 500 MHz NMR spectrometer for the hypothesis validation. It was observed that the MR frequency of the Cr-Guan protons decreased linearly with temperature increasing with a coefficient of −0.006 ppm/℃ relative to the 1H resonance of the methyl (-CH3) of Cr as the internal reference (Figure S11). The decrease in the proton resonance frequency offset implies an enhanced electron shielding around Guan protons with heating, which may be attributed to the temperature response of hydrogen bonding equilibrium and water organization around the Cr molecules (33,34).
It is important to note the difference in the temperature-dependency coefficient for the Cr phantom (0.005 ppm/℃) and the ex vivo swine brain (0.006 to 0.008 ppm/℃). Aside from the systematic error of the experiments, CEST effects from other molecules with CEST signal around 2 ppm (such as Guan protons of phosphocreatine and side chain proteins) may complicate the determination of the apparent chemical offset at 2 ppm, leading to the discrepancy in the temperature-dependency coefficient (15,35,36). In addition, other factors such as complicated biological microenvironment, effects of DS and semi-solid macromolecular MT may also complicate the temperature quantification by confounding the CEST@2ppm in this study (15,26), making the ex vivo CrCEST challenging for temperature quantification, especially at low magnetic field.
The amplitude, linewidth, and integral of CrCEST peak are well correlated with temperature but not in linear profiles. This may be ascribed to the inherent temperature-dependency of the exchange rate between Cr-Guan and bulk water (13,15). The amplitude of CEST peak increases with the saturation transfer efficiency (a) and exchange rate (ksw), whereas a is inversely proportional to ksw. CEST signal initially increases with the faster exchange rate and more exchange events, then gradually declines when the exchange rate becomes excessively rapid, resulting in significantly low saturation efficiency (37). In contrast to this complicated relationship, the linewidth of CrCEST peak simply widens as the exchange rate increases. The temperature-dependent profiles of these CrCEST contrast parameters collectively determine the profile of CrCEST integral. In addition, the amplitude, linewidth, and integral of CrCEST peak were highly correlated with Cr concentration and pH value, based on which, CrCEST-weighted MRI is promising in mapping Cr concentration and pH of the biological microenvironment (38,39). Future studies involving advanced fitting models such as neural network models are expected to improve the quantification accuracy of the CrCEST thermometry (35,40), enabling simultaneous monitor of pH, concentration, and temperature. This advancement will enhance the utility of CrCEST-weighted MRI in tissue characterization under normal and diseased conditions.
Conclusions
The apparent chemical offset of CrCEST was linearly dependent on temperature, and relatively insensitive to Cr concentration and acidity of tissue over a wide range corresponding to physiological and pathological conditions. Since Cr typically contributes to CEST@2ppm (35,36), this preliminary study confirmed the feasibility of CEST@2ppm for label-free temperature imaging with high resolution.
Acknowledgments
Funding: This work was supported in part by
Footnote
Conflicts of Interest: All authors have completed the ICMJE uniform disclosure form (available at https://qims.amegroups.com/article/view/10.21037/qims-24-1228/coif). Y.Z. reports grants from the Shenzhen Municipal Scientific Program (No. JCYJ20220818101213029) and the National Natural Science Foundation of China (No. 82171904), during the conduct of the study. C.Z. reports a grant from the Shenzhen Municipal Scientific Program (No. JCYJ20200109110612375), during the conduct of the study. L.Z. reports grants from the National Natural Science Foundation of China (Nos. 92159101 and 81627901), the National Key Research and Development Program of China (No. 2022YFC2406903), and the Key Laboratory for Magnetic Resonance and Multimodality Imaging of Guangdong Province (No. 2023B1212060052), during the conduct of the study. In addition, L.Z. has a pending patent Temperature Measuring Method and Apparatus based on Creatine Chemical Exchange Saturation Transfer Imaging (US18/836,155) relevant to this work. The other authors have no conflicts of interest to declare.
Ethical Statement: The authors are accountable for all aspects of the work in ensuring that questions related to the accuracy or integrity of any part of the work are appropriately investigated and resolved.
Open Access Statement: This is an Open Access article distributed in accordance with the Creative Commons Attribution-NonCommercial-NoDerivs 4.0 International License (CC BY-NC-ND 4.0), which permits the non-commercial replication and distribution of the article with the strict proviso that no changes or edits are made and the original work is properly cited (including links to both the formal publication through the relevant DOI and the license). See: https://creativecommons.org/licenses/by-nc-nd/4.0/.
References
- Wang H, Wang B, Normoyle KP, Jackson K, Spitler K, Sharrock MF, Miller CM, Best C, Llano D, Du R. Brain temperature and its fundamental properties: a review for clinical neuroscientists. Front Neurosci 2014;8:307. [Crossref] [PubMed]
- Kiyatkin EA. Brain temperature homeostasis: physiological fluctuations and pathological shifts. Front Biosci (Landmark Ed) 2010;15:73-92. [Crossref] [PubMed]
- Birg T, Ortolano F, Wiegers EJA, Smielewski P, Savchenko Y, Ianosi BA, Helbok R, Rossi S, Carbonara M, Zoerle T, Stocchetti NCENTER-TBI Investigators and Participants. Brain Temperature Influences Intracranial Pressure and Cerebral Perfusion Pressure After Traumatic Brain Injury: A CENTER-TBI Study. Neurocrit Care 2021;35:651-61. [Crossref] [PubMed]
- Ota M, Sato N, Sakai K, Okazaki M, Maikusa N, Hattori K, Hori H, Teraishi T, Shimoji K, Yamada K, Kunugi H. Altered coupling of regional cerebral blood flow and brain temperature in schizophrenia compared with bipolar disorder and healthy subjects. J Cereb Blood Flow Metab 2014;34:1868-72. [Crossref] [PubMed]
- Rzechorzek NM, Thrippleton MJ, Chappell FM, Mair G, Ercole A, Cabeleira M, Rhodes J, Marshall I, O'Neill JS. A daily temperature rhythm in the human brain predicts survival after brain injury. Brain 2022;145:2031-48. [Crossref] [PubMed]
- Bredlau AL, Motamarry A, Chen C, McCrackin MA, Helke K, Armeson KE, Bynum K, Broome AM, Haemmerich D. Localized delivery of therapeutic doxorubicin dose across the canine blood-brain barrier with hyperthermia and temperature sensitive liposomes. Drug Deliv 2018;25:973-84. [Crossref] [PubMed]
- Wang J, Huang CH, Echeagaray OH, Amirfakhri S, Blair SL, Trogler WC, Kummel AC, Chen CC. Microshell enhanced acoustic adjuvants for immunotherapy in glioblastoma. Advanced Therapeutics 2019;2:1900066.
- Winter L, Oberacker E, Paul K, Ji Y, Oezerdem C, Ghadjar P, Thieme A, Budach V, Wust P, Niendorf T. Magnetic resonance thermometry: Methodology, pitfalls and practical solutions. Int J Hyperthermia 2016;32:63-75. [Crossref] [PubMed]
- Zhu M, Bashir A, Ackerman JJ, Yablonskiy DA. Improved calibration technique for in vivo proton MRS thermometry for brain temperature measurement. Magn Reson Med 2008;60:536-41. [Crossref] [PubMed]
- Todd N, Diakite M, Payne A, Parker DL. Hybrid proton resonance frequency/T1 technique for simultaneous temperature monitoring in adipose and aqueous tissues. Magn Reson Med 2013;69:62-70. [Crossref] [PubMed]
- Kim K, Narsinh K, Ozhinsky E. Technical advances in motion-robust MR thermometry. Magn Reson Med 2024;92:15-27. [Crossref] [PubMed]
- Zhou J, Wilson DA, Sun PZ, Klaus JA, Van Zijl PC. Quantitative description of proton exchange processes between water and endogenous and exogenous agents for WEX, CEST, and APT experiments. Magn Reson Med 2004;51:945-52. [Crossref] [PubMed]
- Haris M, Nanga RP, Singh A, Cai K, Kogan F, Hariharan H, Reddy R. Exchange rates of creatine kinase metabolites: feasibility of imaging creatine by chemical exchange saturation transfer MRI. NMR Biomed 2012;25:1305-9. [Crossref] [PubMed]
- Chen L, Barker PB, Weiss RG, van Zijl PCM, Xu J. Creatine and phosphocreatine mapping of mouse skeletal muscle by a polynomial and Lorentzian line-shape fitting CEST method. Magn Reson Med 2019;81:69-78. [Crossref] [PubMed]
- Goerke S, Zaiss M, Bachert P. Characterization of creatine guanidinium proton exchange by water-exchange (WEX) spectroscopy for absolute-pH CEST imaging in vitro. NMR Biomed 2014;27:507-18. [Crossref] [PubMed]
- Sedykh M, Liebig P, Herz K, Fabian MS, Mennecke A, Weinmüller S, Schmidt M, Dörfler A, Zaiss M. Snapshot CEST++: Advancing rapid whole-brain APTw-CEST MRI at 3 T. NMR Biomed 2023;36:e4955. [Crossref] [PubMed]
- Wang K, Ju L, Song Y, Blair L, Xie K, Liu C, Li AM, Zhu D, Xu F, Liu G, Heo HY, Yadav NN, Oeltzschner G, Edden RAE, Qin Q, Kamson DO, Xu J. Whole-cerebrum guanidino and amide CEST mapping at 3 T by a 3D stack-of-spirals gradient echo acquisition. Magn Reson Med 2024;92:1456-70. [Crossref] [PubMed]
- Scotti AM, Damen F, Gao J, Li W, Liew CW, Cai Z, Zhang Z, Cai K. Phase-independent thermometry by Z-spectrum MR imaging. Magn Reson Med 2022;87:1731-41. [Crossref] [PubMed]
- Franzini A, Moosa S, Servello D, Small I, DiMeco F, Xu Z, Elias WJ, Franzini A, Prada F. Ablative brain surgery: an overview. Int J Hyperthermia 2019;36:64-80. [Crossref] [PubMed]
- Kirov II, Wu WE, Soher BJ, Davitz MS, Huang JH, Babb JS, Lazar M, Fatterpekar G, Gonen O. Global brain metabolic quantification with whole-head proton MRS at 3 T. NMR Biomed 2017;30:e3754. [Crossref] [PubMed]
- Wyss M, Kaddurah-Daouk R. Creatine and creatinine metabolism. Physiol Rev 2000;80:1107-213. [Crossref] [PubMed]
- Khlebnikov V, van der Kemp WJM, Hoogduin H, Klomp DWJ, Prompers JJ. Analysis of chemical exchange saturation transfer contributions from brain metabolites to the Z-spectra at various field strengths and pH. Sci Rep 2019;9:1089. [Crossref] [PubMed]
- Zhang Z, Wang K, Park S, Li A, Li Y, Weiss RG, Xu J. The exchange rate of creatine CEST in mouse brain. Magn Reson Med 2023;90:373-84. [Crossref] [PubMed]
- Ongür D, Prescot AP, Jensen JE, Cohen BM, Renshaw PF. Creatine abnormalities in schizophrenia and bipolar disorder. Psychiatry Res 2009;172:44-8. [Crossref] [PubMed]
- Hattingen E, Raab P, Franz K, Lanfermann H, Setzer M, Gerlach R, Zanella FE, Pilatus U. Prognostic value of choline and creatine in WHO grade II gliomas. Neuroradiology 2008;50:759-67. [Crossref] [PubMed]
- Cai K, Singh A, Poptani H, Li W, Yang S, Lu Y, Hariharan H, Zhou XJ, Reddy R. CEST signal at 2ppm (CEST@2ppm) from Z-spectral fitting correlates with creatine distribution in brain tumor. NMR Biomed 2015;28:1-8. [Crossref] [PubMed]
- Chen L, van Zijl PCM, Wei Z, Lu H, Duan W, Wong PC, Li T, Xu J. Early detection of Alzheimer's disease using creatine chemical exchange saturation transfer magnetic resonance imaging. Neuroimage 2021;236:118071.
- Nehrke K, Börnert P. DREAM--a novel approach for robust, ultrafast, multislice B1 mapping. Magn Reson Med 2012;68:1517-26. [Crossref] [PubMed]
- Kim M, Gillen J, Landman BA, Zhou J, van Zijl PC. Water saturation shift referencing (WASSR) for chemical exchange saturation transfer (CEST) experiments. Magn Reson Med 2009;61:1441-50. [Crossref] [PubMed]
- Breitling J, Deshmane A, Goerke S, Korzowski A, Herz K, Ladd ME, Scheffler K, Bachert P, Zaiss M. Adaptive denoising for chemical exchange saturation transfer MR imaging. NMR Biomed 2019;32:e4133. [Crossref] [PubMed]
- Igarashi T, Kim H, Sun PZ. Detection of tissue pH with quantitative chemical exchange saturation transfer magnetic resonance imaging. NMR Biomed 2023;36:e4711. [Crossref] [PubMed]
- Cai Z, Zhong Q, Feng Y, Wang Q, Zhang Z, Wei C, Yin Z, Liang C, Liew CW, Kazak L, Cypess AM, Liu Z, Cai K. Non-invasive mapping of brown adipose tissue activity with magnetic resonance imaging. Nat Metab 2024;6:1367-79. [Crossref] [PubMed]
- Panić J, Vraneš M, Tot A, Ostojić S, Gadžurić S. The organisation of water around creatine and creatinine molecules. J Chem Thermodyn 2019;128:103-9.
- Gangopadhyay D, Sharma P, Singh RK. Temperature dependent Raman and DFT study of creatine. Spectrochim Acta A Mol Biomol Spectrosc 2015;150:9-14. [Crossref] [PubMed]
- Xu J, Chung JJ, Jin T. Chemical exchange saturation transfer imaging of creatine, phosphocreatine, and protein arginine residue in tissues. NMR Biomed 2023;36:e4671. [Crossref] [PubMed]
- Zhang XY, Xie J, Wang F, Lin EC, Xu J, Gochberg DF, Gore JC, Zu Z. Assignment of the molecular origins of CEST signals at 2 ppm in rat brain. Magn Reson Med 2017;78:881-7. [Crossref] [PubMed]
- van Zijl PC, Yadav NN. Chemical exchange saturation transfer (CEST): what is in a name and what isn't? Magn Reson Med 2011;65:927-48. [Crossref] [PubMed]
- Singh A, Debnath A, Cai K, Bagga P, Haris M, Hariharan H, Reddy R. Evaluating the feasibility of creatine-weighted CEST MRI in human brain at 7 T using a Z-spectral fitting approach. NMR Biomed 2019;32:e4176. [Crossref] [PubMed]
- Wang K, Huang J, Ju L, Xu S, Gullapalli RP, Liang Y, Rogers J, Li Y, van Zijl PCM, Weiss RG, Chan KWY, Xu J. Creatine mapping of the brain at 3T by CEST MRI. Magn Reson Med 2024;91:51-60. [Crossref] [PubMed]
- Chen L, Schär M, Chan KWY, Huang J, Wei Z, Lu H, Qin Q, Weiss RG, van Zijl PCM, Xu J. In vivo imaging of phosphocreatine with artificial neural networks. Nat Commun 2020;11:1072. [Crossref] [PubMed]

